N° 2137
--
ASSEMBLÉE NATIONALE
CONSTITUTION DU 4 OCTOBRE 1958
ONZIÈME LÉGISLATURE
Enregistré à la Présidence de l'Assemblée nationale le 3 février 2000.
RAPPORT D'INFORMATION
DÉPOSÉ
en application de l'article 146 du Règlement
PAR LA COMMISSION DES FINANCES, DE L'ÉCONOMIE GÉNÉRALE ET DU PLAN (1)
sur
les moyens et la réforme de la Justice,
ET PRÉSENTÉ
PAR M. Patrick DEVEDJIAN,
Député.
--
(1) La composition de cette commission figure au verso de la présente page.
La commission des finances, de l'économie générale et du plan est composée de M. Augustin Bonrepaux, président ; M. Didier Migaud, rapporteur général ; MM. Michel Bouvard, Jean-Pierre Brard, Yves Tavernier, vice-présidents, MM. Pierre Bourguignon, Jean-Jacques Jegou, Michel Suchod, secrétaires ; MM. Jean-Pierre Abelin, Maurice Adevah-Poeuf, Philippe Auberger, François d'Aubert, Dominique Baert, Jean-Pierre Balligand, Gérard Bapt, François Baroin, Alain Barrau, Christian Bergelin, Eric Besson, Alain Bocquet, Jean-Michel Boucheron, Mme Nicole Bricq, MM. Christian Cabal, Jérôme Cahuzac, Thierry Carcenac, Gilles Carrez, Henry Chabert, Didier Chouat, Alain Claeys, Yves Cochet, Christian Cuvilliez, Arthur Dehaine, Jean-Pierre Delalande, Francis Delattre, Yves Deniaud, Michel Destot, Patrick Devedjian, Laurent Dominati, Tony Dreyfus, Jean-Louis Dumont, Daniel Feurtet, Pierre Forgues, Gérard Fuchs, Gilbert Gantier, Jean de Gaulle, Hervé Gaymard, Jacques Guyard, Pierre Hériaud, Edmond Hervé, Jacques Heuclin, Jean-Louis Idiart, Mme Anne-Marie Idrac, MM. Michel Inchauspé, Jean-Pierre Kucheida, Marc Laffineur, Jean-Marie Le Guen, Maurice Ligot, François Loos, Alain Madelin, Mme Béatrice Marre, MM. Pierre Méhaignerie, Louis Mexandeau, Gilbert Mitterrand, Jean Rigal, Alain Rodet, José Rossi, Rudy Salles, Nicolas Sarkozy, Gérard Saumade, Philippe Séguin, Georges Tron, Jean Vila.
INTRODUCTION 7
PREMIÈRE PARTIE : UNE VAGUE DE RÉFORMES SUR L'ÉCUEIL DE L'INCOHÉRENCE 14
I.- L'EXPLOSION DES CONTENTIEUX 14
A.- LES CHIFFRES 14
B.- LES ORIGINES 19
C.- LES CONSÉQUENCES 21
II.- LA MULTIPLICATION DES RÉFORMES AU RISQUE DE LA PRÉCIPITATION ET DE L'INCONSÉQUENCE 26
DEUXIÈME PARTIE : LE PRÉALABLE DE L'ADAPTATION DE LA CARTE JUDICIAIRE 32
I.- UNE QUESTION ANCIENNE ET LANCINANTE 32
II.- LES MODIFICATIONS EN COURS : RÉFORME EN PROFONDEUR OU « ACHARNEMENT THÉRAPEUTIQUE » ? 37
A.- UNE PRISE DE CONSCIENCE SALUTAIRE 37
B.- DES MODIFICATIONS MARGINALES 38
C.- UNE NOUVELLE MÉTHODE INADAPTÉE ET LIMITÉE DANS SES AMBITIONS 39
TROISIÈME PARTIE : LA NÉCESSAIRE AMÉLIORATION DE LA GESTION DES RESSOURCES HUMAINES 46
I.- UN RÔLE SOCIAL EN PLEINE MUTATION 46
II.- LE RECRUTEMENT 49
A.- L'AUGMENTATION GÉNÉRALE DES EFFECTIFS 49
B.- LA DIVERSIFICATION DES MODES DE RECRUTEMENT 55
C.- LA CRÉATION D'ÉQUIPES JURIDICTIONNELLES 59
1.- Le renforcement des greffes 58
2.- Assistants de justice et assistants spécialisés 61
a ) L'accroissement continu du nombre d'assistants de justice 61
b) La création d'assistants spécialisés 62
III.- LA CARRIÈRE : ENTRE INDÉPENDANCE ET TENTATION CORPORATISTE 64
A.- LES MODES DE NOMINATION DES MAGISTRATS : BYZANTINISME ET INERTIES 66
1.- L'organisation hiérarchique de la magistrature 67
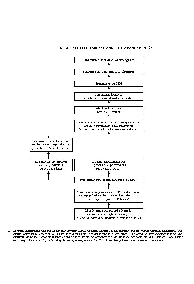
2.- Les modes de nomination et d'avancement 69
a) Des principes clairs 69
b) Des modes pratiques de nomination complexes 69
c) Des modes pratiques d'avancement tout aussi complexes 74
3.- Une source de dysfonctionnement de l'appareil judiciaire 77
B.- LE CONSEIL SUPÉRIEUR DE LA MAGISTRATURE : UN RÔLE CENTRAL 78
1.- L'organisation du Conseil 78
2.- Le rôle du Conseil 80
a) Les compétences du Conseil à l'égard des magistrats du siège 81
b) Les compétences du Conseil à l'égard des magistrats du parquet 84
3.- La révision constitutionnelle : clef de voûte de la réforme ou blanc-seing ? 87
C.- RESPONSABILITÉ ET MOBILITÉ DES MAGISTRATS : VÉRITÉS ET CONTRE-VERITÉS 94
1.- L'organisation de la responsabilité 94
a) Le régime actuel de la responsabilité des magistrats 94
b) Les propositions de réforme 96
2.- L'organisation de la mobilité 101
3.- La formation et l'évaluation, conditions de la responsabilité et de l'indépendance 103
QUATRIÈME PARTIE : LA REVALORISATION DE LA FONCTION DE GESTION 107
I.- UNE ABSENCE DE CULTURE GESTIONNAIRE 107
II.- DES PROGRÈS CERTAINS 108
A.- LA PROGRESSION DE LA DÉCONCENTRATION 108
1.- La création des services administratifs régionaux 108
2.- Les nouvelles responsabilités budgétaires des juridictions 112
a) La déconcentration des circuits financiers 112
b) La globalisation des crédits par ressort de cour d'appel 115
c) L'exemple du dispositif de maîtrise des frais de justice 118
B.- LE DÉVELOPPEMENT DE L'INFORMATIQUE JUDICIAIRE 122
III.- DES EFFORTS À POURSUIVRE 124
A.- LA CRÉATION D'UN CORPS D'ADMINISTRATEURS CIVILS JUDICIAIRES 124
B.- L'IMPLANTATION D'UNE CULTURE DE GESTION 127
CINQUIÈME PARTIE : L'INDISPENSABLE POURSUITE DE LA REMISE À NIVEAU DU PARC JUDICIAIRE 132
I.- UN EFFORT DE CONSTRUCTION, UN DÉFAUT DE MAINTENANCE 132
A.- L'ENCHEVÊTREMENT DES PROGRAMMATIONS 133
B.- LE PROGRAMME PLURIANNUEL D'ÉQUIPEMENT 138
1.- La naissance et les modes opératoires du programme pluriannuel 138
2.- Les réalisations 139
C.- LE PROGRAMME DÉCONCENTRÉ 141
II.- LE PALAIS DE JUSTICE DE PARIS 143
A.- BATEAU IVRE OU VAISSEAU FANTÔME 144
B.- UNE IMPOSSIBLE RÉNOVATION 146
C.- LA CONSTRUCTION IMPÉRATIVE D'UN NOUVEAU TRIBUNAL DE GRANDE INSTANCE 147
EXAMEN EN COMMISSION 143
OBSERVATIONS PRÉSENTÉES PAR LES GROUPES 151
ANNEXES 157
LAISSER CETTE PAGE BLANCHE SANS NUMEROTION
INTRODUCTION
Nul n'est censé ignorer le caractère fondamental de la justice pour la préservation de notre société démocratique. De manière ironique, Gustave Flaubert ne disait pas autre chose, dans son Dictionnaire des idées reçues ou Catalogue des opinions chic, lorsqu'il recommandait, à propos de la justice, de surtout « ne jamais s'en inquiéter » (1).
La réforme de la justice est un thème permanent. M. Henri Nallet, ancien garde des sceaux, le rappelait récemment : « Tous les ministres successifs sacrifient à ce thème avec des volontés réformatrices aux intensités diverses, mais, étant donné que l'on revient sans cesse sur ce même sujet, on peut légitimement s'interroger sur l'efficacité des programmes antérieurs et sur le fait que le travail soit toujours à remettre sur le chantier ! » (2) Les rapports, qu'ils soient d'origine parlementaire ou gouvernementale, se multiplient. Votre Rapporteur publie, en annexe, les propositions les plus récentes. À lui seul, cet échantillon pourrait donner la mesure des efforts accomplis pour saisir les évolutions du rôle de la justice dans notre société et celles du statut de ses acteurs.
À l'heure où de nombreux textes, qui pourraient changer le visage de notre justice, ont été adoptés ou sont en cours de discussion devant notre Assemblée, il a semblé utile à votre Rapporteur de faire le point sur l'adéquation entre la nouvelle organisation qui résultera de ces textes et les moyens qui sont accordés à nos juridictions. Le 9 novembre 1999, le Premier ministre l'a rappelé devant notre Assemblée : les réformes « sont nécessaires », elles « doivent aboutir ». L'impératif est catégorique, mais les modalités doivent être examinées avec attention.
L'importance des services judiciaires, au c_ur des réformes et dans le budget total de la justice, a justifié que votre Rapporteur concentre son propos sur eux. En effet, ils représentent 43 % des crédits du ministère en 2000. Ils servent à financer le fonctionnement et l'équipement de près de 1.200 juridictions, du Conseil supérieur de la magistrature, ainsi que des écoles nationales de la magistrature et des greffes. Ils couvrent les frais de justice, le coût des réparations civiles, et le financement de l'aide juridique.
Ainsi, pour 2000, les crédits des services judiciaires devraient atteindre 11.742,2 millions de francs. Ils sont en progression de 0,6 % après une progression de 4,7 % entre 1997 et 1998 et de 5,7 % entre 1998 et 1999. Cette relativement faible progression s'explique, notamment, par une hausse importante des dépenses ordinaires (+ 4,2 %) qui est masquée par une réduction substantielle des crédits de paiement pour dépenses en capital
(- 39,1 %).
ÉVOLUTION DES CRÉDITS DES SERVICES JUDICIAIRES (*) | ||||||||||
(en millions de francs) | ||||||||||
1991 |
1992 |
1993 |
1994 |
1995 |
1996 |
1997 |
1998 |
1999 |
2000 | |
Crédits des services judiciaires |
7.453 |
8.181 |
8.818 |
9.220 |
9.646 |
10.086 |
10.542 |
11.039 |
11.668 |
11.742 |
Progression (en %) |
12 |
9,8 |
7,8 |
4,6 |
4,6 |
4,6 |
4,5 |
4,7 |
5,7 |
0,6 |
Crédits de la justice |
18.177 |
19.047 |
20.392 |
21.266 |
22.131 |
23.472 |
23.904 |
24.869 |
26.265 |
27.291 |
Progression (en %) |
7,7 |
4,8 |
7,1 |
4,3 |
4,1 |
6,1 |
1,8 |
4 |
5,6 |
3,9 |
Part des services judiciaires (en %) |
41 |
43 |
43,2 |
43,4 |
43,6 |
43 |
44,1 |
44,4 |
44,4 |
43 |
(*) lois de finances initiales. | ||||||||||
Source : documents budgétaires. | ||||||||||
En outre, les services judiciaires disposeront en 2000 de 26.290 postes budgétaires, soit 41,7 % de l'effectif théorique total du ministère. Les parts de l'aide juridique, qui mobilise 1.543,6 millions de francs, et des frais de justice, qui atteint 1.885,8 millions de francs, restent élevées puisqu'elles constituent près de 12,6 % des crédits du ministère et 29,2 % des crédits des services judiciaires.
ÉVOLUTION COMPARÉE DES CRÉDITS DE LA JUSTICE ET DES SERVICES JUDICIAIRES
(en millions de francs)

La justice a besoin d'être réformée. Des réformes sont entreprises. Et pourtant la vague de critiques à l'égard de l'institution, changeantes mais permanentes, n'en finit pas. La belle cohérence qui caractérisait les propositions faites par la commission de réflexion, installée par le président de la République et dirigée par M. Pierre Truche, semble bien loin, lorsque l'on se penche sur les initiatives gouvernementales. Chaque mouvement du corps social, chaque soubresaut dans l'institution judiciaire se traduit hic et nunc par un projet normatif, qui souffre alors d'une préparation hâtive et d'un manque de concertation. Immanquablement les débats apparaissent ultérieurement, les reculs deviennent nécessaires, la lisibilité de la démarche, condition si nécessaire à la nature démocratique d'une réforme, devient nulle.
Multiplions ces opérations, et la réforme de la justice se transforme en agitation politique. L'institution judiciaire est désorganisée, n'adhère plus aux changements. Le citoyen est désorienté et ne sait plus qui détient la légitimité pour juger ; ce qui lui paraissait obscur lui semble désormais opaque. À terme, ce qui fondait la confiance croissante en la justice finira par fondre. Le débat sur la responsabilité des magistrats le montre : accorder plus d'autonomie aux juges risque de faire naître une méfiance accrue envers leurs décisions. Or la question de la responsabilité aurait dû être posée préalablement, ou du moins de manière concomitante, à celle d'un renforcement de l'autonomie. Il est dommage qu'elle ne soit posée que de manière précipitée. Une fois encore, nous risquons de nous voir présenter un texte qui n'a pas fait l'objet de toutes les discussions nécessaires et qui conduisent à des débats difficiles et longs au Parlement, au préjudice de l'intérêt du bon fonctionnement de la justice.
Le rôle d'évaluation des rapporteurs spéciaux trouve ici pleinement sa place. L'examen de la mise en _uvre de moyens au regard d'objectifs clairement définis se heurte précisément, dans le cas des réformes en cours, à la multiplicité et à l'incohérence relative de ces objectifs. Quant aux moyens, ils ne progressent de manière satisfaisante que toutes choses étant égales par ailleurs. Or, le contexte même de réforme rend fausse cette assertion. L'augmentation des crédits, si elle permet d'améliorer l'existant
- et cela n'avait pas été fait depuis longtemps -, ne saurait suffire à garantir l'absorption des réformes par l'institution judiciaire. Il est vrai que les besoins sont considérables. Si le budget de la justice croît plus vite que les autres actuellement, il est parti de plus bas, à tel point que M. Hubert Haenel, rapporteur spécial des crédits de la justice au Sénat, pouvait lui aussi s'interroger : « À quoi sert cette liturgie ? Il y aura bientôt dix ans, avec M. Arthuis et une vingtaine de nos collègues nous tirions la sonnette d'alarme : " justice sinistrée, démocratie en danger ! " Aujourd'hui, nous pourrions en arriver à la même conclusion. Certes, le budget de la justice a progressé. Mais les bouffées d'air apportées par les gouvernements successifs n'ont pas apaisé le débat ; la sérénité n'est pas revenue. » (3)
La multiplication et l'incohérence des propositions gouvernementales justifient pleinement la décision du président de la République d'abroger, le 19 janvier 2000, le décret du 3 novembre 1999 tendant à soumettre au Parlement réuni en Congrès, notamment, le projet de loi constitutionnelle relatif au Conseil supérieur de la magistrature. Dans notre édifice judiciaire, la réforme constitutionnelle envisagée ne constitue en aucun cas le fondement incontournable de la révolution annoncée. Le report du Congrès n'interdit pas tout changement. Il permettra au Gouvernement de dialoguer de manière plus raisonnable et plus constructive avec le Parlement.
Laisser cette page blanche sans numérotation
UNE VAGUE DE RÉFORMES SUR L'ÉCUEIL DE L'INCOHÉRENCE
L'explosion des contentieux a alimenté le rééquilibrage de nos institutions au profit du pouvoir judiciaire, au risque de créer un nouveau déséquilibre. Elle a mis en évidence les faiblesses de l'organisation judiciaire. Elle a rendu nécessaire la mise en _uvre de réformes, lancées par le président de la République dès janvier 1997.
I.- L'EXPLOSION DES CONTENTIEUX
Le problème avait été soulevé par le sénateur Edgar Tailhades dès 1985 dans son rapport au Premier ministre sur La modernisation de la justice. Le rapport présenté par les sénateurs Hubert Haenel et Jean Arthuis (4), en 1991, avait déjà déclenché la sonnette d'alarme. Elle fut de nouveau tirée par les sénateurs Charles Jolibois et Pierre Fauchon, dans le rapport de 1996, intitulé Quel moyens, pour quelle justice ? (5).
L'évolution est surtout remarquable devant les juridictions civiles.
Entre 1974 et 1984, le nombre des affaires civiles nouvelles a augmenté de 218 % devant les tribunaux de grande instance et de 239 % devant les cours d'appel. Sur une longue période, la tendance est moins nette. Aujourd'hui, les tribunaux d'instance enregistrent près de 500.000 affaires nouvelles par an et les tribunaux de grande instance plus de 600.000. Dans les années 1870, le nombre d'affaires nouvelles audiencées devant les juges de paix s'élevait à près de 400.000, tandis que près de 2,25 millions d'affaires étaient traitées en conciliation, pour une population de 40 millions d'habitants.
Les évolutions les plus récentes n'ont pas enregistré de décrue significative. Ainsi, en 1998, le nombre d'affaires nouvelles civiles portées devant la Cour de cassation est en hausse par rapport à 1997, retrouvant ainsi son niveau record depuis 1990 (environ 22.000 affaires). L'évolution est inverse pour les cours d'appel qui connaissent un nombre d'affaires nouvelles (209.790) moindre par rapport l'année précédente, ce qui confirme le retournement de tendance observé depuis 1996, après la croissance interrompue des affaires nouvelles pendant dix ans.
En 1997, la situation devant les tribunaux de grande instance était inédite : le nombre d'affaires nouvelles (645.000) diminuait pour la première fois depuis 1986. Cette situation nouvelle résultait en grande partie de la réduction de 39 % des procédures contentieuses de l'exécution. Cette nouvelle tendance à la baisse se confirme en 1998, et ce d'autant plus que, pour la première fois depuis des années, les contentieux soumis au juge aux affaires familiales ont régressé.
Si le nombre d'affaires nouvelles baisse, en revanche, les durées moyennes des affaires terminées augmentent en 1998 comme en 1997. Les délais de solution passent à 17,4 mois devant les cours d'appel et à 9,3 mois devant les tribunaux de grande instance, alors même que le programme pluriannuel pour la justice avait fixé des objectifs, respectivement, de 12 et de 6 mois. Le même décalage entre les objectifs (3 mois) et la réalité (5,1 mois) doit être constaté pour les affaires traitées devant les tribunaux d'instance.
Le tableau ci-après retrace les principales évolutions du contentieux civil entre 1991 et 1998. Il est particulièrement regrettable que la Cour de cassation ne fournisse aucune statistique sur son délai moyen de jugement, et ce d'autant plus que le nombre d'affaires devant elle croît de manière considérable.
ÉVOLUTION DU CONTENTIEUX DEVANT LES JURIDICTIONS CIVILES (1) (1991-1998) |
|||||||||||
1991 |
1992 |
1993 |
1994 |
1995 |
1996 |
1997 |
1998 (2) | ||||
Affaires nouvelles |
19.386 |
18.841 |
19.962 |
19.115 |
19.969 |
20.275 |
19.987 |
21.928 | |||
Cour de |
Affaires terminées |
18.427 |
18.049 |
18.569 |
18.456 |
21.499 |
20.420 |
20.103 |
19.815 | ||
Cassation |
Affaires en cours |
30.047 |
30.945 |
32.452 |
33.279 |
31.949 |
31.804 |
34.620 |
36.733 | ||
Délai moyen (3) |
(n.d.) |
(n.d.) |
(n.d.) |
(n.d.) |
(n.d.) |
(n.d.) |
(n.d.) |
(n.d.) | |||
Affaires nouvelles |
173.177 |
182.794 |
204.935 |
218.880 |
220.066 |
219.271 |
214.197 |
209.790 | |||
Cours d'appel |
Affaires terminées |
168.011 |
171.082 |
179.585 |
187.246 |
198.754 |
203.740 |
202.724 |
207.125 | ||
Affaires en cours |
201.632 |
213.344 |
238.694 |
270.328 |
291.640 |
307.171 |
318.644 |
321.309 | |||
Délai moyen (3) |
13,9 |
13,8 |
13,5 |
13,9 |
14,7 |
15,8 |
16,6 |
17,4 | |||
Tribunaux de |
Affaires nouvelles |
492.391 |
523.026 |
566.723 |
658.042 |
660.189 |
676.282 |
644.939 |
632.604 | ||
grande |
Affaires terminées |
462.326. |
474.775 |
532.494 |
610.234 |
645.319 |
659.153 |
642.319 |
631.728 | ||
Instance |
Affaires en cours |
414.592 |
461.843 |
496.072 |
543.880 |
558.750 |
575.879 |
578.499 |
579.374 | ||
Délai moyen (3) |
10 |
9,5 |
9,6 |
8,9 |
8,9 |
8,9 |
9,1 |
9,3 | |||
Affaires nouvelles |
552.456 |
614.795 |
567.078 |
517.154 |
487.523 |
483.593 |
472.963 |
467.488 | |||
Tribunaux |
Affaires terminées |
523.322 |
594.168 |
559.875 |
509.410 |
494.828 |
460.146 |
453.259 |
453.060 | ||
d'instance |
Affaires en cours |
268.359 |
288.986 |
296.189 |
303.933 |
296.628 |
320.075 |
339.779 |
354.207 | ||
Délai moyen (3) |
4,5 |
4,4 |
4,9 |
5,2 |
5,1 |
5,0 |
5,0 |
5,1 | |||
Affaires nouvelles |
156.298 |
172.883 |
172.001 |
167.809 |
157.542 |
167.894 |
171.799 |
190.973 | |||
Conseils de |
Affaires terminées |
148.547 |
161.128 |
163.073 |
168.250 |
166.593 |
160.536 |
167.820 |
165.235 | ||
prud'hommes |
Affaires en cours |
123.684 |
135.439 |
144.369 |
143.949 |
123.898 |
142.256 |
146.235 |
171.973 | ||
Délai moyen (3) |
9,2 |
9,7 |
9,5 |
9,7 |
10,1 |
9,4 |
9,6 |
9,7 | |||
(1) Ces statistiques ne tiennent pas compte des ordonnances de référés, sur requêtes, des injonctions de payer, des saisies sur rémunérations, du contentieux électoral, des procédures de conciliation, des certificats et déclarations de nationalité, des manifestations de volonté. |
|||||||||||
(2) données provisoires. |
|||||||||||
(3) en mois. |
|||||||||||
Source : ministère de la justice. |
|||||||||||
ÉVOLUTION DU CONTENTIEUX DEVANT LA COUR DE CASSATION

ÉVOLUTION DU CONTENTIEUX DEVANT LES COURS D'APPEL

Source : ministère de la justice.
ÉVOLUTION DU CONTENTIEUX DEVANT LES TRIBUNAUX DE GRANDE INSTANCE

ÉVOLUTION DU CONTENTIEUX DEVANT LES TRIBUNAUX D'INSTANCE

Source : ministère de la justice.
ÉVOLUTION DU CONTENTIEUX DEVANT LES CONSEILS DE PRUD'HOMMES

Source : ministère de la justice.
Au pénal, les chiffres sont moins significatifs. Le système possède un mécanisme de contrôle des flux : le classement sans suite, qui élimine 80 % des procès verbaux reçus par les parquets des tribunaux de grande instance, pourcentage qui est encore de 45 % dans les cas où l'auteur est connu.
S'agissant des juridictions pénales, le nombre d'affaires nouvelles transmises (6.700) à la Cour de cassation avait diminué en 1997, pour la première fois depuis 1994. En 1998, la tendance à l'augmentation a repris avec force, puisqu'elle atteint 22 % par rapport à l'année précédente, portant le nombre d'affaires nouvelles à 8.180.
Un ralentissement de la croissance continue de l'activité (32.400 arrêts) des chambres d'accusation près les cours d'appel était constaté en 1997. Mais, avec 34.206 arrêts en 1998, la tendance à la hausse a repris.
Le nombre de plaintes, dénonciations et procès-verbaux (4,96 millions) parvenus aux parquets des tribunaux de grande instance a été relativement stable entre 1997 et 1998. Une tendance à la baisse marque le nombre de procédures classées sans suite (taux de 83 %), tandis que le nombre d'affaires poursuivies (613.000) était en légère progression. 40.000 affaires ont fait l'objet d'une ouverture d'information devant un juge d'instruction, ce qui confirme la tendance à la baisse constante depuis dix ans. Plus de 378.000 affaires ont été poursuivies devant les tribunaux correctionnels, soit à peu près autant qu'en 1997. Enfin, près de 144.500 affaires ont été poursuivies devant les tribunaux de police, en progression de 6,2 % par rapport à 1997.
L'explosion du contentieux trouve son origine dans plusieurs phénomènes. Le droit est devenu un outil de régulation sociale et économique de plus en plus important, et les normes se multiplient sans cesse. L'accès à la justice a été facilité par l'établissement d'un système juridique de plus en plus développé.
- La réévaluation de la place du droit dans notre société
Jerold S. Auerbach l'a mis en évidence : « Le droit est notre religion nationale, les avocats sont notre clergé, les palais de justice nos cathédrales où les passions contemporaines sont représentées » (6). Cette nouvelle place résulte, en particulier, du progrès social, de la plus grande mobilité de la population. Le lieu symbolique de la démocratie émigre de l'État vers la justice. De plus en plus, l'opinion commune estime que tout doit pouvoir être mis en cause devant une juridiction, jusqu'à la politique étrangère. Une telle promotion de la justice autorise la transposition de toutes les revendications et de tous les problèmes devant une juridiction dans des termes juridiques.
Ainsi, la plupart des grosses sociétés commerciales ont pris conscience de ce changement. Elles élaborent des chartes de déontologie, mettent en place un comité d'éthique, ont le souci de s'entourer de juristes lors de tout acte d'importance de leur vie. De façon générale, les citoyens ont une meilleure formation et une meilleure information. On ne peut exclure l'existence d'un lien entre l'augmentation du nombre des avocats et la croissance du nombre de contentieux.
Comme l'a mis en évidence Paul Ric_ur, cette réévaluation du droit a fait apparaître une contradiction, entre l'emprise grandissante que la justice, d'une part, et la crise de délégitimation touchant toutes les institutions exerçant une forme d'autorité.
- La multiplication des normes de droit
L'accroissement régulier du corpus normatif est souvent stigmatisé pour expliquer l'accroissement du contentieux : l'État de droit progresserait au prix de l'encombrement des tribunaux.
Le marquis de Mirabeau, économiste et père du comte, se faisait déjà l'écho de ce phénomène dans son Traité de la population (7) : « On se plaint tous les jours de la multiplication des loix, d'explications, de cas, de formes, et autres embarras dont le régime civil se charge continuellement ». Ceci constaté, il justifie immédiatement ce mouvement : « c'est une suite naturelle de l'extension dans l'espece et la quotité de nos biens ». Il en souligne le caractère irréductible : « Un souverain qui voudroit d'une part abréger le code de ses sujets, et de l'autre étendre leur industrie, chercheroit la pierre philosophale ». Dès lors que l'activité économique croît en intensité et que les relations sociales s'élargissent, le besoin de règles de droit se fait plus pressant. Il est donc inutile, d'une part, d'appeler un meilleur encadrement juridique des activités économiques et sociales, et d'autre part, de regretter que les citoyens invoquent de nouvelles règles juridiques devant les juges.
Cette multiplication des normes crée une insécurité juridique, renforcée par les évolutions constantes de la jurisprudence. En effet, le juge doit s'attacher à mettre en permanence en relation un nombre croissant de règles avec un nombre croissant d'affaires, de plus en plus complexes, à tel point que la loi apparaît à certains comme un produit semi-fini qui doit être terminé par le juge.
- Le développement d'un système d'aide juridique
Réformée par la loi n° 91-637 du 10 juillet 1991 modifiée relative à l'aide juridique et le décret n° 91-1266 du 19 décembre 1991, l'aide juridique a vu ses dépenses tripler depuis lors : elle représentait 1.201 millions de francs en 1997 au lieu de 401 millions de francs en 1991. La rémunération des avocats représente près de 85 % du total. Le nombre des admissions est passé de 579.856 en 1994 à 703.746 en 1998. En 1998, l'aide juridique a coûté 1.240,76 millions de francs. Elle représentait 726 millions en 1994, soit une progression de 70,9 %. Le principal poste de dépense est constitué par la rétribution des avocats : 1.038 millions de francs en 1998, soit une somme de 30.000 francs en moyenne par avocat. La dotation budgétaire de l'aide juridique est passée de 1.228,5 millions de francs dans la loi de finances initiale pour 1998 à 1.443,72 millions de francs dans la loi de finances pour 1999, soit une progression de 17,5 %. Pour 2000, la progression est de nouveau significative, comme l'indique le tableau ci-après.
ÉVOLUTION DES CRÉDITS D'AIDE JURIDIQUE (Chapitre 37-12 ancien, Chapitre 46-12 nouveau) (1994-2000) | ||||||||
(en millions de francs) | ||||||||
Année |
1994 |
1995 |
1996 |
1997 |
1998 (1) |
1999 |
2000 |
|
Dotations en loi de finances initiale |
||||||||
Ancien régime (loi de 1972) |
60 |
250 |
(n.s.) |
(n.s.) |
(n.s.) |
(n.s.) |
(n.s.) | |
Nouveau régime (loi de 1991) |
1.037,67 |
1.060,27 |
1.085,31 |
1.216,3 |
1.228,5 |
1.443,7 |
1.543,6 | |
Total |
1.097,67 |
1.085,28 |
1.085,31 |
1.216,3 |
1.228,5 |
1.443,7 |
1.543,6 | |
Dépenses constatées |
||||||||
Ancien régime (loi de 1972) |
61,86 |
23,98 |
10,61 |
6,2 |
4,1 |
(n.d.) |
(n.s.) | |
Nouveau régime (loi de 1991) |
663,76 |
840,68 |
1.061,51 |
1.201,8 |
1.236,6 |
(n.d.) |
(n.s.) | |
Total |
725,63 |
864,66 |
1.072,12 |
1.208,1 |
1.240,8 |
(n.d.) |
(n.s.) | |
(1) La dotation finale est de 1.250,3 millions de francs après un ajustement de 21,85 millions de francs en loi de finances rectificative. | ||||||||
Source : ministère de la justice. | ||||||||
S'il n'est pas toujours suffisant pour assurer une parfaite égalité des chances des justiciables, le système actuel d'aide juridique offre suffisamment de ressources pour permettre au plus grand nombre d'accéder aux prétoires.
La description de la justice au XIVème siècle, sortie du Moyen Âge, pourrait faire écho à certaines préoccupations de nos contemporains : « Le plaideur n'est plus devant des égaux ; le voilà devant des supérieurs et des maîtres qui l'interrogent, qui scrutent ses actes, qui sondent sa conscience. Comme son attitude est plus humble ! Il est déjà troublé par l'appareil de cette cour ; il est troublé plus encore par toutes les questions qu'on lui pose, car ces hommes qui passent leur vie à juger ont des finesses et une sagacité subtile que les pairs d'autrefois ne pouvaient pas avoir. Ils parlent d'ailleurs une autre langue que lui ; ils citent des textes qui lui sont inconnus et qu'il ne peut discuter. (...) Les juges lui imposent ; qu'il soit bourgeois ou gentilhomme, il est tenu de vénérer ces chevaliers ès-lois qu'il appelle des noms de docteur et de maître. Ainsi la justice change d'aspect et de physionomie : au lieu de se mettre au niveau de chaque justiciable, si humble qu'il soit, elle se place au-dessus des plus élevés ; au lieu de laisser à l'homme, tout accusé qu'il est, sa liberté inviolable et toute sa fierté native, elle courbe sa volonté et commence par briser son orgueil. C'est à partir de ce moment que la procédure se transforme : l'accusé comparaît presque comme coupable, l'usage de la détention préventive s'établit. » (8)
Le service public de la justice n'est pas satisfaisant du point de vue de son efficacité à l'égard des usagers. Il se caractérise par sa lenteur, ses décisions difficilement compréhensibles, sa cherté, son éloignement du citoyen, et parfois même, comme le reconnaît M. Henri Nallet, sa « partialité ». Presque autant de caractéristiques qui étaient dénoncées par la lettre de mission du président de la République à la commission présidée par l'ancien premier président de la Cour de cassation, M. Pierre Truche.
- Le rôle du juge est devenu protéiforme
L'exemple de la politique d'accès au droit est emblématique de la diversification excessive des tâches qui incombent à la magistrature. Ainsi, le juge est désormais responsable de la mise en place des centres départementaux d'aide juridique, devenus entre-temps conseils départementaux d'accès au droit. Le développement des solutions non juridictionnelles fait ainsi du juge contemporain le médecin de campagne moderne, chargé de soigner toutes les plaies sociales, de répondre à toutes les questions.
Cette situation n'est pas propre à la France. Un membre de la Cour de cassation italienne a récemment rappelé qu'en Italie, les fonctions exercées par la magistrature aujourd'hui sont alourdies non seulement par de nouveaux fardeaux ayant un caractère juridictionnel, mais aussi par d'autres fardeaux de nature presque purement administrative ou bien par d'autres encore, qui font des fonctions du juge presque une activité législative déguisée. Il précise que « le fait incontestable que les lois investissent les juges d'une fonction indépendante qui les affranchit de toute subordination (tout au moins au moment de la prise de décision) et le climat d'autorité morale et sociale qu'une telle indépendance crée autour de la magistrature ont amené le législateur à déverser (...) sur le juge un trop-plein de fonctions essentiellement administratives » (9). Ces fonctions concernent la protection des mineurs, le traitement des drogués, la supervision des registres de l'état civil ainsi que des registres des sociétés commerciales, l'exécution des peines, et le traitement des détenus. En France, nombre de ces matières tombent également dans les compétences du juge. Il conviendrait d'y ajouter, par exemple, le traitement du surendettement.
Une autre déviation du rôle originel des magistrats est à craindre. Devant la prolifération des textes normatifs, la part d'interprétation de la loi qui incombe au juge augmente naturellement. Ce dernier est amené à exercer une forme de suppléance du législateur. Le phénomène a été prégnant en Italie, en matière de lutte contre la corruption. De manière générale, comme le souligne Montesquieu, dans Les lettres persanes, « cette abondance de lois adoptées (...) est si grande qu'elle accable également la justice et les juges ». Plus d'un siècle et demi après, en 1889, l'historien Georges d'Avenel écrivait encore : « tant de lois mal conçues, hâtivement votées, ont été mises en vigueur, la jurisprudence tend de plus en plus à jouer un rôle prépondérant, l'interprétation du juge éclaircit, corrige, complète, ou laisse tomber en désuétude les volontés du législateur » (10).
- Il existe un réel décalage entre le rythme de la justice et celui de la société, tel que mis en évidence par les médias
Notre collègue Édouard Balladur, lors de la séance des questions du 9 novembre 1999, a parfaitement résumé la situation : « Il faut prendre acte de la société médiatique dans laquelle nous vivons. Il n'y a plus de secret de l'instruction, de présomption d'innocence et, dans une certaine mesure, il n'y a plus de respect des droits de l'homme, pas seulement pour les hommes politiques mais pour tous les citoyens. »
Les impératifs d'instantanéité de l'information se combinent mal, par nature, avec le temps judiciaire, qui demande circonspection, travail de mémoire, successions d'opérations symboliques. Par l'action des médias, la « justice est délogée de son espace protégé, privée de la mise à distance des faits dans le temps et de la mise à part de ses démarches professionnelles » (11). Les médias disqualifient les médiations institutionnelles, instituant une méfiance systématique ou entretenant entre elles une proximité dangereuse. Ils marquent souvent un plus grand intérêt à l'égard du juge en tant qu'homme qu'à l'égard de sa fonction. Dans ce jeu, l'illusion supplante la transparence, la passion l'emporte sur la raison et la normalisation sur la liberté.
Ce décalage existe également à l'égard de la vie économique. Les délais de jugement constituent souvent une cause d'insatisfaction chez les acteurs économiques, qui recourent alors à l'arbitrage. Le chancelier d'Aguesseau le soulignait déjà : « Ce jour, cette heure que le magistrat croit quelquefois pouvoir prendre innocemment, sont peut-être pour le misérable le jour fatal, et comme la dernière heure de la justice. Nous croyons avoir toujours assez de temps pour la rendre, mais il n'y en aura plus pour la recevoir. »
- Les délais s'allongent
La justice fonctionne à l'initiative du public. Il déclenche son mouvement par ses requêtes. Faute d'augmentation régulière et massive des moyens, l'offre et la demande s'ajustent difficilement. La seule solution réside dans l'allongement des délais. Ainsi, pour ne prendre qu'un exemple, les délais moyens de jugement devant les cours d'appel sont passés, entre 1991 et 1998, de 13,9 mois à 17,4 mois.
- La surcharge des juridictions a augmenté les risques de désorganisation et de dysfonctionnement
Plusieurs exemples l'ont récemment montré. Cette désorganisation, ou du moins le manque d'organisation rationnelle, est susceptible de causer des désordres importants, tels que la disparition de dossiers ou de pièces d'instruction. Les palais de justice sont généralement des maisons relativement ouvertes, où chacun peut circuler, sans susciter outre mesure de méfiance, le comble étant constaté au palais de justice de Paris.
Le manque d'espace conduit souvent à entreposer dossiers et archives dans les couloirs. La réduction de la durée légale de conservation des scellés, si elle permet de diminuer les stocks, ne constituera pas une panacée face à la désorganisation structurelle qui résulte de l'écart entre contentieux et moyens. De nombreuses affaires à l'instruction progressent difficilement, du fait même du manque de moyens ou d'une mauvaise organisation : on peut penser ainsi aux postes qui restent vacants trop longtemps, faute de gestion prévisionnelle des emplois. Il est vrai que, proclamé par l'article 64 de la Constitution et par l'article 4 de l'ordonnance organique du 22 décembre 1958 relative au statut de la magistrature, le caractère inamovible des magistrats du siège, dont font partie les juges d'instruction, rend la mise en _uvre d'un tel mode de gestion des ressources humaines particulièrement délicate. Mais un « mouvement » organisé annuellement éviterait les hiatus qui désorganisent le travail des juridictions.
La création de magistrats « placés » constitue de ce point de vue un réel progrès.
La pénurie de moyens est également sensible dans les services relais de l'action judiciaire, dans les services de police judiciaire au premier chef. Cette question pose celle de l'absence de lien organique entre la hiérarchie judiciaire et la hiérarchie policière, qui n'est pas sans provoquer des problèmes, non seulement de pénurie, mais également de mobilisation des moyens.
Il faut assurer « la rénovation d'un service public judiciaire qui n'est pas dispensé d'expliciter ce qu'il fait, d'évaluer ses pratiques et d'accepter de respecter certaines exigences, celles du peuple français tout simplement... » (12).
Les mêmes causes produisent les mêmes effets. Ainsi, comme les tribunaux français, les juridictions britanniques sont encombrées. En tout état de cause, les différences de procédures et de culture interdisent de s'inspirer dans une trop large mesure du système anglais. Le système accusatoire a lui aussi ses limites : le juge britannique écoute les plaidoiries et les témoignages que les parties lui proposent et aucune limite de temps n'est imposée aux audiences. Nous rappellerons qu'en Italie, la mise en _uvre d'un nouveau système de procédure pénale, inspiré le plus souvent du principe accusatoire, est stigmatisée comme l'une des causes qui ont contribué à surcharger les engrenages de la justice (13). Par ailleurs, en Angleterre, les frais de justice sont particulièrement élevés, et l'aide juridique a coûté, en 1997, l'équivalent de 14 milliards de francs et a bénéficié à près d'un million de personnes (14). Selon l'aveu même du Lord Justice Nicholas Phillips, « il faut être, ou millionnaire, ou fou, pour s'engager dans un procès. Pour la plupart des citoyens, la justice n'est plus accessible, notre système de justice est en crise. » (15)
- La contrainte des moyens motive des réformes de procédure et un recours croissant à des auxiliaires
Le recours au juge unique est topique. Il est de plus en plus largement pratiqué devant les juridictions civiles : c'est le cas des tribunaux d'instance, du juge des référés, des juges spécialisés, par exemple, dans les affaires familiales ou l'exécution. C'est le cas notamment en matière d'accident de la circulation. De manière générale, l'article L 311-10 du code de l'organisation judiciaire prévoit que le président du tribunal de grande instance peut décider qu'une affaire sera jugée par le tribunal statuant à juge unique. Au pénal, outre les exemples traditionnels du juge d'instruction et du tribunal de police, la loi du 8 février 1995 a prévu qu'en matière correctionnelle un certain nombre de délits, considérés comme les moins graves de cette catégorie, sont jugés par un seul magistrat. Le président Jean-Marie Coulon, dans son rapport de 1994, estime que qu'il faut poser le principe du juge unique en première instance, à condition que celui-ci puisse renvoyer la cause à la collégialité.
La création de la fonction d'assistants de justice, si elle a permis de soulager le travail des juridictions, marque également la dérive d'un système qui, faute de moyens permanents, se décharge de certaines tâches sur un personnel temporaire, au statut précaire, au risque de transformer chaque tribunal en lieu de passage, sans culture propre ni mémoire, et dont la qualité du fonctionnement varie en fonction de flux importants de personnels précaires. Il faut craindre que le recours massif aux agents de justice ne conduise dans les mêmes voies.
II.- LA MULTIPLICATION DES RÉFORMES AU RISQUE
DE LA PRÉCIPITATION ET DE L'INCONSÉQUENCE
Après des années de glaciation judiciaire, une réforme de la justice de grande ampleur a été lancée en janvier 1997 par le président de la République. Relayée par le Premier ministre dans son discours de politique générale, elle a été présentée en Conseil des ministres le 29 octobre 1997. Elle s'inscrit dans un calendrier de trois ans. La loi de finances pour 2000 constitue donc le dernier budget destiné à financer les modifications annoncées en 1997.
Les projets gouvernementaux s'enchaînent, les uns après les autres, au gré des circonstances et des mouvements d'humeur de telle ou telle catégorie, s'éloignant peu à peu des lignes claires fixées par le président de la République.
Parmi les principaux textes marquant cette réforme, il convient de relever :
· le projet de loi constitutionnelle portant réforme du Conseil supérieur de la magistrature (CSM) adopté en termes identiques par les deux assemblées en 1998, et qui devrait être prolongé par deux projets de loi organique, sur la composition et les attributions du CSM d'une part, sur le statut de la magistrature d'autre part ;
· la loi n° 98-1163 du 18 décembre 1998 relative à l'accès au droit et à la résolution amiable des conflits ;
· la loi n° 99-515 du 23 juin 1999 relative aux alternatives aux poursuites et renforçant l'efficacité de la procédure pénale ;
· le projet de loi relatif à la présomption d'innocence et aux droits des victimes, adopté en première lecture par chaque assemblée ; ce texte impose la présence d'un avocat dès la première heure de garde à vue et retire aux juges d'instruction le pouvoir de placement sous mandat de dépôt, qui sera confié à un « juge de la détention provisoire » ; il accorde aux personnes mises en examen et aux parties civiles de nouvelles prérogatives pendant la phase d'instruction ; il interdit, par ailleurs, la publication de photographies de personnes menottées et d'images de crimes et délits, lorsqu'elles portent atteinte à la dignité des victimes ; la durée de conservation des scellés devrait être ramenée de trois ans à six mois.
La garde des sceaux a précisé, le 9 décembre 1999, que le projet de loi pourrait être amendé de façon substantielle. La mise en examen ne pourrait être déclenchée que sur des indices graves et concordants ; elle devrait être précédée d'une audition par le juge de la personne visée et de son avocat ; la procédure d'instruction pourrait être réduite dans le temps, selon des critères qui resteraient à définir ; elle a suggéré une modification du code pénal sur les fautes non intentionnelles ; en l'absence de lien direct entre la faute et le dommage, la faute, pour emporter responsabilité, devra être lourde.
· le projet de loi relatif à l'action publique en matière pénale et modifiant le code de procédure pénale, portant notamment sur les rôles respectifs du parquet et de la Chancellerie, adopté en première lecture par l'Assemblée nationale et par le Sénat ;
la garde des sceaux s'était engagée en 1997 à ne plus intervenir dans les dossiers particuliers en cours d'instruction. Le texte adopté en première lecture interdit, de manière formelle, les instructions particulières. En contrepartie, il impose aux parquets d'informer, de manière plus systématique, le ministère et de se conformer, de façon plus stricte, aux circulaires de politique pénale ;
· l'ensemble des textes portant réforme des juridictions commerciales, réforme « consommatrice » de postes de magistrats (16).
Par ailleurs, une série de textes réglementaires ont été publiés afin d'assouplir et d'aménager certaines procédures, à l'exemple du décret n° 98-1231 du 28 décembre 1998 modifiant le code de l'organisation judiciaire et le nouveau code de procédure civile.
Quant à la réforme de la juridiction criminelle, elle a marqué le pas, faute des moyens. La pénurie alimente le statu quo. Une série d'amendements tendant à instituer un recours contre les décisions des cours d'assises avait été proposée par le Sénat, en juin 1999, lors de l'examen en première lecture du projet de loi relatif à la présomption d'innocence et aux droits des victimes. Le Gouvernement s'y est opposé, mais il faudra un jour, de nouveau, aborder cette question. La garde des sceaux a ainsi récemment été amenée à donner son accord de principe à la proposition du Sénat, se déclarant plus favorable à l'institution d'un « appel tournant », qui permet de faire réexaminer une décision d'une cour d'assises par une autre cour. Il faut de nouveau craindre que les moyens contraignent les choix, alors même qu'ils ne satisfont pas aux exigences de rationalité et de qualité de la justice. Quelle légitimité aura une cour d'assises, appelée à décider à la fois en premier ressort et en appel ?
Ainsi, l'augmentation des moyens et la multiplication des réformes de procédures, plus ou moins cohérentes, ne sauraient à elles seules satisfaire le souci d'amélioration du fonctionnement de nos institutions judiciaires.
L'exemple italien nous l'a enseigné. Dès la fin des années 1970, des méthodes de programmation, semblables à celles que le législateur français a adoptées dans la loi de programmation du 6 janvier 1995, ont été définies. Chaque bureau de magistrats a été doté d'appareils électroniques et de liaisons avec une banque centrale de données, placée près la Cour de cassation. Entre la fin des années soixante-dix et aujourd'hui, le nombre de magistrats est progressivement passé de 6.000 à 9.000. La fonction de juge de paix a été créée, remplie par environ 4.000 juristes. Dans le même temps, des réformes de procédures ont été engagées : instauration du juge unique, dépénalisation de plusieurs infractions, rites abrégés, introduction d'une procédure accélérée pour les affaires de droit du travail, transfert de compétences en faveur des notaires pour certaines procédures d'exécution civile.
Selon M. Giovanni E. Longo, président de chambre à la Cour de cassation d'Italie, « les soins utilisés sont sans doute assez bons, mais (ils) n'ont pas fait disparaître les maladies » (17).
Nous ne disposons pas du recul nécessaire pour évaluer l'impact de ces réformes sur les délais de jugement et sur l'évolution du stock d'affaires en instance dans les juridictions. Néanmoins, il est à craindre qu'elles n'aient pas l'effet escompté. L'examen de divers pans des moyens des services judiciaires, à commencer par l'évolution de la carte judiciaire, fait craindre que la progression des moyens ne vainque pas la maladie.
Ce qu'écrivait Maxime du Camp, en 1869, semble être encore d'actualité : « La justice, dont les _uvres sont si multiples, si compliquées, si importantes, n'a pas rencontré d'emblée et sans tâtonnements son organisation complète. (...) On multiplia les tribunaux, on tenta de remplacer les magistrats par de simples juges de paix ; mais on ne put arriver à rien de satisfaisant. » (18)
Pour répondre aux besoins des citoyens et améliorer de manière sensible le fonctionnement de notre appareil judiciaire, il faut sortir de l'épure classique, à laquelle les bribes actuelles de réforme appartiennent assurément. Les réformes annoncées le sont souvent à partir d'une quantité infime mais emblématique d'affaires. La réforme de la procédure pénale paraît de ce point de vue particulièrement significative. Moins de 10 % de l'ensemble des affaires pénales sont constitués d'affaires donnant lieu à une ouverture d'information, c'est-à-dire donnant lieu à la désignation d'un juge d'instruction. Introduire plus de contradictoire est un bien en soi. Mais pourquoi ne pas renforcer les droits des justiciables dans ce qui constitue la très grande majorité des procédures pénales : citation directe devant le tribunal par le procureur, convocation devant ce même tribunal par les services de police, comparution immédiate à l'issue de la garde à vue ?
Pendant que toutes les attentions sont tournées vers l'instruction, quid du contentieux social qui encombre véritablement nos juridictions et pèse sur le traitement des autres contentieux ? Est-il besoin de rappeler que le taux d'appel des décisions rendues par les conseils de prud'hommes atteint près de 60 % !
Nous serions tentés de dire que nous ne nous sommes pas encore départis de la situation décrite par le même Maxime du Camp : « Aujourd'hui, grâce à des formes très lentes - Thémis est boiteuse, disaient les anciens, - grâce à de minutieuses prescriptions, grâce au fonctionnement régulier et obligatoire du jury, grâce à la probité des magistrats et aux progrès incessants de la médecine légale, la justice offre chez nous toutes les conditions de sécurité désirables. Est-ce à dire pour cela qu'on ne commette point d'erreurs judiciaires ? Non pas. (...) les magistrats et les jurés sont des hommes, et (...), malgré la ferme volonté de bien faire, il est dans la nature humaine de se tromper ; mais on peut affirmer que le nombre de ces erreurs, déjà peu fréquentes, tend chaque jour à se restreindre encore. L'ensemble de nos lois pénales et d'instruction criminelle est bon ; ce serait exagérer que de le déclarer parfait. Nos codes seront améliorés, il n'en faut point douter (...). Toute génération doit travailler à donner de la justice une idée plus haute et plus abstraite, à prouver que la modération des châtiments amène l'adoucissement des m_urs, et à faire triompher ces nobles principes d'équité qui sont la gloire d'une nation ; espérons que la nôtre ne faillira point à ce grand devoir. » (19)
Voilà une belle envolée lyrique pour dire ce que répète le discours qui accompagne les aménagements actuels que connaît notre justice : il faut que quelque chose change pour que rien ne change. Nombreux sont ceux qui commencent à penser que nos procédures évolueront d'elles-mêmes sous la pression bénéfique de la jurisprudence de la Cour européenne des droits de l'homme, à laquelle la Cour de cassation, contrairement au Conseil d'État, a su de manière heureuse faire écho. Il suffit, pour s'en convaincre, de citer la décision rendue, le 16 octobre 1999, condamnant la France pour non-respect de la notion de délai raisonnable. À cette occasion, la Cour a enfermé le délai d'instruction dans un temps limité.
Ce qui pèche le plus aujourd'hui, c'est l'organisation du travail judiciaire et la rationalisation des moyens. De ce point de vue, des modifications plus profondes, d'une intensité semblable à celles proposées par Mme Mireille Delmas-Marty en matière de procédure pénale il y a plus de dix ans, mériteraient d'être entreprises, à commencer par une réforme large de la carte judiciaire.
LE PRÉALABLE DE L'ADAPTATION DE LA CARTE JUDICIAIRE
Votre Rapporteur a tenu à faire le point sur la réforme de la carte judiciaire qui reste un problème lancinant de la modernisation de la justice, remis à l'ordre du jour par le rapport de février 1994 du comité de réorganisation et de déconcentration du ministère de la justice, présidé par M. Jean-François Carrez, et inscrit en tant qu'objectif prioritaire dans la loi de programme du 6 janvier 1995 (article 5). C'est une question fondamentale pour faire gagner la justice en productivité, en efficacité, en reconnaissance sociale.
Le président de la République l'a répété, lors du discours prononcé pour le quarantième anniversaire de l'École nationale de la magistrature, le 1er octobre 1999, à Bordeaux : la réforme de la carte judiciaire a été « trop longtemps repoussée » et reste « aujourd'hui plus que jamais nécessaire ». « Il faut que la justice adapte sa présence et ses moyens aux réalités nouvelles de notre territoire. C'est à ce prix qu'elle pourra _uvrer efficacement à la lutte contre les violences urbaines et l'insécurité. »
I.- UNE QUESTION ANCIENNE ET LANCINANTE
Tout comme la carte diplomatique et consulaire, la carte judiciaire fait l'objet, de manière récurrente, de débats importants, sans pour autant jamais connaître de modifications substantielles. Tout le monde est favorable à une réforme de fond, chacun s'oppose de manière farouche à toute mesure concrète.
Dès 1756, le marquis de Mirabeau posait le principe qui doit gouverner toute transformation de la carte judiciaire : « Le prince ne doit que ce qu'il peut ; il doit à tous ses sujets la justice la plus prompte et la plus commode » (20). Mais, il en soulevait, par ailleurs, les difficultés d'application, compte tenu de l'évolution constante des structures économiques et sociales : « Il est, par exemple, des tribunaux à qui par leur création on attribua en dernier ressort les causes jusqu'à la concurrence de deux cents cinquante livres : on les a laissés en cet état, sans penser que deux cents cinquante livres d'alors représentoient mille livres d'aujourd'hui, et conséquemment on a laissé rétrécir leur ressort des trois quarts ».
La question de la carte judiciaire est plus complexe que l'énonciation d'un simple principe d'efficacité et d'accessibilité. Elle repose, en effet, sur la conciliation de deux objectifs : assurer à tous la même qualité de justice, sur l'ensemble du territoire ; garantir une certaine proximité entre le juge et les réalités sociales et économiques locales, sous peine de désincarnation de la justice.
M. de Mirabeau privilégiait la proximité : « il est de fait qu'injustice auprès vaut mieux que justice au loin » (21). Il illustre cet adage par l'exemple suivant, soulignant notamment le poids des juridictions parisiennes : « Vous qui voyez un troupeau paître le chaume voisin, enlevez un mouton à ce berger ; ce pauvre homme va porter sa plainte au juge du lieu ; si ce juge inique ou ignorant adjuge le mouton au voleur, le pauvre perd un mouton. Mais en supposant qu'à trente lieuës de-là on lui rende justice, il a vendu six de ses moutons pour subvenir aux frais du voyage et de la poursuite, tandis que le reste a été mal soigné : si cette justice en dernier ressort est à cent lieuës, adieu tout le troupeau. Pierre au village est un patriarche connu, Laurent est un fripon avéré : le juge voisin sçait cela, et en tire des conséquences au moment où ces deux hommes paroissent devant lui. La loi le voulut ainsi, et dans sa simplicité premiére ordonna qu'on eût égard à la réputation personnelle ; cette sorte de lumière s'évanouit dans l'éloignement : la distance fait pis encore ; elle tourne les différences personnelles à l'avantage du dernier. Les succès de l'honnêteté sont lents et solides, ceux de son contraire sont prompts et passagers ; mais ils durent au moins le temps d'une instance, et Laurent dévalise Pierre par les mains de la justice. Du petit au grand, il est des Pierre et des Laurent de villes et de provinces. À Dieu ne plaise que je prétende inculper la vigilance du plus ancien et du plus respectable tribunal de l'Europe ; mais Paris seul donne plus d'affaires que trois provinces. » (22)
Si les moyens de communication permettent de dépasser ce cas de figure, ce dernier reste pertinent dans l'absolu : il faut trouver une juste distance entre le citoyen et son juge. Trop peu de distance nuit à l'efficacité de la justice, trop de distance compromet sa qualité et sa légitimité. « Si d'une part l'émulation que donne un vaste théâtre, si l'habitude des grandes affaires, et les secours qu'on tire des talens d'autrui dans un pays où tout se rassemble, concourent à former de grands hommes dans la capitale ; de l'autre, ces avantages se trouvent compensés dans les provinces par la paix d'un séjour plus tranquille, par l'éloignement de tous appas corrupteurs de la fortune, la facilité de l'étude et des réflexions, toutes choses refusées aux habitans de la capitale. » (23) Nous retrouvons la nécessaire mise en cohérence de deux objectifs apparemment contradictoires.
La carte judiciaire française résulte d'une stratification. La densité de juridiction se rapproche parfois encore du réseau des villes médiévales. Les plus fortes concentrations de juridictions correspondent à ces zones historiques, qui ont connu, de surcroît, une nouvelle strate de juridictions avec le premier développement industriel, à l'exemple de la Normandie, des Flandres, de la Picardie ou de la Bourgogne.
En 1926, une première réforme avait été tentée sur le fondement d'une départementalisation. Mais, dès 1930, devant les obstacles qu'elle rencontrait, elle fut abrogée.
La dernière tentative de modification à grande échelle de la carte judiciaire, et nous nous en tiendrons à celle-ci, date de 1991. À l'époque, le garde des sceaux, M. Henri Nallet, avait présenté un projet de départementalisation. Il s'est heurté à un mur d'opposition. Les premiers présidents craignaient de voir diminuer leurs pouvoirs de gestion. Les présidents et les procureurs des plus petits tribunaux de grande instance y voyaient un obstacle à leur avancement : jamais ils ne seraient président ou procureur du tribunal départemental. Les vice-présidents et les procureurs adjoints de tous les tribunaux de grande instance, mais également les greffiers et leurs adjoints, s'y opposaient sur le même fondement. Tous les barreaux de province ont créé des comités de défense, auxquels ont adhéré tous les élus locaux des petits tribunaux de grande instance et des autres curiosités historiques de la carte. Les élus locaux ont entraîné les parlementaires. Dans ces conditions, l'expérience ne pouvait aller plus loin.
Cette départementalisation pouvait pourtant apparaître hautement souhaitable. Les politiques publiques, auxquelles participent les institutions judiciaires, sont « territorialisées », et le plus souvent à l'échelon départemental : politique de la Ville, plans départementaux de sécurité, plans de lutte contre le travail clandestin, accès au droit.
Une cour d'appel peut avoir un ressort qui ne dépasse pas 250.000 habitants, ou qui, au contraire, couvre plus de 7 millions d'habitants. Si l'on exclut les extrêmes, à savoir Bastia et Paris, l'écart reste de 1 à 6 en population et de 1 à 10 en volume d'affaires traitées, entre Agen et Aix-en-Provence. Un tribunal de grande instance peut avoir un ressort inférieur à 70.000 habitants, avec 6 magistrats, ou un ressort de 2,15 millions d'habitants, avec près de 500 magistrats. Le rapport démographique s'étend de 1 à 31 et un rapport en effectifs de magistrats de 1 à 75. Pour les tribunaux d'instance, l'écart peut aller de 1 à 90. Le rapport est de 1 à 132 pour les conseils de prud'hommes et de 1 à 168 pour les tribunaux de commerce.
La densité géographique des juridictions apparaît extrêmement variable. En Saône-et-Loire, en 1998, on trouvait 21 juridictions, dont 2 tribunaux de grande instance, 7 tribunaux d'instance, 7 tribunaux de commerce et 5 conseils de prud'hommes, alors que l'Indre-et-Loire, pour la même population, compte 6 juridictions, à savoir un tribunal de grande instance, un tribunal de commerce, un conseil de prud'hommes et trois tribunaux d'instance. De la même façon, la cour d'appel de Caen comptait 52 juridictions pour 1,4 million d'habitants, tandis que le Rhône, pour une population légèrement supérieure, en compte 12.
Les écarts entre les charges de travail individuelles des magistrats demeurent frappants : de 1993 à 1996, le nombre d'affaires civiles et pénales par magistrat varie de 229 à 396 dans les cours d'appel pour une moyenne nationale de 307 ; le nombre d'affaires pénales par magistrat dans les parquets généraux des cours d'appel varie de 201 à 527, pour une moyenne nationale de 335 ; la variation est de 353 à 1.264 affaires civiles et pénales nouvelles par magistrat dans les sièges non spécialisés des tribunaux de grande instance, pour une moyenne nationale de 676 ; pour les parquets, le nombre de procès-verbal poursuivi varie de 816 à 5.300 pour une moyenne nationale de 2.040.
Le tableau infra illustre parfaitement les différences d'activité et de charges de travail d'une juridiction à l'autre, ce qui se traduit par des durées moyennes de jugement très variables : de 7,3 mois dans la cour d'appel de Riom à 21,7 mois dans celle d'Aix-en-Provence.
ACTIVITÉ DES COURS D'APPEL EN 1997 | ||||||||||
|
Siège |
Population du ressort |
AFFAIRES CIVILES |
AFFAIRES PÉNALES | |||||||
Nouvelles |
Terminées |
dont arrêts |
dont informations |
Durée moyenne |
Chambre |
Chambre d'accusation |
dont arrêts sur mesure de sûreté |
Arrêts des cours d'assises en matière pénale | ||
Toutes Cours d'Appel |
59.478.900 |
214.197 |
202.724 |
132.524 |
32.404 |
16,6 |
36.302 |
32.460 |
22.038 |
2.499 |
Agen |
632.400 |
2.054 |
1.987 |
1.364 |
420 |
16 |
370 |
302 |
205 |
20 |
Aix-en-Provence |
3.818.000 |
24.891 |
21.630 |
12.978 |
3.277 |
21,7 |
2.437 |
3.906 |
2.989 |
256 |
Amiens |
1.855.500 |
5.135 |
4.750 |
3.207 |
910 |
14 |
804 |
1.110 |
851 |
87 |
Angers |
1.523.900 |
2.850 |
2.751 |
2.175 |
489 |
14,8 |
545 |
475 |
293 |
63 |
Bastia |
259.700 |
1.499 |
1.244 |
984 |
277 |
14 |
362 |
275 |
153 |
15 |
Besançon |
1.113.200 |
2.739 |
2.613 |
1.736 |
605 |
14,4 |
448 |
461 |
307 |
46 |
Bordeaux |
1.994.200 |
6.921 |
6.761 |
4.734 |
1.110 |
19 |
832 |
1.043 |
625 |
60 |
Bourges |
785.600 |
2.074 |
1.990 |
1.374 |
267 |
11,8 |
394 |
245 |
115 |
36 |
Caen |
1.412.100 |
4.158 |
4.013 |
2.565 |
461 |
15,1 |
667 |
454 |
261 |
72 |
Chambéry |
985.200 |
3.811 |
3.086 |
2.079 |
450 |
21,4 |
486 |
404 |
216 |
26 |
Colmar |
1.689.700 |
6.481 |
6.358 |
4.133 |
1.037 |
14,8 |
1.009 |
624 |
372 |
55 |
Dijon |
1.261.700 |
2.932 |
3.029 |
2.003 |
371 |
12,5 |
713 |
548 |
414 |
32 |
Douai |
3.994.400 |
10.881 |
10.088 |
6.997 |
1.732 |
19,6 |
2.707 |
3.130 |
2.631 |
151 |
Grenoble |
1.610.400 |
5.122 |
4.698 |
3.634 |
1.054 |
16,3 |
1.022 |
781 |
554 |
46 |
Limoges |
718.700 |
2.072 |
2.192 |
1.686 |
563 |
12,7 |
453 |
229 |
150 |
29 |
Lyon |
2.812.200 |
8.260 |
7.950 |
5.850 |
1.464 |
17,4 |
1.452 |
1.373 |
1.032 |
94 |
Metz |
1.015.900 |
4.587 |
3.841 |
2.135 |
497 |
11,4 |
1.011 |
703 |
391 |
39 |
Montpellier |
1.807.500 |
8.257 |
8.229 |
5.202 |
1.416 |
19,9 |
1.140 |
816 |
541 |
87 |
Nancy |
1.295.300 |
3.700 |
3.457 |
2.426 |
582 |
16,8 |
1.081 |
746 |
512 |
49 |
Nîmes |
1.452.700 |
5.955 |
5.720 |
4.005 |
980 |
16,6 |
891 |
855 |
593 |
77 |
Orléans |
1.467.200 |
3.465 |
4.057 |
2.794 |
603 |
17,9 |
608 |
428 |
232 |
47 |
Paris |
7.431.200 |
38.392 |
37.322 |
21.735 |
4.388 |
15,3 |
8.862 |
5.938 |
4.013 |
335 |
Pau |
1.133.900 |
4.655 |
4.321 |
2.874 |
834 |
14,4 |
606 |
453 |
292 |
24 |
Poitiers |
1.802.400 |
4.546 |
4.417 |
2.897 |
871 |
19,4 |
708 |
438 |
207 |
55 |
Reims |
1.152.500 |
3.582 |
3.423 |
2.286 |
638 |
18,4 |
886 |
574 |
351 |
57 |
Rennes |
3.935.000 |
9.148 |
9.273 |
6.183 |
1.467 |
13,8 |
1.372 |
931 |
539 |
135 |
Riom |
1.315.200 |
3.459 |
3.475 |
2.801 |
676 |
7,3 |
708 |
292 |
145 |
60 |
Rouen |
1.777.000 |
5.470 |
5.108 |
3.426 |
887 |
14,9 |
876 |
760 |
512 |
81 |
Toulouse |
1.674.500 |
6.061 |
6.206 |
4.371 |
1.120 |
14,3 |
992 |
819 |
490 |
62 |
Versailles |
4.292.600 |
14.908 |
13.327 |
8.231 |
1.704 |
19,1 |
1.744 |
2.247 |
1.504 |
129 |
Basse-Terre |
387.000 |
1.719 |
1.542 |
923 |
224 |
10,8 |
192 |
256 |
16 |
25 |
Fort-de-France |
474.300 |
1.873 |
1.717 |
1.241 |
677 |
13,1 |
237 |
436 |
286 |
57 |
Saint-Denis-de-la-Réunion |
597.800 |
2.540 |
2.149 |
1.495 |
353 |
14,1 |
187 |
408 |
246 |
92 |
Source : Annuaire statistique de la justice, 1999. | ||||||||||
II.- LES MODIFICATIONS EN COURS : RÉFORME EN PROFONDEUR OU « ACHARNEMENT THÉRAPEUTIQUE » ?
A.- UNE PRISE DE CONSCIENCE SALUTAIRE
Le ministère de la justice justifie ainsi la nécessité d'adapter en profondeur la carte judiciaire actuelle : « parce que les 1.200 juridictions (24) actuelles résultent d'une organisation judiciaire et administrative qui date de Napoléon Ier, qu'elles sont inégalement réparties sur le territoire métropolitain et présentent des niveaux d'activité peu homogènes, parce que depuis la réorganisation de la carte judiciaire en 1958, les mouvements de population, les techniques et les infrastructures de communication ont profondément redessiné le paysage de notre pays, parce que la complexité et l'inadéquation de la carte judiciaire aux réalités démographiques, sociales et économiques actuelles vont à l'encontre d'une justice rapide et accessible pour tous. »
Les moyens matériels et humains de la justice sont parfois mal utilisés dans des juridictions qualifiées par la garde des sceaux elle-même de juridictions « en déshérence », alors que dans d'autres les besoins sont manifestes. Par ailleurs, de nombreux espaces, telles que les zones urbaines sensibles, sont trop largement désertés par le service public de la justice.
Face à ce constat, le rapport de M. Jean-François Carrez, soulignant que « la justice n'est d'ores et déjà pas rendue uniformément sur le territoire français » (25), en 1994, avait dressé les lignes d'une méthode de modification de la carte. Au terme de ses travaux, les rédacteurs du rapport ont proposé, en effet, une nouvelle méthodologie de révision de celle-ci. Il était envisagé de déconcentrer, au niveau des cours d'appel, la responsabilité de l'aménagement de la carte de leur ressort, et de mettre en place des mécanismes d'organisation permettant de dégager des solutions locales souples pouvant répondre aux situations diverses du terrain et propres à concilier des suppressions de juridictions et le maintien d'une justice de proximité.
L'effort de rationalisation de la carte et de l'organisation des juridictions aurait été assorti de mesures incitatives substantielles concernant essentiellement les moyens en crédits, en personnel et en informatique. Ainsi, les augmentations futures du budget de la justice auraient été réparties en fonction de critères objectifs liés à la charge d'activité et à l'efficacité des juridictions. Un outil de différenciation des dotations budgétaires avait ainsi été élaboré sous la forme d'un coefficient de majoration ou minoration des augmentations futures du budget. Cet instrument était fondé sur le volume des affaires traitées, l'évolution de la population du ressort, le nombre de décisions par magistrat et fonctionnaire, la durée de traitement des affaires terminées, le coût rapporté à la décision rendue. Si la démarche ne manque pas d'intérêt, elle privilégie outre mesure une approche « productiviste » de la justice, négligeant l'exigence de qualité tant revendiquée par les justiciables.
Cette démarche, qui aurait renvoyé au niveau local l'étude, la discussion et les choix nécessaires à la modernisation de l'organisation judiciaire, était de nature à favoriser, par une approche très pragmatique, la réalisation de larges consensus sur les constats, les besoins, les évolutions souhaitables et nécessaires à la mise en place d'une institution judiciaire rénovée et mieux insérée dans le dispositif d'aménagement du territoire réclamée par les citoyens. Il reste que la méthode définie, si elle avait le mérite de suivre une démarche progressive, était confinée dans un carcan de critères stricts.
B.- DES MODIFICATIONS MARGINALES
L'une des solutions, souvent défendue par les organisations professionnelles, pour résoudre les problèmes de la carte, consiste à doter toutes les juridictions des moyens dont disposent actuellement les plus aisées. Selon les évaluations effectuées dans le cadre du rapport Carrez, cette méthode reviendrait à créer 2.200 postes de magistrats et 4.680 postes de fonctionnaires, pour ne retenir que la question des effectifs. Elle apparaît manifestement impraticable.
Au-delà de cette chimère, deux catégories de modifications peuvent être apportées à la carte judiciaire : la modification fonctionnelle, consistant à répartir les compétences de manière différente par rapport à l'existant, toutes choses étant égales par ailleurs ; la modification géographique, revenant à supprimer et à créer des juridictions en fonction des besoins.
Un premier type de réforme a ainsi consisté à modifier les règles de compétence entre les juridictions existantes. Ainsi, dans le cadre de la réforme du droit de la nationalité, les articles 32, 37 et 39 de la loi n° 93-933 du 22 juillet 1993 ont institué le principe d'une spécialisation de certains tribunaux de grande instance et d'instance en ce domaine. Cette spécialisation se justifiait par la volonté du législateur d'accroître la qualité du traitement des affaires de nationalité.
De la même manière, le décret n° 94-259 du 25 mars 1994 a fixé la liste et le ressort des juridictions spécialisées en matière économique et financière. Ce décret est intervenu en application de la loi n° 94-89 du 1er février 1994, dont certaines dispositions modifient le titre II du code de procédure pénale, qui renforce le dispositif de répression des infractions économiques et financières instauré par la loi n° 75-701 du 6 août 1975 et a amélioré sensiblement l'adaptation de l'organisation judiciaire à une délinquance dont le traitement exige technicité et efficacité. Ainsi, dans chaque cour d'appel, la compétence du tribunal de grande instance le plus important du ressort est retenue.
Par ailleurs, en application de la loi n° 95-125 du 8 février 1995 relative à l'organisation des juridictions et à la procédure civile, pénale et administrative, le décret n° 96-157 du 27 février 1996 a précisé les modalités d'organisation des audiences foraines et des chambres détachées des tribunaux de grande instance.
Mais cette réorganisation fonctionnelle trouve rapidement ses limites et seule une restructuration géographique, cartographique, offre la possibilité d'adapter la carte judiciaire aux besoins de notre temps.
Ainsi, depuis 1994, plusieurs décrets sont intervenus pour modifier ponctuellement la carte judiciaire (26). Le décret n° 94-370 du 6 mai 1994 a supprimé les tribunaux de commerce de Tarare et de Villefranche-sur-Saône et créé le tribunal de Villefranche-Tarare (Rhône). Le décret n° 94-378 du 9 mai 1994 a supprimé le tribunal de commerce de Tournus, dont le ressort a été rattaché au tribunal de commerce de Mâcon.
Dans la ligne des orientations fixées par le Premier ministre dans sa déclaration de politique générale du 19 juin 1997, le garde des sceaux a fait connaître son intention de moderniser le fonctionnement du service public de la justice, dont l'évolution de la carte judiciaire constitue un élément essentiel.
Dans cet esprit, par circulaire en date du 1er juillet 1997, il a été demandé aux chefs de cour et aux préfets de poursuivre la consultation sur la carte judiciaire qui avait été initiée par le précédent garde des sceaux puis suspendue pendant la période électorale, et d'ajouter aux interlocuteurs déjà rencontrés les représentants des associations directement concernées par le fonctionnement de la justice.
Par ailleurs, il convient de mentionner l'expérimentation de guichet universel de greffe, où le citoyen peut déposer les pièces de la procédure, accomplir diverses formalités administratives ou divers actes de procédure, même si le contentieux n'est pas jugé sur le lieu où se trouve physiquement implanté ce guichet et où il peut être informé sur l'état d'avancement de sa procédure en cours devant l'une des juridictions concernées, impose aux juridictions une réorganisation de leur fonctionnement et une amélioration de la circulation de l'information qui pourraient être, à terme, source d'amélioration de la productivité. Cette expérimentation, débutée en mars 1998 à Angoulême, Compiègne et Nîmes, sera étendue en octobre 1999 à Rennes et Limoges.
C.- UNE NOUVELLE MÉTHODE INADAPTÉE ET LIMITÉE DANS SES AMBITIONS
En optant pour un mécanisme centralisé, la garde des sceaux s'est largement éloignée de la méthode préconisée par M. Jean-François Carrez, dans son rapport de 1994.
Afin de procéder à de véritables modifications géographiques, une « mission carte judiciaire », placée auprès du directeur des services judiciaires et chargée de conduire des réflexions sur la réorganisation du réseau des juridictions dans le cadre des orientations définies par le garde des sceaux a été mise en place. Installée en avril 1998, cette mission, composée de sept fonctionnaires dirigés par un membre de la délégation à l'aménagement du territoire et à l'action régionale (DATAR), a commencé à fonctionner pleinement à partir de septembre 1998. Elle a établi une méthodologie fondée sur des études de terrain et a mis en _uvre des outils cartographiques élaborés. Par ailleurs, un comité ministériel de la réforme de la carte judiciaire présidé par le garde des sceaux, réunissant les directeurs et les chefs de service du ministère a été créé en septembre 1998. Le programme s'étalera sur cinq ans.
Une priorité a été accordée à la carte des tribunaux de commerce, laissant de côté toute autre catégorie de juridictions. Les premières mesures ont porté au total sur plusieurs dizaines de sites dans les six cours d'appel qui comptent le plus de juridictions consulaires (Caen, Rouen, Dijon, Montpellier, Poitiers et Riom). Des consultations avec les élus des régions concernées ont été organisées. Les décisions reposent notamment sur la prise en compte des bassins d'emploi, du cadre de vie et de l'importance des réseaux de communications. 5 millions de francs avaient été provisionnés dans le budget 1999 pour financer les premières mesures.
Celles-ci sont intervenues avec le décret n° 99-659 du 30 juillet 1999 portant suppression de 36 tribunaux de commerce dans 8 cours d'appel et le décret n° 99-660 du 30 juillet 1999 modifiant le décret n° 91-692 du 18 juillet 1991 fixant le nombre des juges et le nombre des chambres des tribunaux de commerce, le nombre des assesseurs des chambres commerciale des tribunaux de grande instance du Bas-Rhin, du Haut-Rhin et de la Moselle et le nombre des juges élus des tribunaux mixtes de commerce des départements outre-mer. Ainsi, un tribunal a été supprimé dans la cour d'appel d'Amiens, un dans la cour d'appel de Bourges, 7 dans la cour d'appel de Caen, 7 dans la cour d'appel de Dijon, 6 dans la cour d'appel de Montpellier, 3 dans la cour d'appel de Poitiers, 5 dans la cour d'appel de Riom et 6 dans la cour d'appel de Rouen. Deux décrets, publiés le 7 décembre 1999 au Journal officiel, ont prévu les modalités du reclassement des greffiers des tribunaux concernés, ainsi que les modalités de conciliation pour le rachat des offices entre greffiers.
Aucun critère a priori et automatique n'a été défini. La mission s'est cependant fondée, pour faire ses propositions, sur quelques indices. Le premier est constitué par le volume statistique d'activité. Aucune norme n'a été fixée. Certains tribunaux méritent, en effet, d'être maintenus pour des raisons d'aménagement du territoire. Ainsi, nous sommes passé de quatre à deux tribunaux de commerce en Aveyron. Parmi ces deux derniers, l'un, celui de Millau, pouvait apparaître, compte tenu de son niveau d'activité, superfétatoire. Or, les liaisons entre cette ville et le chef-lieu du département, Rodez, sont difficiles et traditionnellement, Millau se tourne plus volontiers vers Montpellier, et Rodez vers Toulouse. Ont été ainsi supprimés Espalion et Saint-Affrique.
La proximité géographique entre deux tribunaux a aussi été prise en compte. Pas plus que le niveau d'activité, ce critère n'a pas été utilisé de manière dirimante. Ainsi, de ce point de vue et compte tenu de l'existence d'un tribunal à Montpellier et à Béziers, le maintien du tribunal de commerce de Sète ne se justifiait pas. Mais l'activité particulière de ce tribunal, en liaison avec l'activité du port de la ville, et malgré la petitesse de son ressort terrestre, légitimait son existence. La même question s'est posée dans le ressort de la cour d'appel de Rouen, avec l'existence sur 130 kilomètres de côtes de 5 tribunaux de commerce : Le Havre, Fécamp, Saint-Valéry-en-Caux, Dieppe, et Le Tréport. Il a été décidé de supprimer les moins actifs, à savoir Fécamp et Saint-Valéry-en-Caux. Avant la modification de la carte, il y avait 9 tribunaux de commerce en Seine-Maritime. Celui de Gournay-en-Bray a été supprimé et rattaché à Neufchâtel-en-Bray. Il aurait pu y avoir des options plus ambitieuses, allant jusqu'à n'en retenir que trois : Le Havre, Rouen, et Dieppe. Le critère de la proximité géographique se fond avec la logique de pays. Cette logique se construit réellement, lorsqu'il existe une tradition historique. C'est le cas de la Bray en Seine-Maritime, dont l'existence a justifié le maintien du tribunal de commerce de Neufchâtel.
En outre, et pour la première fois, a été créé un tribunal de commerce interdépartemental. Ce type de solution n'est valide qu'au sein d'une même cour d'appel. Eu égard aux critères susmentionnés, 4 tribunaux de commerce étaient condamnés à disparaître dans le sud du Calvados et le nord de l'Orne : Falaise, Condé-sur-Noireau, Vire et Flers, tous distants d'une trentaine de kilomètres les uns des autres. L'existence de frontières départementales justifiait même l'existence de deux tribunaux à 10 kilomètres de distance l'un de l'autre. La logique eut été de tout supprimer et de tout ramener vers les chefs-lieux des départements. Mais l'unanimité s'est fait contre cette rationalisation potentielle. L'ensemble de l'activité des quatre juridictions a été réuni sur une seule, le tribunal de commerce de Condé-sur-Noireau, placé dans une situation centrale.
Un second décret devrait être pris dans le premier semestre 2000. De la même façon, il concernera uniquement les tribunaux de commerce. Les choix s'avéreront plus difficiles, car les tribunaux concernés ont une taille plus importante, et sont donc moins manifestement superflus. Un cas comme celui du tribunal de commerce de Saint-Tropez s'avère particulièrement intéressant. En effet, du point de vue de son activité, il apparaît parfaitement viable, en raison notamment d'une très forte activité saisonnière, marquée par de très nombreuses créations d'entreprises à l'espérance de vie modérément longue. Mais, le ressort du tribunal se révèle extrêmement étroit ; il ne concerne, en effet, que treize communes. Cette proximité entre les juges et les justiciables pourrait apparaître excessive, et ce d'autant plus qu'il existe un autre tribunal de commerce à Fréjus, distant d'environ 25 kilomètres et qui connaît le même genre d'activité. Il n'existe pas dans ce cas d'argument de spécialisation, comme dans le cas de Sète. Le maintien des deux tribunaux n'apparaît pas optimal.
Un autre exemple, celui des Bouches-du-Rhône, illustre parfaitement les difficultés qui se posent. La zone de l'étang de Berre se trouve placée dans le ressort de pas moins de quatre tribunaux de commerce : Marseille, Salon-de-Provence, Aix-en-Provence et Arles. Le tribunal de commerce de cette ville n'a compétence que pour un seul quai, situé à Port-Saint-Louis-du-Rhône. Quel avantage le justiciable peut-il trouver à cette situation ? Le statu quo apparaît extrêmement coûteux. Le regroupement de l'ensemble des tribunaux dans celui de Marseille semble satisfaisant d'un point de vue intellectuel, mais le pragmatisme doit l'emporter. Il est donc probable que l'on s'achemine vers la fusion de deux tribunaux seulement. Mais comment justifier, de manière objective, que l'on supprime le tribunal de Salon qui connaît près de 1.000 affaires par an, alors même que l'on maintient celui de Millau qui examine une centaine d'affaires ? L'argument de l'aménagement du territoire, en l'espèce, doit prévaloir.
La mission sur la carte judiciaire s'est récemment penchée sur la carte du ressort de la cour d'appel de Douai, dans laquelle votre Rapporteur a pu se rendre (27). Dans ce cas, comme dans ceux évoqués supra, appliquer de simples critères quantitatifs ne permet pas de résoudre les questions posées. On pourrait aisément réunifier Lille et Roubaix-Tourcoing. Il est probable que la fusion se fera toute seule. Dans le Nord, il existe un tribunal de commerce par arrondissement. Il y en a un à Calais, dont l'activité explose, et un à Boulogne, dont l'activité stagne, en raison des difficultés du secteur de la pêche et du secteur agroalimentaire. La réflexion est en cours. Il paraît dommageable que l'on ait renoncé à s'attaquer à inclure dans la réforme les tribunaux à compétence commerciale. Il faut noter que la création du tribunal de commerce de Douai, bloquée depuis toujours par les Houillères, est extrêmement récente, puisqu'elle date de 1988. Un regroupement avec Béthune pourrait être envisagé. Dans le cas de la cour d'appel de Douai comme dans de nombreux autres, vouloir séparer la réforme de la carte des tribunaux de commerce du reste de la carte judiciaire est une erreur. Il existe, en effet, de grandes inégalités au sein du ressort. Il n'y a ainsi pas de juge des enfants à demeure dans le Cambraisis, région qui connaît pourtant d'énormes problèmes de protection des mineurs en danger ; il n'existe qu'un juge et demi pour l'arrondissement. Dans ce cas, l'enracinement d'un juge des enfants serait nécessaire. En revanche, la concordance entre la carte judiciaire et la carte administrative régionale paraît une bonne chose (28).
À l'aune de ces exemples, on mesure combien il est difficile de conduire une réforme globale, brutale serait-on tenter de dire.
La voie qui a été choisie pourrait être rapprochée grosso modo des procédures mises en _uvre en matière de déclaration d'utilité publique. Des documents et des projets sont publiés ; des alternatives sont proposées ; une consultation de toutes les parties intéressées est organisée. Il reste que ce processus se fait sans le secours de la loi. Or, associer les représentants de la Nation en tant que tels, garants de l'intérêt général, eut été de bonne politique. Le ministère de la justice ne semble pas faire confiance à la loi.
Comme l'a rappelé le sénateur Robert Badinter, lors de l'examen des crédits de la justice pour 2000, « des réflexions, des analyses sont en cours depuis des années, il est temps de passer aux actes. Ce ne sont pas les suppressions de quelques juridictions consulaires en état de survie artificielle - pour ne pas parler d'acharnement thérapeutique - qui suffiront. Je sais que la garde des sceaux y songe, il est temps d'agir. »
La méthode choisie risque de perdre cette réforme, si nécessaire, dans les sables de l'institution judiciaire et des inerties locales, et de coaguler les conservatismes de tout bord. Si la première vague de suppression de tribunaux de commerce a été rendue aisée par le caractère indiscutable des modifications engagées, en revanche, la deuxième phase semble prendre plus de temps, en raison même des plus grandes difficultés à imposer autant de changements dans un laps de temps aussi court. Devenue visible, la réforme globale des seuls tribunaux de commerce fait l'objet de plus nombreuses contestations. Il est clair qu'aucun critère objectif ne peut être défini ; c'était l'erreur du rapport « Carrez », la carte judiciaire ne peut être réformée de manière comptable, à l'aide de seuils d'activité. Par ailleurs, aucune mesure territoriale d'ampleur, massive, ne peut fonctionner et s'inscrire dans la durée ; on risque alors le retour de balancier de la période 1926-1930 ; c'est l'erreur de la méthode « Guigou ».
La méthode semble mauvaise ; l'ambition est limitée. En effet, pourquoi parler de réforme de la carte judiciaire lorsque le Gouvernement ne s'attaque qu'aux juridictions consulaires ? Ce n'est sans doute pas dans ce domaine qu'existent les problèmes les plus préjudiciables au bon fonctionnement de la justice. Il est des cas où certaines suppressions de tribunaux de grande instance mériteraient d'intervenir. Là encore, il convient de procéder étape par étape, pas à pas. Ainsi, certains tribunaux sont prêts à fusionner, à l'exemple de Bar-le-Duc et de Verdun. L'opération serait facilitée par l'existence d'un seul barreau, institution qui est souvent, votre Rapporteur ne craint pas de le souligner, un élément fort d'inertie. De la même façon, il existe, à quelques kilomètres de distance, un tribunal de grande instance à Dinan et un autre à Saint-Malo. Créer un tribunal interdépartemental ne paraîtrait pas, dans ce contexte, totalement absurde.
Il semble particulièrement important d'assurer un suivi de chaque opération. Des solutions transitoires, et qui doivent absolument le rester, telles que des chambres détachées ou des audiences foraines, pourraient accompagner le mouvement. Mais, à terme, la concentration des moyens au service des justiciables, la réduction des effets de dispersion, s'imposent. Il faudrait peut-être commencer par adapter les frontières des cours d'appel aux régions administratives. Est-il logique et de bonne gestion que, par exemple lors des négociations des contrats de plan État-régions dans le ressort de la cour d'appel de Paris, les responsables judiciaires de l'Yonne aient pour interlocuteur le préfet de Dijon, alors que dans le même temps, ceux de Paris dialoguent avec le préfet de la région Île-de-France ? Cet état de fait est source de gâchis et ne peut que nuire à la qualité du fonctionnement de l'institution judiciaire.
Sans réforme véritable de la carte judiciaire, toute réforme entraînera une déperdition de moyens et d'énergie. Le débat sur la proximité emprunte de fausses routes. Le développement des communications, même dans les zones rurales, et des téléprocédures réduit l'enjeu de cette question. Plus que de proximité, le citoyen justiciable est avide de qualité.
Comme en matière d'effectifs, l'injection de moyens, et le coût pour les finances publiques que cela représente, n'est légitime que si elle s'accompagne d'une réorganisation profonde des modes de fonctionnement.
LA NÉCESSAIRE AMÉLIORATION DE LA GESTION DES RESSOURCES HUMAINES
Il serait vain d'aborder la réforme des moyens et de l'organisation des services judiciaires, sans traiter des ressources, au premier rang desquelles se situent les magistrats. Les questions sont multiples : place du juge dans la société, évolution des effectifs, professionnalisation ou ouverture du corps, indépendance et responsabilité, modes de nomination, distinction entre siège et parquet, etc. Des réponses qui seront apportées découleront, ou non, une amélioration du fonctionnement des institutions judiciaires et une meilleure utilisation des ressources.
I.- UN RÔLE SOCIAL EN PLEINE MUTATION
Les magistrats forment un corps particulier. Le texte reproduit dans l'encadré ci-dessus suffit à le démontrer.
LA CONSTITUTION EN CORPS (*) Toute carrière judiciaire commence par la prestation de serment pour laquelle les jeunes professionnels revêtent pour la première fois la robe. C'est une fête interne à la « grande famille judiciaire ». La prestation de serment est toujours une audience solennelle, ce qui signifie que les juges portent pour l'occasion leur costume d'apparat. Lorsqu'il s'agit d'une promotion d'auditeurs de justice, c'est-à-dire de futurs juges qui viennent d'intégrer l'École nationale de la magistrature, parents et photographes sont présents. Il s'agit donc d'une véritable prise d'habit. L'analogie avec la vie religieuse est très marquée ; l'une comme l'autre s'initient par une investiture au sens propre du terme. L'habit crée un homme nouveau au cours d'une véritable initiation. De la même manière que le moine se voit attribuer un nom de profès, le magistrat dans l'exercice de ses fonctions n'est jamais appelé autrement que par son titre ; d'où le goût immodéré des appellations officielles dans les professions judiciaires. Si deux camarades de promotion siègent ensemble l'un au siège, l'autre au ministère public, il est impensable qu'ils s'appellent autrement que par leur titre en se vouvoyant. D'ailleurs, on ne s'adresse au ministère public que par « Monsieur le procureur » ou « Monsieur l'avocat général », même s'il ne s'agit que d'un substitut de base. Tous ces titres sont autant de réinvestitures des acteurs dans leur rôle. Cette règle de l'anonymat trouve une autre application dans le principe de l'indivisibilité du ministère public. À la différence des magistrats du siège, les membres du parquet sont interchangeables ; ils n'agissent en justice que comme représentants anonymes de la société. (*) extraits d'Antoine Garapon, Bien juger, essai sur le rituel judiciaire, Paris, Éditions Odile Jacob, collection « Opus », 1997, pages 94-95. Chaque nouvelle affectation donne lieu à une audience d'installation au cours de laquelle un magistrat est incorporé à sa nouvelle juridiction. Cette cérémonie, qui a disparu de l'Église catholique depuis des décennies, a également lieu lorsqu'un membre du tribunal fait l'objet d'une promotion interne. Là le rite d'initiation est très pur. L'impétrant est d'abord enfermé dans une petite pièce sombre, généralement la salle des témoins. Le président et le procureur désignent alors chacun un membre pour aller le chercher et le conduire à la barre, à laquelle l'impétrant reste seul pour écouter la lecture de son arrêté de nomination donnée par le greffier. Il est ensuite invité par le chef de juridiction à rejoindre sa place à côté du président ou du procureur. Les trois phases du rituel initiatique (séparation, réclusion, réintégration) sont très claires : d'abord écarté de ses pairs, puis reclus dans un endroit sombre, le nouvel arrivé entre en procession dans ses nouvelles fonctions. Aux rites d'intronisation répondent des rites funéraires. À chaque rentrée judiciaire, lors de l'audience solennelle, la mémoire des magistrats décédés pendant l'année écoulée est évoquée dans le plus grand silence. En réalité, on ne quitte jamais vraiment le corps judiciaire et le rite qui consiste à déposer la robe judiciaire sur le catafalque rappelle aux collègues qui l'entourent, également revêtus de la robe, que celle-ci les suivra jusque dans l'éternité. Les v_ux prononcés en début de carrière sont donc bien perpétuels. Ces cérémonies montrent que la profession judiciaire n'est pas une profession comme les autres : plus que d'un métier, il s'agit d'un état. |
La justice a longtemps été reléguée au rang d'une question intellectuellement inexistante. Fustel de Coulanges estimait ainsi que le peuple français n'a jamais donné à son organisation judiciaire qu'une attention distraite. En conséquence, le juge, en tant que figure sociale, n'a fait l'objet d'une véritable réflexion qu'avec la naissance de la Vème République. Pourtant Tocqueville l'avait souligné en son temps : « Tous les peuples, messieurs, doivent s'intéresser à l'histoire et à la constitution de la justice ; car le pouvoir judiciaire est peut-être, à tout prendre, celui de tous qui influe le plus sur la condition journalière de chaque citoyen. (...) Quand je cherche quelles sont les deux classes d'hommes qui ont le plus contribué à former les traits de notre caractère national, je trouve que ce sont les écrivains et les magistrats. (...) Les seconds nous ont légué des m_urs judiciaires, un certain respect de l'indépendance individuelle et un goût persévérant pour les formes et les garanties juridiques, qui nous suit au milieu même des dérèglements des révolutions et de l'indifférence qui leur succède. » (29)
Aujourd'hui, les grands débats de société sont souvent posés à l'occasion de procès retentissants. Le juge est désormais appelé comme arbitre des m_urs, voire de la moralité politique. Le juge n'était censé être que la « bouche de la loi », selon l'expression de Montesquieu dans L'Esprit des lois (livre XI, chapitre 6). Il est devenu, pour le corps social, celui qui dit plus que ce qui est juste, celui qui dit la vérité.
Les magistrats doivent disposer d'un statut qui correspond à leur nouvelle place dans la société. Le marquis de Mirabeau relevait déjà cette nécessité d'assurer un véritable statut au corps des magistrats : « Dans la nécessité (...) d'une disparité indispensable, le plus sûr pour le citoyen est de relever l'état de la magistrature au lieu de l'avilir » (30). Il faut reconnaître leur rôle à sa juste valeur : « (...) n'est-ce rien d'entretenir la concorde entre citoyens, d'assurer l'état des fortunes privées, qui prises ensemble forment la fortune publique, de conserver le dépôt sacré des loix, de représenter la police authentique, de fixer l'état des citoyens ? Je l'ai dit, toute société déclinera toujours en proportion de ce que ces fonctions y seront moins estimées. » (31)
La condition matérielle des magistrats n'est pas à la hauteur de leur importance sociale. Balzac se plaisait déjà à le souligner : « Aujourd'hui le magistrat, payé comme un fonctionnaire, pauvre pour la plupart du temps, a troqué sa dignité d'autrefois contre une morgue qui semble intolérable à tous les égaux qu'on lui a faits. » (32) Dans le même esprit, Benjamin Constant écrivait : « Pour achever de garantir l'indépendance des juges, peut-être faudra-t-il un jour accroître leurs appointements » (33).
Reconnaissance signifie responsabilité. Aujourd'hui, cette responsabilité apparaît limitée en pratique.
Mais le rôle du juge n'est pas celui de rédempteur de la démocratie. Le souci de transparence et de consultation, que la justice ne cesse, à bon droit, d'imposer dans la vie sociale et économique, doit également la gouverner.
L'histoire de la magistrature pourrait se résumer au trajet d'un navire, qui vogue sans cesse entre deux écueils : la dépendance à l'égard du pouvoir exécutif d'un côté, le corporatisme de l'autre, véritables Charybde et Scylla du corps judiciaire. Et la rencontre avec l'un ou l'autre de ces écueils a entraîné nombre de naufrages. De ce point de vue, le maintien du décret du 10 janvier 1935 interdisant aux magistrats toute intervention politique en leur faveur est significatif. C'est pourquoi, il convient d'être particulièrement attentif au recrutement et à la formation des magistrats d'une part, et à leur carrière d'autre part.
A.- L'AUGMENTATION GÉNÉRALE DES EFFECTIFS
Le nombre de magistrats est en progression régulière. Il reste insuffisant. En 1859, Auguste Vivien pouvait relever : « Notre système judiciaire, qui rapproche partout le juge du justiciable et place les garanties d'une bonne justice dans le nombre des juridictions et des membres qui y sont attachés, en proportion de l'importance de chacune, donne au personnel de la magistrature un développement qu'il n'a reçu dans aucun autre pays. La Cour de cassation compte 56 membres, les cours d'appel 937, les tribunaux de première instance 2.498 titulaires et 1.178 suppléants. Les juges de paix sont au nombre de 2.847 assistés chacun de 2 suppléants. 220 tribunaux spéciaux non rétribués connaissent des affaires de commerce et renferment 1.002 juges titulaires et 660 suppléants. 4.238 greffiers et commis sont rétribués par l'État dans tous les sièges de judicature. Le nombre total des membres des cours et tribunaux est de 14.872, celui des citoyens contribuant à divers titres à l'administration de la justice de 19.110 dont 10.576 ayant part au budget. Cette nomenclature ne comprend pas encore un certain nombre de commis de greffes qui ne sont pas salariés par le trésor ; elle ne comprend pas non plus les conseils de prud'hommes au nombre de plus de 60, les juridictions administratives et les tribunaux militaires et maritimes. » (34)
En 1914, le nombre de magistrats s'élevait à 5.930. Il est tombé à 4.562 en 1939 et à 4.132 en 1957. Aujourd'hui, le corps accueille 6.500 magistrats. L'Athènes antique, dans sa période classique, en avait 6.000. L'Italie contemporaine en a plus de 9.000.
La loi de programme du 6 janvier 1995 relative à la justice a marqué un progrès considérable. Elle avait prévu d'augmenter les effectifs disponibles de 300 magistrats et de 80 magistrats exerçant à titre temporaire (en équivalent temps plein).
Sur la période 1995-1999, le renforcement des effectifs de magistrats devait s'effectuer de façon régulière avec un effort plus soutenu sur la première année. L'objectif annoncé était de renforcer les effectifs des cours d'appel pour leur permettre d'absorber leur retard, de créer des emplois de magistrats du parquet afin de faire face à de nouvelles activités ou à de nouvelles procédures, telles la médiation et la transaction, de créer des emplois de juge de l'application des peines afin de limiter la récidive, de favoriser les mesures alternatives à l'incarcération et de créer des emplois de juge des enfants pour augmenter le nombre des mesures préventives d'assistance éducative et mieux suivre l'évolution des jeunes délinquants.
La réalisation de la loi de programme est satisfaisante, à l'exception des magistrats à titre temporaire. Seuls 64 postes temporaires ont été créés sur les 80 prévus initialement.
EXÉCUTION DE LA LOI DE PROGRAMME EFFECTIFS DES SERVICES JUDICIAIRES (1995-2000) |
|||||||||
Mesures prévues |
Loi de finances initiale 1995 |
Loi de finances initiale 1996 |
Loi de finances initiale 1997 |
Loi de finances initiale 1998 |
Loi de finances initiale 1999 |
Loi de finances initiale 2000 |
Total sur 6 ans | ||
Mesures relatives aux emplois |
|||||||||
- magistrats |
300 |
60 |
60 |
30 |
70 |
80 |
- |
300 | |
- fonctionnaires |
|||||||||
· Créations budgétaires (1) |
835 |
23 |
468 |
78 |
230 |
36 |
- |
835 | |
· levée de gel |
185 |
185 |
- |
- |
- |
- |
- |
185 | |
- magistrats à titre temporaire |
80 |
16 |
16 |
- |
16 |
16 |
- |
64 | |
Total emplois |
1.400 |
284 |
544 |
108 |
316 |
132 |
- |
1.384 | |
(dont créations budgétaires nettes) |
(1.135) |
(83) |
(528) |
(108) |
(300) |
(116) |
- |
(1.135) | |
Taux de réalisation (en %) |
100 |
20,29 |
59,14 |
66,86 |
89,43 |
98,9 |
- |
98,9 | |
(1) en net des 101 suppressions d'emplois de fonctionnaires inscrites au titre des économies par révision des services votés en 1995 (- 10), 1996 (- 22) et 1997 (- 69). | |||||||||
Source : ministère de la justice. | |||||||||
Au-delà de la loi de programme, la loi de finances pour 2000 a prévu la création de 212 postes de magistrats supplémentaires :
· 48 postes de juges de la détention provisoire ;
· 100 postes pour l'introduction de la mixité dans les tribunaux de commerce ;
· 25 postes dans les tribunaux pour enfants ;
· 4 emplois de magistrats pour la réforme du Conseil supérieur de la magistrature ;
· 1 emploi pour la réforme de l'état civil à Mayotte ;
· et 34 emplois de magistrats pour le renforcement des services.
La loi de finances pour 2000 ne prévoit aucune création de postes de magistrats temporaires.
Si la progression du nombre des postes budgétaires est satisfaisante, il convient de la mettre en rapport avec les effectifs réels de magistrats et préciser que, si des efforts plus significatifs ne sont pas réalisés dans les années à venir, l'évolution défavorable de la pyramide des âges ne sera pas inversée.
ÉTAT DES EFFECTIFS DE MAGISTRATS (1) (au 1er septembre 1999) | ||||||
1991 |
1995 |
1996 |
1997 |
1998 |
1999 | |
A. Magistrats occupant un poste budgétaire : |
6.021 |
6.414 |
6.423 |
6.441 |
6.510 |
6.790 |
B - Magistrats en détachement |
174 |
231 |
223 |
240 |
232 |
266 |
C - Magistrats en congé de longue durée |
12 |
18 |
9 |
4 |
7 |
9 |
D - Magistrats en congé parental |
22 |
19 |
23 |
25 |
22 |
17 |
E - Magistrats en disponibilité |
54 |
71 |
73 |
80 |
70 |
77 |
F - Magistrats en activité |
5.759 |
6.075 |
6.095 |
6.062 |
6.179 |
6.421 |
G. Magistrats maintenus en activité en surnombre |
224 |
110 |
91 |
110 |
92 |
82 |
H. Effectifs réels des magistrats en activité (F+G) |
5.983 |
6.185 |
6.186 |
6.202 |
6.271 |
6.503 |
Effectifs budgétaires |
6.092 |
6.198 |
6.258 |
6.287 |
6.357 |
6.502 |
Postes vacants (2) |
330 |
133 |
187 |
195 |
215 |
147 |
(1) y compris les magistrats d'administration centrale et inspecteurs des services judiciaires. | ||||||
(2) postes vacants = effectifs budgétaires - magistrats en activité + ajustements liés aux emplois à temps partiel. | ||||||
Source : d'après ministère de la justice. | ||||||
Il convient de relever que le nombre de magistrats en position de détachement est relativement important, même s'il est extrêmement faible au regard de la situation dans les juridictions administratives. Quant aux mises à disposition, 46 magistrats étaient placés dans cette position en 1999, soit moins de 1 % du nombre des magistrats de l'ordre judiciaire. Elle constitue en droit une modalité de la position d'activité. Elle permet l'accueil de magistrats au sein de structures extérieures.
19 magistrats sont ainsi affectés auprès d'organismes extérieurs, tels que la mission interministérielle de lutte contre la drogue et la toxicomanie, la délégation interministérielle aux professions libérales, la mission interministérielle d'enquête sur les marchés publics ou encore l'Institut des hautes études de la sécurité intérieure. 13 magistrats sont mis à disposition de la présidence de la République et de cabinets ministériels. 7 magistrats exercent à l'étranger, au Conseil de l'Europe par exemple, à l'Institut européen d'administration publique et auprès de missions et représentations permanentes françaises. Enfin, 7 magistrats exercent les fonctions de magistrat de liaison, mis à disposition du ministère des affaires étrangères pour servir, sous l'autorité des ambassadeurs de France en Italie, en Espagne, en République fédérale d'Allemagne, au Royaume-Uni, en République tchèque, aux Pays-Bas et aux États-Unis.
La politique de recrutements accrus doit s'accompagner d'une amélioration de la gestion des effectifs. En effet, il ne faut pas se contenter d'augmenter les moyens, il faut, d'abord, améliorer la productivité. Dans son discours devant les élèves de l'École nationale de la magistrature, le chef de l'État relevait cette nécessité : « Il est souhaitable que se généralise dans toutes les juridictions un suivi de l'activité des magistrats, sur la base d'indicateurs transparents et fiables, tenant compte, bien sûr, de l'évolution des moyens mis à votre disposition. Des objectifs doivent être définis. Des échéances fixées. Comme d'autres services publics, la justice doit entrer à son tour dans une logique d'évaluation. »
Désormais, depuis la fin de 1997, les localisations des emplois créés dans la loi de finances sont annoncées aux chefs de cour par voie de circulaire précisant les critères quantitatifs et qualitatifs retenus pour la répartition de la ressource entre les juridictions, à l'exemple de la productivité par magistrat et par cour d'appel. À cette occasion, il est rappelé aux chefs de cour que ces efforts en matière de créations d'emploi doivent avoir pour corollaire une réorganisation des méthodes de travail, afin d'obtenir une utilisation optimale de ces moyens supplémentaires.
La mise en place de magistrats placés auprès des chefs de cour, depuis 1987, pour remédier aux vacances d'emplois et aux divers congés, est un autre moyen de donner de la souplesse dans les affectations de magistrats, entre les juridictions en fonction de leur charge de travail réelle. Leur nombre, passé de 109 en 1995 à 139 en 1998, s'ajoute à celui des magistrats maintenus en surnombre. En 1999, le nombre de magistrats placés a été porté à 154. Il convient de relever que le coût des magistrats en surnombre s'est élevé à environ 34,4 millions de francs en 1999.
La mise en place des magistrats exerçant à titre temporaire prévue par la loi organique n° 95-64 du 19 janvier 1995 relative au statut de la magistrature et la loi de programme n° 95-6 du 6 janvier 1995, est également destinée à assouplir la gestion des effectifs de magistrats. Entre 1995 et 1998, 48 postes de magistrats à titre temporaire ont été ouverts par les lois de finances. 16 nouveaux postes ont été ouverts par la loi de finances pour 1999. 4 candidats sont en cours de nomination, tandis que 24 autres dossiers sont en cours d'instruction.
Par le biais de ces différentes mesures, le taux de vacance prévu pour la fin de l'année 1999 est de 2 %. Il s'élevait à 2,6 % à la fin de l'année 1996. À titre de comparaison, le taux de vacance prévisible au 31 décembre 1999, pour les fonctionnaires de greffe, s'établit à 2,43 %. Mais ces chiffres ne semblent pas avoir la rigueur scientifique nécessaire. M. Hubert Haenel, rapporteur spécial des crédits de la justice de la commission des Finances du Sénat, le rappelait lors du débat sur le budget pour 2000 : « Dans les juridictions, la question des vacances de postes constitue l'un des plus importants griefs des magistrats. Lorsque la Chancellerie assure que la gestion des effectifs a été considérablement améliorée et que les vacances d'emplois auraient atteint un niveau incompressible : 0,17 % pour 1999, ce qui correspond à 11 emplois vacants. Qui croire ? » (35) C'est pourquoi, il sera particulièrement intéressant de connaître les résultats du questionnaire que le sénateur Haenel, lors de ce même débat, a promis d'adresser à tous les chefs de cour pour tenter d'évaluer le nombre exact de vacances.
Si les créations supplémentaires de postes de magistrats apparaissent salvatrices, il convient de ne pas sous-estimer l'étendue des besoins actuels et à venir. Le développement des procédures de médiation, telles que proposées par exemple par les membres du groupe de travail sur le droit de la famille, dirigé par Mme Françoise Dekeuwer-Defossez, a des incidences fortes sur le facteur « temps » ; si elles sont souples, ces catégories de « procédures » sont souvent chronophages pour les magistrats qui les conduisent ; les expériences menées dans le cadre des juridictions commerciales l'ont largement montré. L'extension du recours à des procédures souples mais longues obligera nécessairement la Chancellerie à dégager des effectifs de magistrats ; au-delà des gains de productivité toujours possibles, sans nouvelles créations de postes dans les prochaines années, cette évolution risque de conduire à réduire les effectifs disponibles pour des procédures « classiques », qui s'avèrent déjà pourtant elles-mêmes trop longues.
De la même manière, la nouvelle politique de traitement immédiat des cas de délinquance juvénile nécessiterait, dans le cadre de la multiplication des procédures de comparution immédiate, un renforcement significatif du nombre de postes de procureurs.
Alors que le nombre de magistrats est passé de 5.000 en 1975 à 6.500 aujourd'hui, ils ne sont guère plus nombreux aujourd'hui qu'au milieu du XIXème siècle.
Comme l'a rappelé le sénateur Robert Badinter, lors de l'examen des crédits de la justice pour 2000, accroître les recrutements extérieurs permet d'injecter des compétences dans le corps des magistrats et peut pallier, dans une certaine mesure, la nécessité d'organiser des concours exceptionnels. Si la question des rémunérations est réglée - le magistrat recruté à l'extérieur voit son expérience passée traduite en matière de rémunération -, reste celle de l'avancement. En effet, les magistrats recrutés à l'extérieur commencent leur nouvelle carrière comme simples auditeurs de justice. Ils accèdent plus difficilement aux postes de responsabilité. Tant que ce problème ne trouvera pas de solution adaptée, les meilleures compétences ne pourront être attirées dans le corps de la magistrature par les recrutements extérieurs.
Par ailleurs, alors que les contentieux deviennent de plus en plus complexes, le besoin de magistrats spécialisés se fait de plus en plus sentir. L'exemple des pôles financiers le montre suffisamment. Cependant, cette spécialisation n'est pas valorisée par le système d'avancement actuel. En effet, pour avancer dans sa carrière, le magistrat spécialisé d'une section financière sera souvent appelé à exercer des fonctions dans d'autres sections, dans un autre tribunal, ce qui a pour conséquence, d'une part, une perte de compétence pour la section considérée et d'autre part, un sentiment de gâchis pour le magistrat lui-même, qui a consacré plusieurs années à se former dans des matières très pointues. Les mouvements de la carrière interdisent le plus souvent une rentabilisation du temps de formation. Par conséquent, s'investir dans des dossiers implique de renoncer à certains avancements.
La réforme en cours du statut de la magistrature devrait permettre d'améliorer la situation. À ce titre, une provision de 20 millions de francs a été inscrite dans la loi de finances pour 2000, s'ajoutant à celle de 18 millions de francs inscrite dans la loi de finances pour 1999.
B.- LA DIVERSIFICATION DES MODES DE RECRUTEMENT
La nomination des auditeurs suffit à donner un avant-goût de la complexité qui préside à la nomination d'un magistrat. Nous aurons le loisir dans la suite de notre propos d'en expliquer les mécanismes.

La loi organique n° 98-105 du 24 février 1998 portant recrutement exceptionnel de magistrats de l'ordre judiciaire et modifiant les conditions de recrutement des conseillers de cour d'appel en service extraordinaire a autorisé le recrutement de 100 magistrats supplémentaires, dans la limite de 50 postes en 1998 et de 50 postes en 1999. Le recrutement exceptionnel de 90 magistrats exerçant les fonctions de conseiller de cour d'appel a été autorisé en 1998 et, pour le même nombre, en 1999.
En 1998, parmi les cent lauréats, ont été recrutés des avocats, des professeurs, des ingénieurs ou encore des directeurs d'hôpitaux. L'ouverture des concours exceptionnels devait permettrait de combler les 200 postes vacants de magistrats dans les juridictions. Les impétrants ont bénéficié d'une formation relativement courte - notamment pour ceux qui seront nommés dans les cours d'appel - d'une durée de six mois, dont un mois à l'École nationale de la magistrature à Bordeaux et cinq mois de stage pratique en juridiction.
ÉTAT PRÉVISIONNEL DES ENTRÉES | ||
Années |
Sorties prévisibles |
Entrées prévisibles |
1997 |
75 |
123 |
1998 |
63 |
185 |
1999 |
67 |
337 (1) |
2000 |
47 |
300 |
2001 |
56 |
- |
(1) dont 100 par concours exceptionnel, 37 conseillers de cour d'appel en service extraordinaire, 25 détachements judiciaires et 30 recrutements latéraux. | ||
Votre Rapporteur est favorable à l'augmentation du recours au recrutement latéral avec intégration directe (cf. encadré ci-après) afin de conforter les effectifs de magistrats et d'ouvrir cette profession sur davantage de diversité sociale.
LES MODES DE RECRUTEMENT DANS LA MAGISTRATURE L'École nationale de la magistrature (ENM) constitue la voie principale de recrutement des magistrats. Plusieurs modes de sélections sur titres permettent cependant un accès direct à la magistrature. Certaines voies donnent accès à l'exercice permanent des fonctions de magistrat, d'autres à leur exercice temporaire. · Recruter des magistrats à titre permanent - L'École nationale de la magistrature Le recrutement à l'ENM s'effectue principalement par voie de concours. Le premier est ouvert aux étudiants titulaires d'une maîtrise et âgés de moins de 27 ans. Le deuxième est réservé aux fonctionnaires âgés de moins de 40 ans et justifiant de 4 ans de services. Le troisième est ouvert aux personnes n'ayant pas la qualité de fonctionnaires et justifiant de 8 années d'exercice professionnel (article 16 et 17 de l'ordonnance du 22 décembre 1958). En outre, un recrutement sur titre est ouvert aux titulaires d'une maîtrise en droit, âgés de 27 à 40 ans, que quatre années d'activités dans le domaine juridique, économique ou social qualifient pour l'exercice des fonctions judiciaires (articles 18-1 et 18-2 de l'ordonnance précitée). - L'intégration directe Les articles 22, 23, 24 et 40 de l'ordonnance précitée ouvrent la possibilité d'une intégration directe dans les fonctions des différents niveaux hiérarchiques du corps judiciaire aux personnes titulaires d'un diplôme du niveau de la maîtrise et justifiant d'une certaine durée d'exercice professionnel les qualifiant particulièrement pour exercer les fonctions de magistrats. Ces nominations interviennent après avis conforme de la commission d'avancement et, si celle-ci le décide, après accomplissement d'un stage probatoire. - Les concours exceptionnels Ils sont autorisés par loi spéciale à l'exemple de la loi n° 98-105 du 24 février 1998 qui autorise pour chacune des années 1998 et 1999 le recrutement exceptionnel de 100 magistrats. · Recruter des magistrats à titre temporaire - Le détachement judiciaire Les articles 41 à 41-9 de l'ordonnance précitée permettent d'obtenir un détachement judiciaire pour exercer des fonctions du premier ou second grade aux membres des corps recrutés par la voie de l'École nationale d'administration et aux professeurs et maîtres de conférence des universités, justifiant selon le niveau hiérarchique de détachement de 4, 10, ou 12 ans de services en cette qualité. Ce détachement est prononcé après avis conforme de la commission d'avancement, pour une durée de 5 ans non renouvelable. Préalablement à leur prise de fonctions, les détachés judiciaires accomplissent un stage de formation d'une durée de 6 mois. La loi organique détermine également les conditions dans lesquelles les détachés judiciaires, à l'issue de leur détachement, soit réintègrent leur corps d'origine, soit peuvent solliciter leur intégration dans la magistrature. - Les conseillers de cour d'appel en service extraordinaire La loi organique n° 95-64 du 19 janvier 1995 modifiée prévoit la possibilité, jusqu'au 31 décembre 1999, de recruter pour exercer en service extraordinaire les fonctions de conseiller de cour d'appel, des personnes âgées de 50 à 60 ans, titulaires d'un diplôme de niveau maîtrise, justifiant d'au moins 15 ans d'activité professionnelle les qualifiant pour exercer ces fonctions. Ils sont nommés après avis conforme de la commission d'avancement, pour une durée de 10 ans non renouvelable. - Les magistrats exerçant à titre temporaire La loi organique précitée a introduit des dispositions (articles 41-10 à 41-16 de l'ordonnance précitée) permettant ce mode de recrutement. Il a été instauré pour favoriser l'exercice de certaines fonctions judiciaires par des magistrats non professionnels, sans notion de carrière, afin de rapprocher la justice du citoyen, participant ainsi du fonctionnement de l'institution judiciaire. Ces magistrats, qui peuvent exercer les fonctions de juge d'instance ou d'assesseur dans les formations collégiales des tribunaux de grande instance, présentent la particularité de pouvoir continuer l'exercice d'une activité professionnelle concomitamment à l'exercice de fonctions judiciaires. Ce recrutement s'adresse aux personnes âgées de moins de 65 ans, justifiant de 7 années au moins d'expérience professionnelle les qualifiant pour exercer des fonctions judiciaires. Les magistrats recrutés dans ce cadre sont nommés pour une durée de 7 ans non renouvelable. Ces magistrats n'occupent pas un poste budgétaire, ils sont rémunérés sur la base de vacations. |
C.- LA CRÉATION D'ÉQUIPES JURIDICTIONNELLES
Le recrutement massif de nouveaux magistrats ne peut être efficace qu'à condition d'être accompagné d'un renforcement des greffes et de la création de structures susceptibles de soutenir le magistrat dans ses tâches, de plus en plus diversifiées. Ainsi, s'impose la création de véritables équipes juridictionnelles, sur la base, notamment, du recrutement d'assistants de justice, dont il faudra à terme préciser la position administrative et les missions.
1.- LE RENFORCEMENT DES GREFFES
Le renforcement des effectifs de fonctionnaires et l'arrivée dans les tribunaux de nouvelles catégories de personnel, au premier rang desquels figurent les assistants de justice, constitue sans conteste un progrès, permettant aux magistrats de disposer d'une équipe.
ÉVOLUTION DU NOMBRE DE FONCTIONNAIRES DE GREFFE | ||||||||||
1989 |
1990 |
1991 |
1992 |
1993 |
1994 |
1995 |
1996 |
1997 |
1998 |
1999 |
16.416 |
16.467 |
16.839 |
16.928 |
16.916 |
16.903 |
16.926 |
17.392 |
17.460 |
17.669 |
17.819 |
Source : ministère de la justice. | ||||||||||
L'effectif du personnel des greffes judiciaires, agents techniques de catégorie C compris, s'élevait en 1998 comme en 1997 à 19.403 personnes, soit 32 % du total des effectifs du ministère. En 1999, il a atteint 19.589 postes et il atteindra 19.751 postes en 2000, soit une augmentation de 3,4 % depuis 1996.
EFFECTIFS DES FONCTIONNAIRES DES SERVICES JUDICIAIRES (au 1er juillet 1999) | ||
Catégories |
Effectif budgétaire |
Effectif réel (1) (en nombre d'agents) |
Catégorie A |
1.637 |
1.613 |
Catégorie B |
6.395 |
6.581 |
Catégorie C |
11.509 |
11.526 |
Contractuels |
38 |
37 |
Autres administrations |
10 |
10 |
Total |
19.589 |
19.767 |
(1) soit en équivalent temps plein 19.140,12 personnes. | ||
Source : ministère de la justice. | ||
Une bonne administration de la justice exige un renforcement des effectifs des greffes judiciaires. La pénurie des moyens de secrétariat et de documentation aboutit à des situations humiliantes et appauvrit la motivation des jugements, ce qui a souvent pour conséquence la multiplication des pourvois en cassation. Le recours aux assistants de justice ne saurait suffire.
Il convient de relever que le nombre de fonctionnaires des greffes par magistrat, hors personnel technique de catégorie C, est relativement stable sur la décennie : il était de 2,81 fonctionnaires pour 1 magistrat en 1989 ; en 1999, ce ratio s'élève à 2,82.
2.- ASSISTANTS DE JUSTICE ET ASSISTANTS SPÉCIALISÉS
a) L'accroissement continu du nombre d'assistants de justice
La loi n° 95-125 du 8 février 1995 relative à l'organisation des juridictions, en son article 20, avait prévu le recrutement d'assistants de justice afin de donner aux juges les moyens de se consacrer aux tâches essentielles qui ressortissent directement de leur compétence, en leur apportant le concours de collaborateurs de haut niveau pour assurer les travaux préparatoires à la décision, effectuer des recherches et rédiger des notes juridiques dans les tribunaux d'instance, les tribunaux de grande instance et les cours d'appel.
Les assistants de justice sont recrutés pour une durée de deux ans renouvelable une fois, parmi les personnes titulaires d'un diplôme sanctionnant quatre années d'études supérieures en matière juridique et que leur compétence qualifie particulièrement pour exercer ces fonctions.
203 assistants de justice ont été recrutés pour 7,2 millions de francs en 1996. 100 assistants supplémentaires ont été engagés en 1997 et 220 en 1998. En 1999, un effort particulier pour le recrutement de 400 assistants de justice supplémentaires (15,6 millions de francs) était inscrit dans la loi de finances initiale. La loi de finances pour 2000 développe cette mesure avec la création de 100 postes d'assistants de justice supplémentaires pour un coût marginal de 4 millions de francs.
Les fonctions des assistants se sont diversifiées : recherche de documentation et de jurisprudence, rédaction de notes de synthèse des dossiers, rédaction de projets de décisions ou de réquisitoires, prétraitement du courrier pénal général, tri des dossiers audiencés après loi d'amnistie, proposition de recours aux procédures de médiation-réparation, gestion de la médiation pénale, réalisation des bibles de doctrines ou de jurisprudences, tenue de statistiques, tenue et gestion des bibliothèques et des fonds documentaires...
Une évaluation de la manière dont sont utilisés les assistants de justice, dont la gestion est déconcentrée au niveau des chefs des cours d'appel, est menée. Ces travaux sur l'évolution des métiers de greffe constituent une première étape pour la mise en place d'une gestion qualitative des ressources humaines.
Il apparaît que l'utilisation des assistants n'est pas homogène sur tout le territoire. Pour le juge d'instruction, les obligations de contradictoire impliquent des contraintes particulières, ce qui n'emporte pas la même problématique que pour les magistrats du parquet. Le recours aux assistants de justice est particulièrement bien adapté au travail du parquet. Le magistrat, quotidiennement, doit faire face à un important travail matériel (exemple du recensement des nombreuses victimes dans les affaires d'escroquerie).
À terme, un statut d'assistant de justice, et des perspectives éventuelles d'intégration dans la fonction publique, devront sans doute être créés. Mais il semble prématuré de définir aujourd'hui un cadre rigide pour l'exercice de cette fonction. La souplesse du système permet d'adapter les moyens aux besoins. L'existence des greffiers placés n'est pas aujourd'hui suffisante.
Si votre Rapporteur se félicite de l'assistance apportée par ce nouveau type d'emploi au service public de la justice, il s'interroge sur les garanties qu'il présente au regard de la réalisation de certains actes. En effet, ces emplois ne sont pas permanents et pourraient apparaître comme un « pis-aller budgétaire » au regard du travail accompli, en principe, par les agents de greffe.
L'assistant de justice ne doit pas devenir le judex des temps modernes, qui ne prononce pas de décision juridictionnelle, mais qui effectue l'ensemble des actes préparatoires au jugement, au risque de dessaisir le magistrat des moyens de se prononcer en toute impartialité. Il ne doit pas rédiger de projets d'arrêts. Or, certaines des personnes auditionnées par votre Rapporteur ont souligné que, dans quelques juridictions, les assistants de justice allaient jusqu'à effectuer des mises en état.
b) La création d'assistants spécialisés
Rétablissant l'article 706 du code de procédure pénal, l'article 91 de la loi n° 98-546 du 2 juillet 1998 portant diverses dispositions d'ordre économique et financier modifiant ce code a créé la fonction d'assistant spécialisé. Leur statut a été précisé par le décret n° 99-75 du 5 février 1999 pris pour l'application de l'article 706 de ce code.
Il s'agit de fonctionnaires détachés ou mis à disposition contre remboursement par leur administration (douanes, impôts, concurrence et répression des fraudes, Banque de France...), spécialistes des matières économiques et financières. Ils assistent les magistrats sans pouvoir cependant effectuer le moindre acte de procédure. Les assistants peuvent ainsi analyser des documents comptables, apprécier un budget, analyser les conditions de dévolution d'un marché public, décrypter des montages financiers destinés à permettre la dissimulation de mouvements de fonds frauduleux, analyser des états périodiques adressés au parquet par les mandataires de justice, des rapports établis au cours de l'exécution du plan de redressement ou des opérations de liquidation judiciaire. Ils sont nommés pour trois ans renouvelables. Ils sont soumis au secret professionnel.
La loi de finances initiale pour 1999 avait prévu des crédits de vacations pour la création de 19 postes d'assistants spécialisés. La loi de finances pour 2000 ouvre 34 postes.
Les différentes sections du parquet et de l'instruction des pôles économiques et financiers se sont vues adjoindre des « assistants spécialisés ». Sur les neuf en fonction aujourd'hui à Paris, cinq travaillent pour le parquet, et quatre pour le siège. Trois sont des inspecteurs de la Banque de France, trois des inspecteurs des services de vérification de la direction générale des impôts, deux sont des inspecteurs principaux de la direction générale des douanes, et un vient de la direction générale de la concurrence, de la consommation et de la répression des fraudes. Les magistrats bénéficient ainsi d'une aide considérable. Ils servent d'interface entre le judiciaire et leur administration d'origine par la connaissance qu'ils ont de cette dernière. Ils apportent des compétences extérieures. Inversement, de retour dans leur administration, ils mettront leurs connaissances du système judiciaire au service de leur ministère d'origine, notamment dans la mise en _uvre de l'article 40 du code de procédure pénale.
Il est probable que le recours aux assistants spécialisés diminue celui qui est fait aux experts. Par ailleurs, les commissions rogatoires adressées à la police judiciaire par les juges d'instruction, qui ne seront pas obligatoirement moins nombreuses, mais seront, dans tous les cas, mieux ciblées, en raison du travail préparatoire effectué par les assistants spécialisés. Cette action se traduira, à terme, par des délais moins longs et une efficacité accrue dans le résultat des poursuites.
Le recrutement des juges par concours est absolument démocratique, mais la carrière est politique. La caricature d'un corps de magistrats divisés entre « juges rouges » et « juges aux ordres » mérite d'être dépassée.
III.- LA CARRIÈRE : ENTRE INDÉPENDANCE ET TENTATION CORPORATISTE
Le 3 novembre 1999, le président de la République, dans un premier temps, avait convoqué le Parlement en Congrès, à Versailles, le 24 janvier 2000, pour se prononcer sur le projet de loi constitutionnelle relatif au Conseil supérieur de la magistrature (CSM). La multiplication de textes proposés dans la précipitation par le Gouvernement, le manque de cohérence de ces propositions, le défaut de dialogue avec le Parlement rendaient déraisonnable une réunion du Congrès à cette date. C'est pourquoi le président de la République, soucieux notamment de redonner des chances à une véritable discussion démocratique, a reporté la réunion du Congrès en abrogeant le décret qui le convoquait.
En vertu du troisième alinéa de l'article 89 de la Constitution, pour être adoptée, la réforme devra recueillir la majorité des trois cinquièmes des suffrages exprimés.
La préparation de cette réforme est l'occasion de faire le point sur le déroulement de la carrière des magistrats, et sur le rôle du CSM en particulier. L'objectif affiché est d'accroître l'indépendance du corps judiciaire. Or, nous le rappelions en introduction de cette troisième partie, l'histoire de la magistrature a constamment oscillé entre dépendance à l'égard de l'exécutif et corporatisme frileux.
Afin de mettre un terme aux dérives corporatistes et politiques du Conseil supérieur de la magistrature sous la IVème République, les constituants de 1958 avaient décidé de placer le nouveau Conseil sous l'autorité directe du président de la République. M. François Mitterrand, alors président de la République, l'avait souligné lui-même lors de son discours devant la Cour de cassation, le 30 novembre 1990 : « Faut-il recourir (pour assurer l'indépendance de la magistrature) au grand appareil d'une révision constitutionnelle ? Certains le souhaitent, qui voudraient rompre tout lien avec le chef de l'État ? (...) Mais alors, je vous le demande, qui serait le garant de votre indépendance dans notre République ? Les organisations professionnelles et syndicales ? La corporation ? Sous prétexte de protéger les magistrats contre les abus éventuels du pouvoir politique, toujours soumis au contrôle du Parlement et de l'opinion publique, on instaurerait l'emprise, sur la magistrature, des pouvoirs irresponsables. » Les changements en cours ne démentent pas l'actualité de ce débat et le risque d'une gestion corporatiste du corps n'est pas à exclure.
Le principe de base de la magistrature est l'inamovibilité, ce qui, compte tenu de la diversité des missions juridictionnelles, n'interdit pas l'organisation d'une carrière. Le corps judiciaire est divisé en plusieurs catégories hiérarchiques et en plusieurs fonctions. La combinaison de ces deux classifications détermine le mode de nomination et les conditions d'avancement.
A.- LES MODES DE NOMINATION DES MAGISTRATS : BYZANTINISME ET INERTIES
Le temps est terminé où « le ministre, qui devient grand électeur de la magistrature, peut, sans conseil, sans appui, sans contrôle, selon les hasards de la mort ou de la limite d'âge, disposer des charges les plus hautes comme les plus infimes, en investir à jamais ses amis et ses créatures et ce que son caprice aura décidé d'un trait de plume, par une décision solitaire et spontanée, l'inamovibilité le couvrira de sa garantie tant que vivra le magistrat, peut-être pendant un demi-siècle » (36).
Le même auteur poursuit : « Le système préconisé par tous les amis de la liberté, sans distinction de nuances, pour libérer le pouvoir judiciaire, consiste à enchaîner le pouvoir exécutif, à restreindre ses choix par des présentations obligatoires, à l'enfermer dans des conditions d'ancienneté et de capacité, à lui enlever même en totalité ou en partie le droit de nomination des magistrats (...). Soumettre l'entrée ou l'avancement dans le corps judiciaire à des règles légales, dont nul ne puisse s'écarter serait à coup sûr un progrès notable ». (37) Heureusement, nous n'en sommes plus à ce stade d'interrogation. Mais se sont ajoutées des questions sur la complexité, l'adaptation du système de carrière judiciaire au bon fonctionnement de la justice.
Plusieurs éléments doivent aujourd'hui être pris en compte lorsqu'on examine les modes de nomination et d'avancement des magistrats de l'ordre judiciaire : principe d'inamovibilité et exigence pratique de mobilité, multiplicité des fonctions offertes, polyvalence naturelle et spécialisation accrue, évolution de la pyramide des âges et augmentation des effectifs, diversification des sources de recrutement et unité du corps, transparence et efficacité.
La combinaison de ces différents impératifs et constats conduit à un système de nomination et d'avancement compliqué, troublé par le jeu des différents pouvoirs, et marqué in fine par une réelle inertie, source de dysfonctionnement dans les juridictions.
1.- L'ORGANISATION HIÉRARCHIQUE DE LA MAGISTRATURE
L'organisation hiérarchique du corps judiciaire est fixée par l'ordonnance n° 58-1270 du 22 décembre 1958 portant loi organique relative au statut de la magistrature. Elle résulte principalement des modifications apportées par la loi organique n° 92-189 du 25 février 1992. Elle est précisée par les articles 1er à 17 du décret n° 93-21 du 7 janvier 1993 pris pour l'application de l'ordonnance précitée.
La magistrature est organisée de la manière suivante :
- les auditeurs de justice, « aspirants magistrats » ;
- deux grades, le second, dit « grade II », et le premier, dit « grade I » ; le premier grade est divisé lui-même en deux groupes : le premier dit « groupe I.1 », et le second dit « groupe I.2 ». Chaque grade et chaque groupe est divisé en échelons ;
- une catégorie hors hiérarchie, élargie par la loi organique n° 99-583 du 12 juillet 1999 relative au statut de la magistrature.
La hiérarchie du corps judiciaire détermine, pour partie, les catégories de fonctions pouvant être exercées, comme le montre le tableau suivant.
HIÉRARCHIE ET FONCTIONS JUDICIAIRES | |||
Hiérachie |
Fonctions | ||
|
Hors hiérarchie |
Magistrats de la Cour de cassation, hors conseillers référendaires, premiers présidents et procureurs généraux des cours d'appel, présidents de chambre et avocats généraux à la cour d'appel de Paris et de Versailles, président, premiers vice-présidents et premier vice-président chargé de l'instruction, procureur de la République et procureurs adjoints du TGI de Paris, présidents des TGI d'Aix-en-Provence, Béthune, Bobigny, Bordeaux, Créteil, Évry, Grasse, Grenoble, Lille, Lyon, Marseille, Metz, Mulhouse, Nanterre, Nantes, Nice, Pontoise, Rouen, Strasbourg, Toulouse et Versailles | ||
|
Premier grade |
Second groupe |
6ème échelon 5ème échelon 4ème échelon 3ème échelon 2ème échelon 1er échelon |
Président et procureur de la République d'un TGI hors classe ou à deux chambres, premier vice-président et premier procureur de la République adjoint d'un tribunal de grande instance hors classe, vice-président, premier juge, premier juge d'instruction, premier juge des enfants, premier juge de l'application des peines des tribunaux de grande instance de Paris, Nanterre, Bobigny et Créteil et premier substitut près ces juridictions, président de chambre et avocat général de cour d'appel, conseiller et substitut général aux cours d'appel de Paris et de Versailles, conseiller référendaire à la Cour de cassation, premier substitut à l'administration centrale du ministère de la justice |
|
Premier groupe |
5ème échelon 4ème échelon 3ème échelon 2ème échelon 1èr échelon |
Président et procureur de la République d'un tribunal de grande instance à deux chambres et des tribunaux de première instance de Nouméa et Papeete, président et procureur de la République d'un TGI à une chambre, non classé au second grade, premier vice-président et procureur de la République adjoint d'un tribunal de grande instance hors classe, vice-président, non classé au second grade, d'un TGI, vice-président, non classé au second grade, d'un TGI, chargé du service d'un tribunal d'instance, vice-président d'un TGI, chargé de l'instruction, vice-président d'un tribunal de grande instance, chargé de fonctions de juge des enfants, vice-président d'un TGI, chargé de l'application des peines, conseiller et substitut général de cour d'appel, président d'un tribunal supérieur d'appel et procureur de la République près cette juridiction, substitut chargé d'un secrétariat général à la Cour de cassation, aux cours d'appel de Paris et de Versailles et au TGI de Paris | |
|
Second grade |
10ème échelon 9ème échelon 8ème échelon 7ème échelon 6ème échelon 5ème échelon 4ème échelon 3ème échelon 2ème échelon 1er échelon |
Juge, juge d'instruction, juge des enfants, juge de l'application des peines d'un tribunal de grande instance ou de première instance, juge d'un tribunal de grande instance chargé du service d'un tribunal d'instance, substitut du procureur de la République, juge placé auprès d'un premier président de cour d'appel et substitut placé auprès d'un procureur général de cour d'appel, juge du livre foncier, juge d'un tribunal supérieur d'appel et substitut du procureur de la République près cette juridiction, substitut chargé d'un secrétariat général à la Cour de cassation, aux cours d'appel de Paris et de Versailles et au TGI de Paris, auditeur à la Cour de cassation, substitut à l'administration centrale du ministère de la justice, conseiller référendaire à la Cour de cassation, vice-président d'un TGI, d'un tribunal de première instance ou d'un tribunal supérieur d'appel et vice-président d'un TGI chargé du service d'un tribunal d'instance, non classé au premier groupe du premier grade, président et procureur de la République d'un TGI à une chambre ou d'un tribunal de première instance non classé au premier groupe du premier grade | |
Auditeurs de justice | |||
2.- LES MODES DE NOMINATION ET D'AVANCEMENT
Trois principes peuvent être énoncés.
Pour chaque catégorie du corps judiciaire, le point de départ, qui permet de concilier inamovibilité et carrière, est le même : chaque magistrat se porte candidat à un ou plusieurs postes. En aucun cas, il ne pourra être nommé à un poste qu'il n'a pas demandé, que ce soit en équivalence ou en avancement.
Ce principe est renforcé par un deuxième : le Conseil supérieur de la magistrature intervient pour toutes les nominations de magistrats, quels que soient leur rang et leur fonction, à l'exception notable des procureurs généraux près la Cour de cassation et près les cours d'appel.
Enfin, un troisième principe vient appliquer la disposition constitutionnelle qui fait du président de la République le garant de l'indépendance de la magistrature : tout magistrat est nommé par décret simple du président de la République, à l'exception des fonctions de procureurs généraux près la Cour de cassation et près les cours d'appel qui requièrent un décret en Conseil des ministres.
b) Des modes pratiques de nomination complexes
Une distinction fondamentale se fait entre magistrats du siège et magistrats du parquet. S'y ajoutent des distinctions en fonction du grade et des fonctions. Plus le grade est élevé, plus la fonction est importante, plus le nombre d'acteurs qui interviennent dans la nomination augmente, plus les mécanismes deviennent compliqués.
Pour les premier et second grades, la distinction entre parquet et siège s'avère décisive. Exception faite des emplois de conseillers référendaires à la Cour de cassation et des emplois de substituts chargés du secrétariat d'une juridiction, les emplois du premier et du second grade obéissent aux mêmes règles, retracées dans le schéma ci-après :

S'agissant des procédures de nomination des magistrats placés hors hiérarchie, il faut relever qu'elles sont beaucoup plus complexes. À la distinction entre siège et parquet s'ajoutent une distinction entre niveaux de responsabilité. Ainsi, grosso modo, quatre groupes peuvent être distingués :
- les plus hauts responsables du siège sont nommés sur propositions du Conseil supérieur de la magistrature ;
- les plus hauts responsables du parquet sont nommés en Conseil des ministres, sans intervention du Conseil supérieur de la magistrature, sur propositions du garde des sceaux ;
- les autres responsables du siège sont nommés, sur propositions du garde des sceaux, conformément à l'avis du Conseil supérieur de la magistrature ;
- les autres responsables du parquet sont nommés, sur propositions du garde des sceaux, après l'avis du Conseil supérieur de la magistrature, sans que celui-ci lie l'autorité de nomination.
Pour chaque nomination, le Conseil supérieur de la magistrature s'efforce de retenir plusieurs critères, qu'il a relevé, notamment, dans son Rapport annuel 1997-1998 : la qualité du dossier, la mobilité géographique et fonctionnelle du candidat, la diversification de l'expérience professionnelle, l'ancienneté et le profil du poste. « Dans ses avis et sur les propositions de la chancellerie, le Conseil, afin d'écarter toute forme de favoritisme, notamment politique, s'est efforcé de définir des parcours professionnels clairs. S'il considère qu'il est indispensable de distinguer les magistrats les plus brillants, il est demeuré très vigilant pour éviter toute accélération de carrière qui ne reposerait pas sur des critères exclusivement professionnels. »
Le schéma ci-après récapitule les différentes étapes et procédures de nomination pour les magistrats hors hiérarchie.

c) Des modes pratiques d'avancement tout aussi complexes
Le passage d'un grade à l'autre, et au sein du second grade, d'un groupe à l'autre, de même que la nomination à certaines fonctions imposent d'être inscrit au tableau d'avancement ou sur des listes d'aptitude. Des listes d'aptitude spéciales existent ainsi pour l'accès aux fonctions de président et de procureur de la République du second grade, pour l'accès à la fonction de conseiller de cour d'appel du second grade, ou encore pour la fonction de conseiller référendaire du second grade.
Le tableau d'avancement lui-même possède des rubriques spéciales, au sein desquelles il convient pour un magistrat d'être inscrit pour accéder à certaines fonctions. Il existe ainsi des rubriques spéciales pour :
· les magistrats ayant vocation à l'accès aux fonctions du second groupe du premier grade dans les cours d'appel autres que celles de Paris et Versailles et dans les tribunaux de grande instance autres que ceux de Paris, Nanterre, Bobigny et Créteil ;
· les magistrats ayant vocation à l'accès aux fonctions du second groupe du premier grade dans les cours d'appel de Paris et Versailles, et dans les tribunaux de grande instance de Paris, Nanterre, Bobigny et Créteil ;
· les magistrats ayant vocation à l'accès aux fonctions de premier substitut à l'administration centrale du ministère de la justice ;
· les magistrats ayant vocation à l'accès aux fonctions de conseiller référendaire à la Cour de cassation.
Une commission d'avancement unique, mentionnée à l'article 13-1 de l'ordonnance organique portant statut de la magistrature, organisée en vertu des articles 35 à 36 de ladite ordonnance, se rapproche des organismes paritaires de la fonction publique. Elle est chargée de dresser le tableau d'avancement et les listes d'aptitude. Dans ce dernier cas, elle est étoffée par les membres du conseil d'administration du ministère de la justice qui ne figureraient pas dans la commission d'avancement.
Sa composition est retracée dans le schéma ci-après.

La composition de la commission d'avancement révèle l'importance des organisations syndicales au sein de cet organisme, au risque de voir s'institutionnaliser le corporatisme, comme nous le verrons à propos de la mobilité.
Si les listes d'aptitude sont signées par le premier président de la Cour de cassation, le tableau d'avancement, réalisé une fois par an, est signé par le président de la République. Son processus d'élaboration obéit à une procédure relativement longue, décrite ci-dessous. L'examen des candidatures repose largement sur des fiches d'évaluation remplies par les chefs de cour.

Chaque année, un nombre très important de magistrats est inscrit au tableau d'avancement : 372 en 1990, 548 en 1993, 654 en 1995, 696 en 1997, 799 en 1998 et 1.022 en 1999, alors même que le nombre de postes d'accueil reste grosso modo le même et le nombre d'avancements réalisés par an se rapproche d'une cinquantaine. Ce blocage résulte du vieillissement de la pyramide des âges, qui ne laissera de poser des problèmes dans les années à venir.
L'utilisation des fiches d'évaluation comme base de référence n'est pas très éloignée de celle des fiches de notation dans la fonction publique. Aussi riches que puissent être les rubriques (38), elles ne sont pas remplies de façon satisfaisante pour réaliser une véritable évaluation. Les remarques du chef de cour sont souvent elliptiques ou stéréotypées, et près de 80 % des magistrats disposent d'une évaluation plus ou moins équivalente. La commission d'avancement doit statuer sur cette seule base pour chacun des magistrats qui est présenté ou qui demande son inscription. Or, le dernier rapport d'activité 1998-1999 de la commission d'avancement fait apparaître l'insuffisance évidente des critères d'évaluation. On touche là à la vraie notion de responsabilité, ainsi que nous le verrons infra dans un développement sur l'organisation de celle-ci.
Dès lors que l'évaluation n'est pas sérieuse, l'avancement se fait à l'ancienneté pour la très grande majorité des magistrats, ce qui implique une découverte tardive des insuffisances et des dysfonctionnements créés par le choix d'un candidat inadapté au poste laissé vacant.
3.- UNE SOURCE DE DYSFONCTIONNEMENT DE L'APPAREIL JUDICIAIRE
Au total, la désignation des magistrats semble se rapprocher, par sa complexité, de celle des fonctionnaires de la République vénitienne ou, s'agissant des postes les plus importants, du doge lui-même : le hasard se mêle à des règles compliquées et minutieuses. Le système ne permet pas forcément de nommer les meilleurs magistrats aux postes les plus difficiles. La multiplicité des acteurs favorise une culture de compromis, incompatible avec la nécessité de désigner les juges idoines dans certaines fonctions de responsabilité ou très spécialisées : c'est le moins que notre justice puisse offrir aux justiciables.
La longueur des procédures et leur complexité rendent souvent difficile le comblement d'une vacance de poste dans des délais raisonnables. C'est notamment le cas lorsqu'une proposition du garde des sceaux rencontre un avis défavorable du Conseil. Le poste qui devait être libéré par le candidat de la Chancellerie ne l'est plus, et les nominations en chaîne qui devaient intervenir sont bloquées. Ainsi, le système « se grippe ».
Lorsqu'une vacance de poste se prolonge, notamment dans le cas d'un chef de juridiction, la charge de travail se reporte de manière inévitable sur les membres du tribunal ou de la cour, ce qui ne permet pas aux juridictions de fonctionner de manière optimale.
Nous avons souligné l'importance du Conseil supérieur de la magistrature dans la nomination des magistrats ; complétées par un rôle disciplinaire, les fonctions du Conseil en font l'acteur central de la carrière judiciaire.
B.- LE CONSEIL SUPÉRIEUR DE LA MAGISTRATURE : UN RÔLE CENTRAL
L'examen des modes de nomination des magistrats révèle l'importance et le caractère central du Conseil supérieur de la magistrature. Ce rôle est devenu de plus en plus important au fil des années et des révisions constitutionnelles.
L'administration de la magistrature judiciaire, y compris dans son volet disciplinaire, occupe une place particulière et complexe, au c_ur de l'appareil de l'État. Cette situation résulte, d'une part, d'un phénomène de sédimentation qui s'étend sur un demi-siècle depuis la création du CSM par la Constitution du 27 octobre 1946, et d'autre part, de révisions constitutionnelles régulières.
La loi constitutionnelle du 27 juillet 1993, adoptée par le Parlement réuni en Congrès par 833 voix contre 34, la loi du 5 février 1994 et le décret du 9 mars 1994 ont remanié profondément le Conseil. Le système qui confiait au seul chef de l'État la nomination de l'ensemble des membres du Conseil a été abrogé. Parallèlement, les garanties des membres du ministère public, désormais associés aux activités du Conseil à parité avec les magistrats du siège, ont été ainsi renforcées.
Sous la présidence du président de la République et la vice-présidence du ministre de la justice, le Conseil comprend deux formations : la première est composée de cinq magistrats du siège et d'un magistrat du parquet, élus par leurs pairs ; la seconde est composée de cinq magistrats du parquet et d'un magistrat du siège, également élus par leurs pairs. Un conseiller d'État élu par l'assemblée générale du Conseil d'État, et trois personnalités désignées par le président de la République, le président de l'Assemblée nationale et le président du Sénat, siègent dans l'une et l'autre formations.
La réunion plénière des deux formations du siège et du parquet, présidée par un des seize membres du Conseil élu chaque année, constitue l'organe de réflexion et de coordination de l'institution. Elle est saisie des difficultés d'ordre technique que les formations rencontrent dans l'exercice de leurs fonctions quotidiennes et qui surgissent à l'occasion des nominations ou des procédures disciplinaires. Elle organise les missions d'information en France métropolitaine et outre-mer, ainsi que les missions à l'étranger. Elle examine le rapport annuel.
Le premier conseil, issu de la révision constitutionnelle du 27 juillet 1993, est entré en fonction le 4 juin 1994 et a terminé son mandat le 4 juin 1998. Le deuxième est en fonctions depuis cette date.
Le Conseil supérieur de la magistrature, dans ses formations compétentes en matière de nomination, peut s'appuyer sur un secrétariat administratif propre, dirigée par un secrétaire administratif, qui est obligatoirement un magistrat, placé en position de détachement pour la circonstance, et ayant exercé des activités juridictionnelles pendant au moins sept ans. Contrairement à ce qui a pu se passer sous le précédent septennat (39), le secrétaire du Conseil, nommé par décret du président de la République, sans consultation aucune du Conseil lui-même, a désormais un rôle strictement administratif. Il est seulement chargé d'assurer la logistique du fonctionnement du Conseil.
Il assure les liaisons entre les services de la présidence de la République, du ministère de la justice et avec les délégations étrangères, et avec le monde judiciaire, par exemple avec les magistrats qui demandent une audition devant les membres du Conseil. Il met à jour les candidatures des magistrats qui demandent un poste à pourvoir. Il met à jour de façon permanente la note d'information donnée aux membres du Conseil. Il met en forme le calendrier de travail du Conseil. Il ne participe jamais aux réunions de travail, mais seulement aux réunions préparatoires et aux réunions plénières des formations. Il contresigne le procès-verbal des réunions plénières. Il est assisté dans ces tâches par un secrétaire général adjoint, nommé dans les mêmes conditions que lui.
Le secrétariat de la formation disciplinaire compétente pour les magistrats du parquet est assuré par le secrétaire général du parquet général près la Cour de cassation, tandis que celui de la formation disciplinaire compétente pour les magistrats du siège est assuré par le secrétaire général de la première présidence de la Cour de cassation.
Conformément à l'article 64 de la Constitution, le CSM assiste le président de la République dans son rôle de garant de l'indépendance de l'« autorité judiciaire », terminologie administrative empruntée à la loi des 16-24 août 1790 sur l'organisation judiciaire. Le Conseil constitutionnel a rappelé le caractère constitutionnel de cette indépendance dans sa décision n° 80-119 DC du 22 juillet 1980, dans le cadre de l'examen de la loi portant validation d'actes administratifs : « l'indépendance des juridictions est garantie ainsi que le caractère spécifique de leurs fonctions sur lesquelles ne peuvent empiéter ni le législateur ni le Gouvernement ».
L'article 65 de la Constitution, tel qu'il résulte de l'article 1er de la loi constitutionnelle n° 93-952 du 27 juillet 1993, précise que :
« (...) La formation du Conseil supérieur de la magistrature compétente à l'égard des magistrats du siège fait des propositions pour les nominations des magistrats du siège à la Cour de cassation, pour celles de premier président de cour d'appel et pour celles de président de tribunal de grande instance. Les autres magistrats du siège sont nommés sur son avis conforme.
« Elle statue comme conseil de discipline des magistrats du siège. Elle est alors présidée par le premier président de la Cour de cassation.
« La formation du Conseil supérieur de la magistrature compétente à l'égard des magistrats du parquet donne son avis pour les nominations concernant les magistrats du parquet, à l'exception des emplois auxquels il est pourvu en Conseil des ministres.
« Elle donne son avis sur les sanctions disciplinaires concernant les magistrats du parquet. Elle est alors présidée par le procureur général près la Cour de cassation.
« Une loi organique détermine les conditions d'application du présent article. »
En résumé, tandis que les magistrats du siège relèvent de la cogestion opérée entre le pouvoir exécutif et le CSM, les magistrats du parquet sont aujourd'hui placés dans le cadre d'une gestion confiée au pouvoir exécutif, limitée tout au plus.
a) Les compétences du Conseil à l'égard des magistrats du siège
Le rôle traditionnellement dévolu au Conseil de proposition s'est trouvé notablement accru par le fait que les fonctions auxquelles il s'applique comprennent désormais celles des présidents des tribunaux de grande instance.
S'agissant des conseillers à la Cour de cassation, y compris le premier président et les conseillers référendaires, les chefs de cour et de tribunal de grande instance, le CSM, après audition des candidats, arrête une proposition de nomination. Celle-ci est communiquée aux représentants du président de la République et du garde des sceaux. Puis, elle est transmise au moyen de la procédure dite de la « transparence » aux juridictions, par le biais de la Chancellerie, afin de provoquer, le cas échéant, des réclamations. En dernier lieu, elle est soumise à l'agrément du chef de l'État, conformément à l'article 15 de la loi organique n° 94-100 du 5 février 1994.
Le nombre relativement restreint des postes relevant du pouvoir de proposition, estimé à environ 350, permet au Conseil de retarder la date limite des candidatures jusqu'au dernier moment. Ainsi, pour chaque poste vacant, il tient compte de toutes les demandes dont il est saisi à la date à laquelle il est amené à procéder à l'examen des candidatures.
Pour les autres magistrats du siège, le garde des sceaux a conservé un pouvoir de proposition. Mais il doit recueillir l'avis conforme du Conseil. Rien ne peut se faire sans son aval. Il arrive que le garde des sceaux retire de l'ordre du jour un projet de nomination, afin d'éviter un avis dont il pense qu'il sera défavorable.
Entre le 1er juin 1994 et le 31 mai 1998, le Conseil a été amené à donner 4.041 avis sur les propositions de nomination des magistrats et a proposé lui-même 273 nominations. Sur l'ensemble des propositions, le Conseil a reçu près de 600 réclamations de la part des magistrats.
En matière de discipline, le CSM joue le rôle d'autorité juridictionnelle pour les magistrats du siège. En effet, sous la présidence du premier président de la Cour de cassation, la formation du siège statue comme conseil de discipline des magistrats relevant de sa compétence.

Du 1er juin 1994 au 31 mars 1998, la formation disciplinaire du siège a rendu 13 décisions au fond. Elle a prononcé notamment 7 déplacements d'office, 3 retraits de certaines fonctions, et 3 révocations.
b) Les compétences du Conseil à l'égard des magistrats du parquet
La formation compétente du Conseil, dont l'existence remonte à la révision constitutionnelle du 27 juillet 1993, se borne à émettre un avis simple sur les projets présentés par la Chancellerie aux emplois de substitut, de procureur, d'avocat général et de premier avocat général à la Cour de cassation. La pratique observée veut qu'en règle générale le garde des sceaux se conforme à l'avis négatif émis. Entre le 1er juin 1994 et le 31 mai 1998, le Conseil supérieur de la magistrature a été amené à donner 1.526 avis sur les propositions de nomination des magistrats du parquet. Les propositions ont suscité plus de 150 réclamations de la part des magistrats.
En revanche, les procureurs généraux sont nommés en Conseil des ministres, sans intervention aucune du Conseil.
Dans le domaine disciplinaire, le CSM, pour les magistrats du parquet, n'est qu'une autorité consultative. La formation du parquet, présidée par le procureur général près la Cour de cassation donne ainsi au ministre de la justice un avis sur les sanctions concernant les magistrats du ministère public.
Du 1er juin 1994 au 31 mars 1998, la formation disciplinaire du parquet a rendu 11 avis au fond. Elle a prononcé 5 avis de déplacement d'office, 3 avis de réprimande avec inscription au dossier, un avis de retrait de certaines fonctions, un avis de révocation, un avis de rétrogradation et avis de non-lieu à sanction.

Le tableau ci-après retrace le nombre de décisions et d'avis rendues par les formations disciplinaires du Conseil. Il révèle une augmentation significative des décisions depuis le début des années quatre-vingt-dix, que ce soit pour les magistrats du siège ou du parquet. Une analyse plus fine des données révèle que ces décisions intègrent 8 révocations de magistrats du siège et 2 avis de révocation de magistrats du parquet. 19 cas ont fait l'objet d'un non-lieu à sanction pour les magistrats du siège. S'agissant des magistrats du parquet, 6 avis de non-lieu à sanction ont été prononcés.
NOMBRE DE DÉCISIONS ET D'AVIS RENDUS PAR LES FORMATIONS DISCIPLINAIRES DU CONSEIL SUPÉRIEUR DE LA MAGISTRATURE (1) |
||||
Années |
Formation du siège |
Formation du parquet |
||
1959 |
3 |
- |
||
1960 |
1 |
- |
||
1961 |
3 |
- |
||
1962 |
3 |
- |
||
1963 |
1 |
1 |
||
1964 |
3 |
- |
||
1965 |
2 |
2 |
||
1966 |
1 |
- |
||
1967 |
- |
- |
||
1968 |
- |
- |
||
1969 |
2 |
- |
||
1970 |
4 |
- |
||
1971 |
1 |
- |
||
1972 |
4 |
- |
||
1973 |
1 |
1 |
||
1974 |
1 |
1 |
||
1975 |
2 |
1 |
||
1976 |
- |
1 |
||
1977 |
2 |
- |
||
1978 |
- |
1 |
||
1979 |
1 |
1 |
||
1980 |
1 |
- |
||
1981 |
1 |
- |
||
1982 |
- |
2 |
||
1983 |
1 |
- |
||
1984 |
- |
- |
||
1985 |
- |
- |
||
1986 |
4 |
- |
||
1987 |
- |
2 |
||
1988 |
1 |
- |
||
1989 |
- |
- |
||
1990 |
2 |
- |
||
1991 |
2 |
2 |
||
1992 |
5 |
1 |
||
1993 |
7 |
3 |
||
1994 |
3 |
2 |
||
1995 |
4 |
5 |
||
1996 |
5 |
1 |
||
1997 |
1 |
4 |
||
1998 |
2 |
1 |
||
1999 |
3 |
4 |
||
Total |
77 |
36 |
||
(1) hors décisions ou avis d'interdiction temporaire. |
||||
Source : secrétariat général du parquet général et secrétariat général de la |
||||
En dernier lieu, on rappellera que le président de la République a toujours la possibilité de recueillir l'avis du Conseil sur un problème touchant à l'indépendance de la magistrature.
3.- LA RÉVISION CONSTITUTIONNELLE : CLEF DE VOÛTE DE LA RÉFORME OU BLANC-SEING ?
Selon la garde des sceaux, le projet de loi constitutionnelle, déposé le 28 avril 1998 sur le Bureau de l'Assemblée nationale et adopté en termes identiques par le Sénat, constituerait la clé de voûte des réformes engagées depuis 1997.
Or, le rapporteur du texte de la commission des Lois de l'Assemblée, M. Jacques Floch, l'affirmait lui-même, et votre Rapporteur se rallie à cette formule : « Sans être la clef de voûte de la réforme de la justice, le projet de loi constitutionnelle est un texte fondamental » (40). Sur cette base, il n'est pas question d'en faire l'alpha et l'oméga de l'ensemble des projets en cours de discussion ou à venir, sans lequel il ne serait pas possible de réformer notre appareil judiciaire.
Le texte ouvre seulement la voie vers l'autonomie des magistrats du parquet par rapport au pouvoir exécutif, en modifiant leur mode de désignation. Comme nous l'avons vu, le CSM, à l'heure actuelle, n'est pas consulté lors de la nomination des procureurs généraux et rend un simple avis sur celle des procureurs. Le projet conduirait le CSM à rendre des avis conformes, non seulement pour la nomination des magistrats du siège, mais également pour celle des magistrats du parquet.
Pour éclairer notre propos, nous reproduisons ci-après le tableau figurant dans le rapport de notre collègue Jacques Floch.
ATTRIBUTIONS DU CONSEIL SUPÉRIEUR DE LA MAGISTRATURE | ||||
1946 |
1958 |
1993 |
Projet de loi constitutionnelle | |
Nominations |
- Nomination de magistrats du siège par le président de la République en Conseil supérieur de la magistrature |
- Propositions pour les nominations des magistrats du siège de la Cour de cassation et de premier président de cour d'appel - Avis sur les propositions du ministre de la justice pour les autres magistrats du siège |
- Propositions pour les nominations des magistrats du siège de la Cour de cassation, de premier président de cour d'appel et de président de tribunal de grande instance - Avis conforme pour les nominations des autres magistrats du siège - Avis pour les nominations concernant les magistrats du parquet, à l'exclusion des emplois de procureur général près la Cour de cassation ou près une cour d'appel pourvus en Conseil des ministres |
- Propositions pour les nominations des magistrats du siège de la Cour de cassation, de premier président de cour d'appel et de président de tribunal de grande instance - Avis conforme pour les nominations des autres magistrats du siège - Avis conforme pour les nominations concernant les magistrats du parquet |
Discipline |
- Assure la discipline des magistrats du siège |
- Statue comme conseil de discipline des magistrats du siège |
- Statue comme conseil de discipline des magistrats du siège - Avis sur les sanctions infligées aux magistrats du parquet |
- Statue comme conseil de discipline des magistrats du siège - Statue comme conseil de discipline des magistrats du parquet |
Source : M. Jacques Floch, Rapport fait au nom de la commission des lois constitutionnelles, de la législation, et de l'administration générale de la République sur le projet de loi constitutionnelle (n° 855) relatif au Conseil supérieur de la magistrature, Assemblée nationale, XIème législature, document n° 930, page 17. | ||||
Parallèlement, il modifie la composition du Conseil ; les magistrats, majoritaires depuis la révision de 1993, deviendront minoritaires. Pour éclairer les changements successifs, nous reproduisons ci-après, avec quelques modifications dues au Sénat, le tableau figurant dans le rapport de notre collègue Jacques Floch sur le projet de loi constitutionnelle.
COMPOSITION DU CONSEIL SUPÉRIEUR DE LA MAGISTRATURE | ||||
1946 (12 membres) |
1958 (11 membres) |
1993 (12 membres) |
Projet de loi constitutionnelle (21 membres) | |
Président |
Président de la République |
Président de la République |
Président de la République |
Président de la République |
Vice-président |
Garde des sceaux |
Garde des sceaux |
Garde des sceaux |
Garde des sceaux |
Membres |
- 6 personnalités élues par l'Assemblée nationale - 4 magistrats élus par leurs pairs |
- 9 membres désignés par le président de la République |
- 1 conseiller d'État désigné par le Conseil d'État - 3 personnalités désignées, respectivement, par le président de la République, le président de l'Assemblée nationale et le président du Sénat - 6 magistrats désignés par leurs pairs (5 du siège et 1 du parquet pour la formation compétente à l'égard des magistrats du siège ; 5 du parquet et 1 du siège pour la formation compétente à l'égard de ceux du parquet) |
- 1 conseiller d'État désigné par le Conseil d'État - 6 personnalités désignées, respectivement, à raison de deux, par le président de la République, le président de l'Assemblée nationale et le président du Sénat - 4 personnalités désignées conjointement par le vice-président du Conseil d'État, par le premier président de la Cour de cassation et par le premier président de la Cour des comptes - 5 magistrats du siège et 5 magistrats du parquet désignés par leurs pairs |
Source : d'après M. Jacques Floch, Rapport fait au nom de la commission des lois constitutionnelles, de la législation, et de l'administration générale de la République sur le projet de loi constitutionnelle (n° 855) relatif au Conseil supérieur de la magistrature, Assemblée nationale, XIème législature, document n° 930, page 16. | ||||
Revendiquer une majorité de magistrats dans l'institution chargée de désigner les magistrats n'est pas légitime en soi. D'une manière générale, spécialisation et démocratie ne sont pas nécessairement liées lorsque la matière considérée concerne le plus grand nombre, ce qui est le cas du fonctionnement du système judiciaire. Aristote, dans sa défense de la démocratie, dissocie ainsi compétence technique et légitimité à juger : « Le fabricant ne saurait être ni le seul ni le meilleur juge, dans la mesure où ceux qui ne sont pas des techniciens ont aussi à connaître des produits : connaître d'une maison, par exemple, ce n'est pas seulement le fait de celui qui la construit, mais celui qui s'en sert en juge mieux (...) ; de même est-il du pilote par rapport au charpentier pour le gouvernail, et dans le cas du festin, c'est le convive et non le cuisinier qui jugera le mieux ». (41)
La modification de la composition du CSM, en rendant les magistrats minoritaires, ne ferait pas pour autant disparaître tout risque de corporatisme. L'inscription même sur le tableau d'avancement pose problème. En effet, le CSM ne peut choisir, pour promouvoir un magistrat, que parmi les personnes inscrites sur le tableau ou les listes d'aptitude. Or, certains spécialistes, tel M. Georges Kiejman, ont souligné que « la promotion des magistrats, essentiellement gérée par le corps lui-même, dépend davantage de considérations syndicales que du prétendu pouvoir des instances politiques » (42).
Allant jusqu'au bout de la logique démocratique, M. Antoine Garapon, secrétaire général de l'Institut des hautes études de la justice, préconise l'institution d'un Conseil supérieur de la magistrature, composé uniquement de non-magistrats. Selon lui, le projet de réforme constitutionnelle n'a qu'une portée symbolique et les juges ne peuvent avoir la prétention de contrôler les citoyens, que dès lors qu'ils ne sont eux-mêmes contrôlés que par des personnes extérieures au corps judiciaire. La composition prévue du CSM n'offre, de ce point de vue, que des garanties limitées. En effet, les membres extérieurs, qu'ils soient majoritaires n'auront pas l'influence escomptée. Quelles que soient leurs compétences et leur volonté, ils ne forment qu'une collection d'individus, désavantagés face à des professionnels qui disposent d'informations au jour le jour et qui pratiquent, de manière naturelle, des alliances avouées ou inavouées. Qui songerait à interdire des personnes qui travaillent dans la même profession de se côtoyer, d'échanger, de se connaître ? Il vaudrait mieux ne pas risquer de créer, selon les termes utilisés par M. Yves Mény, « une société gouvernante close, un milieu incestueux, un système sans respiration démocratique ».
Associées au projet de loi relatif à l'action publique en matière pénale, les modifications incluses dans le projet de loi constitutionnelle risquent d'aboutir à une « balkanisation » de l'application de la politique pénale. Le Sénat a limité ces risques en proposant la création d'un procureur général de la République, nommé pour cinq ans par le président de la République, afin de « veiller à la cohérence de l'exercice de l'action publique et au respect des orientations générales définies par le ministère de la justice ».
Sous peine de conduire au corporatisme pur, le renforcement de l'indépendance des magistrats, et du parquet en particulier, ne peut être acceptable qu'à condition que leur responsabilité soit renforcée. La concentration du débat sur l'indépendance du parquet provient d'une réalité : le surdéveloppement de notre droit pénal et le sous-développement de notre justice civile.
Certains contestent la nécessité de rendre le parquet plus indépendant sur la base de deux principaux arguments.
Selon le premier, les membres du parquet sont des magistrats, mais ne sont pas des juges, dans la mesure où le juge se définit par sa fonction, celle de trancher de litiges, au terme de procès contradictoires, de manière impartiale. C'est cette fonction qui légitime son indépendance. Or, les membres du parquet ne tranchent aucun litige.
En vertu du second argument, il serait erroné de présupposer que les membres du parquet n'exercent aucune fonction politique, mais une fonction juridique. Cela supposerait, en effet, qu'il existe une opposition injustifiée entre la politique, dont il faudrait se défier, et le juridique, qui serait la réalisation d'un droit détaché des passions impures. Il faut reconnaître que leur action relève de la politique, au sens non partisan du terme. En effet, ils disposent d'un pouvoir discrétionnaire essentiel, celui de l'opportunité des poursuites. Les décisions prises dans ce domaine traduisent une politique pénale. Or, dès lors qu'un ministre est contraint de démissionner dès qu'il est mis en examen, on voit quelle influence peut avoir une décision d'ouverture de poursuites.
Néanmoins, une plus grande autonomie des magistrats du parquet est sans doute souhaitable, sous réserve d'une mise en _uvre plus ouverte de leur responsabilité. Cette autonomie existe dans les faits depuis plusieurs années. L'image d'un parquet aux ordres appartient à l'antiquité. Les procureurs bénéficient dans la conduite de l'action publique d'une grande liberté. Tous les substituts disposent des mêmes pouvoirs : ils peuvent faire appel d'un jugement, ouvrir une information ou saisir un juge de faits nouveaux, de son propre chef, même contre l'avis de leur procureur. Ils peuvent parler librement à l'audience.
Il n'est pas besoin au pouvoir exécutif d'agir directement sur les carrières. Un cloisonnement trop strict peut pousser le pouvoir exécutif à rechercher des moyens d'influence plus discrets. Sans aller jusqu'à la caricature de la hiérarchie judiciaire répétée sous la plume de Balzac, qui dépeint des hauts magistrats soucieux uniquement de leur avancement, il n'est pas totalement absurde d'imaginer que certains responsables judiciaires s'évertuent à ne pas déplaire au pouvoir exécutif, en influençant telle ou telle nomination, sans que ce dernier ne le demande expressément. Ce n'est pas autre chose que M. Gilles Sainati, président du Syndicat de la magistrature, affirme lorsqu'il fait état des plaintes croissantes que son syndicat reçoit de la part de magistrats, en particulier du parquet, sur les pressions exercées par la hiérarchie.
L'exercice d'un devoir d'information de la Chancellerie de l'état d'avancement de chaque dossier, assorti de sanctions disciplinaires en cas de non-respect, tend à laisser penser que l'amélioration de l'indépendance du parquet obtenue d'un côté est niée de l'autre. Le magistrat qui ignorerait les directives de politique pénale, telles qu'elles sont définies par le projet de loi sur l'action publique en matière pénale, serait reprochable, que ce soit au titre de sa carrière ou même sur le plan disciplinaire. Voilà une bien étrange indépendance ! L'indivisibilité du parquet transformée en uniformisation contrôlée s'éloigne assurément de l'indépendance tant réclamée.
Il conviendrait de conserver la tradition républicaine, inaugurée en 1946, de l'égale distance entre le pouvoir politique et le corporatisme. L'effet cliquet, selon l'expression de M. Louis Favoreu, ne devrait pas être contredit. En effet, à partir du moment où les magistrats élus par leurs pairs sont devenus majoritaires au sein du Conseil, depuis la révision de 1993, cet acquis ne devrait pas être remis en cause. Il reste que, plus que l'indépendance du parquet à l'égard de l'exécutif, l'institution d'une séparation très claire entre le siège et le ministère public s'avérerait plus protectrice des droits du justiciable et plus conforme aux orientations de la Convention européenne de sauvegarde des droits de l'homme. Il conviendrait qu'au bout d'un certain nombre d'années d'exercice, chaque magistrat puisse choisir définitivement l'une ou l'autre des deux fonctions. M. Daniel Soulez-Larivière le rappelait : « Ce qui fait problème en France, ce n'est pas vraiment la responsabilité des juges. C'est la confusion entre les fonctions d'accusation et les fonctions de juge, créatrice d'iniquités et d'un brouillage de l'idée de justice dans l'esprit des citoyens. Ce qui pose problème, c'est la confusion de gestion des corps des juges et des procureurs, qui renforce cette illisibilité du système. » (43)
S'agissant de l'organisation proprement dite du CSM, il serait opportun, comme cela avait été proposé en 1991 par la commission des Lois de notre Assemblée, lors de l'examen du projet de loi organique modifiant le statut de la magistrature et qui avait été retiré, que le secrétaire général du Conseil fût nommé par le président de la République sur proposition de ses membres (44).
En tout état de cause, l'indépendance de la justice et son exercice démocratique repose autant, sinon plus, sur la culture du corps judiciaire que sur un arsenal de textes. Le système britannique est là pour le montrer, même si nous avons pu constater que l'Angleterre connaissait des problèmes semblables aux nôtres sur d'autres points.
Le Lord Chancellor, nommé par le Premier ministre, fait fonction de ministre de la justice, sans en avoir le titre. Il dirige près de 12.000 fonctionnaires. Il est responsable de l'administration des cours d'Angleterre et du Pays de Galles. Presque toutes les règles qui, en principe, devraient garantir l'indépendance de la magistrature sont violées.
Ainsi, certains juges de la Cour suprême sont membres du Parlement. D'autres sont nommés à vie par la Reine, sur la recommandation du Premier ministre. Dans la désignation des trente-cinq membres de la Cour d'appel, située à Londres, compétente pour l'Angleterre et le Pays de Galles, le Premier ministre suit les conseils du Lord Chancellor. Parmi ces derniers, douze Law Lords sont choisis par le Premier ministre pour résoudre les appels les plus importants concernant les décisions de l'unique cour d'appel. La Haute Cour, qui juge les affaires les plus importantes, est composée d'une centaine de juge choisis, parmi les barristers et les sollicitors, par la Reine. En pratique, les juges sont choisis par le Lord Chancellor. En résumé, tous les juges sont choisis par l'exécutif, et les juges les plus importants participent au pouvoir législatif. L'exécutif détermine également la rémunération et les conditions de service des juges.
Et pourtant la justice est indépendante. Il serait possible pour le Lord Chancellor de choisir les juges pour des motifs politiques. Mais, aujourd'hui, une telle conduite serait considérée comme un abus de pouvoir. Les nominations s'appuient sur la qualité et la réputation du candidat en tant qu'homme de loi. Le Lord Chancellor entretient un réseau d'informations extrêmement efficace pour sélectionner les candidatures possibles aux postes judiciaire. Ce système de sélection est rendu plus facile parce qu'en Angleterre les meilleurs barristers et sollicitors ont la possibilité de remplir les fonctions du juge à temps partiel, un mois pas an.
L'indépendance est garantie par l'inamovibilité. Un juge de la Haute Cour ou de la Cour d'appel ne peut être révoqué que par une décision des deux chambres du Parlement. Le cas ne s'est jamais produit. Un juge de rang inférieur peut l'être par le Lord Chancellor, pour indiscipline ou incompétence, ce qui ne s'est produit que deux fois depuis 1701. Une charte précise les services qui doivent être rendus par les institutions judiciaires. Elle indique, par ailleurs, comment peuvent être exprimées les doléances en cas de mauvais fonctionnement du système.
Nous sommes aujourd'hui en France dans une période intermédiaire, dans laquelle les juges ne sont plus aussi rigoureusement tenus qu'autrefois par les brides du système continental sans avoir pour autant les servitudes de l'autre système.
L'indépendance complète de la magistrature se rapproche du mythe. La substitution de la justice à la politique comme dernier recours constitue un leurre. Il est inutile de rappeler que, dans une démocratie représentative, la source première de la légitimité reste l'élection. L'élection des juges par les citoyens étant exclue aujourd'hui, si le pouvoir constitutionnel et le législateur accordent une plus grande indépendance aux magistrats, il est sain que la responsabilité de ces derniers puisse être plus facilement mise en _uvre. Il faut éviter que se crée une nouvelle cléricature qui échappe à toute contrôle démocratique. Le fait que certains magistrats désignent spontanément les personnalités qualifiées du Conseil supérieur de la magistrature sous le vocable de « laïcs » ou de « personnalités étrangères » apparaît à cet égard significatif.
C.- RESPONSABILITÉ ET MOBILITÉ DES MAGISTRATS : VÉRITÉS ET CONTRE-VERITÉS
1.- L'ORGANISATION DE LA RESPONSABILITÉ
a) Le régime actuel de la responsabilité des magistrats
Personne ne niera la nécessité pour un magistrat d'être responsable. L'ancien premier président de la Cour de cassation, M. Pierre Truche, l'a récemment fait remarquer : « Pourquoi ces hommes et ces femmes qui ont le pouvoir de condamner quelqu'un pour une faute légère d'imprudence refuseraient-ils qu'on examine leur responsabilité lorsqu'ils commettent des fautes ? »
- Une responsabilité civile et pénale
Aujourd'hui, la responsabilité des magistrats est limitée, mais elle n'est pas inexistante. Elle est largement inspirée par le droit administratif. Ainsi, la loi du 17 juillet 1970, qui organise aux articles 149 et suivants du code de procédure pénale, l'indemnisation des victimes d'une détention provisoire non suivie d'une condamnation, reprend les conditions caractéristiques du préjudice dans la responsabilité administrative sans faute. La loi du 5 juillet 1972, dont les dispositions sont, notamment, inscrites à l'article L. 781-1 du code de l'organisation judiciaire, prévoit la responsabilité de l'État du fait du fonctionnement du service de la justice, sur la base de la faute lourde. L'article précité dispose que : « L'État est tenu de réparer le dommage causé par le fonctionnement défectueux de la justice. Cette responsabilité n'est engagée que par une faute lourde ou un déni de justice.
« La responsabilité personnelle des juges, à raison de leur faute personnelle, est régie par le statut de la magistrature en ce qui concerne les magistrats de l'ordre judiciaire (...)
« L'État garantit les victimes des dommages causés par les fautes personnelles des juges et autres magistrats, sauf son recours contre ces derniers. »
La responsabilité personnelle du magistrat est proclamée par l'article 11-1 de l'ordonnance organique du 22 décembre 1958. Si cette responsabilité se rattache au service public de la justice, elle ne peut être engagée que sur l'action récursoire de l'État, exercée devant une chambre civile de la Cour de cassation.
Il reste qu'il existe plusieurs modalités pour écarter un juge d'une affaire. En premier lieu, un juge peut s'abstenir, conformément aux dispositions de l'article 339 du nouveau code de procédure civile. En second lieu, un juge peut être récusé. La procédure de récusation est définie par l'article L. 731-1 du code de l'organisation judiciaire et précisée par les articles 341 et suivants du nouveau code de procédure civile. Elle n'est admise que pour les causes déterminées par la loi. Enfin, une affaire peut être renvoyée à une autre juridiction pour cause de suspicion légitime, en vertu des articles 356 à 363 du nouveau code de procédure civile, pour cause de récusation contre plusieurs juges ou pour cause de sûreté publique, sur la base des articles 364 et 365 du code précité.
- Une responsabilité disciplinaire
À côté de la responsabilité personnelle et pénale du magistrat, existe une responsabilité disciplinaire, de plus en plus exercée. La procédure disciplinaire a été rappelée supra dans le cadre de la description du rôle du Conseil supérieur de la magistrature. L'action disciplinaire n'est qu'un des régimes de mise en _uvre de la responsabilité des magistrats. Elle s'insère entre la responsabilité pénale en cas d'infraction, qui est celle de droit commun applicable à tout citoyen, et la responsabilité civile sur action récursoire de l'État.
Dans ce cadre, le Conseil supérieur de la magistrature a été amené à s'exprimer sur l'étendue de la liberté d'expression et de l'obligation de réserve. Il a sanctionné les débordements de la vie privée d'un magistrat dans ses fonctions, altérant ainsi l'image de la justice ou compromettant son bon fonctionnement. Il a été également été amené à prononcer des sanctions sévères pour des « dérives financières », à l'exemple de la multiplication par un magistrat de ses participations dans des sociétés commerciales qui, par leur objet, pouvaient être en relation avec l'activité judiciaire. Des insuffisances professionnelles ont été également poursuivies : retards injustifiés dans le traitement des dossiers, refus de rédiger des jugements, recours à des déplacements abusifs et coûteux au mépris d'une bonne gestion des deniers publics, absences non autorisées, méconnaissance délibérée des prérogatives administratives du chef de juridiction... Le Conseil n'est pas sans pouvoir. Les magistrats échappent à l'impunité.
L'exercice de plus en plus fréquent, par le garde des sceaux, de ses pouvoirs de poursuite disciplinaire révèle combien les textes existants suffisent à sanctionner les dérives. Point n'est besoin d'alourdir l'appareil normatif. Il suffit d'appliquer de manière rigoureuse les normes en vigueur et d'élargir leur publicité.
b) Les propositions de réforme
La garde des sceaux a annoncé, le 23 novembre 1999, devant l'Assemblée nationale, en réponse à une question au Gouvernement, que celui-ci proposerait de nouvelles dispositions concernant la responsabilité professionnelle des magistrats.
Aujourd'hui, seul le garde des sceaux peut engager une procédure disciplinaire. Il dispose dans ce domaine d'un pouvoir d'opportunité des poursuites. Il est question d'étendre ce pouvoir aux chefs de cour et de juridiction. Les justiciables eux-mêmes pourraient par le biais d'une commission nationale d'examen des plaintes, comme cela se pratique chez nos partenaires, notamment au Royaume-Uni, dénoncer le comportement d'un magistrat, et leurs réclamations, filtrées par une commission spécialisée, pourraient conduire à des sanctions disciplinaires.
Dans ce projet, on se heurtera inévitablement à la question de la définition de la faute. Elle sera impossible, lorsque la faute est constituée par l'exercice même d'une fonction par un juge qui n'est pas à sa place. Elle sera inutile, lorsque la faute, commise de bonne foi, pourrait être corrigée par un recours juridictionnel. Si la faute relève d'un comportement indélicat, les sanctions existent déjà.
Mais, il ne faut pas se tromper de débat, ou du moins ne pas exclure de vraies questions. Et la responsabilité professionnelle des magistrats doit être au moins aussi grande que leur responsabilité pénale : le juge doit d'abord motiver ses arrêts, il doit expliquer ses décisions et le faire de manière compréhensible, transparente. De ce point de vue, la réalisation et la large diffusion des communiqués de presse jurisprudentiels de la Cour européenne des droits de l'homme est exemplaire. Un juge responsable est d'abord celui qui sait s'extraire de la cabalistique des motivations elliptiques et satisfaire le justiciable dans son désir de compréhension. C'est celui qui est pleinement conscient de rendre la justice au nom du peuple français, dans les règles de l'art. C'est nécessaire pour la légitimité des juges eux-mêmes : « Il y a dans les formes quelque chose d'imposant et de précis, qui force les juges à se respecter eux-mêmes, et à suivre une démarche équitable et régulière. L'affreuse loi, qui, sous Robespierre, déclara les preuves superflues, (...) est un hommage rendu aux formes » (45).
La reproduction ci-après d'un modèle-type de classement sans suite d'une juridiction de taille importante démontre que l'on s'approche plus de la formalité administrative que de l'acte juridictionnel qu'attendent les justiciables :
Auteur : M
N° Substitut :
N° PARQUET :
CLASSEMENT SANS SUITE
11 |
Absence d'infraction/affaire purement civile |
44 |
Carence du plaignant |
21 |
Infraction insuffisamment caractérisée |
45 |
Comportement de la victime |
31 |
Extinction action publique/retrait de plainte |
46 |
Victime désintéressée d'office |
32 |
Extinction action publique/amnistie |
47 |
Régularisation d'office |
33 |
Extinction action publique/transaction |
48 |
Préjudice ou trouble peu important causé par l'infraction |
34 |
Autres cas d'extinction action publique : |
71 |
Auteur inconnu |
341 |
- décès |
||
344 |
- prescription |
||
342 |
- abrogation loi pénale |
||
343 |
- chose jugée |
||
35 |
Immunité |
51 |
Réparation/Mineur |
Irrégularité de la procédure |
52 |
Médiation | |
37 |
Irresponsabilité de l'auteur : |
53 |
Injonction thérapeutique |
- trouble psychique |
|||
- légitime défense, contrainte et force majeure |
|||
41 |
Recherches infructueuses |
54 |
Plaignant désintéressé sur demande du parquet |
42 |
Désistement du plaignant |
55 |
Régularisation sur demande du parquet |
43 |
État mental déficient |
56 |
Rappel à la loi/Avertissement |
81 |
Non-lieu à assistance éducative |
57 |
Orientation structure sanitaire, sociale ou professionnelle sur demande du parquet |
61 |
Autres poursuites ou sanctions de nature non pénale |
PERSONNES À AVISER :
VICTIMES :
AUTRES :
MIS EN CAUSE : LE PROCUREUR DE LA RÉPUBLIQUE
Le caractère lapidaire de la motivation peut sembler d'autant plus regrettable que le classement sans suite, plusieurs interlocuteurs nous l'ont affirmé, peut être utilisé pour réguler les flux contentieux en amont.
En présentant un avant-projet renforçant la responsabilité des magistrats par le biais de procédures disciplinaires plus facilement mises en mouvement, le Gouvernement laisse croire que les magistrats bénéficient aujourd'hui de l'impunité et qu'aucun texte ne permet de les poursuivre efficacement. Benjamin Constant l'avait rappelé : « Je suppose d'ailleurs établies et consacrées (...) la publicité des procédures et l'existence de lois sévères contre les juges prévaricateurs. Mais ces précautions prises, que le pouvoir judiciaire soit dans une indépendance parfaite : que toute autorité s'interdise jusqu'aux insinuations contre lui. Rien n'est plus propre à dépraver l'opinion et la morale publiques, que ces déclamations perpétuelles, répétées parmi nous dans tous les sens, à diverses époques, contre des hommes qui devraient être inviolables, ou devraient être jugés. » (46) Aujourd'hui, le garde des sceaux, informé des faits par les chefs de cours et par l'inspection générale des services judiciaires, a parfaitement les moyens d'engager des poursuites disciplinaires et le CSM, qui prononce la sanction pour les magistrats du siège ou donne son avis dans le cas de magistrats du parquet, n'est pas sans utiliser ses pouvoirs.
En tout état de cause, il convient de mettre à l'actif des derniers gardes des sceaux le renforcement des effectifs de l'Inspection générale des services judiciaires, si nécessaire au développement d'un contrôle du corps et à l'établissement d'éléments objectifs d'appréciation. En 1988, l'Inspection ne comprenait en effet que trois magistrats. En 2000, elle disposera de vingt-deux postes budgétaires.
Il a été annoncé qu'une publicité des sanctions disciplinaires infligées aux magistrats serait organisée. Il convient de relever que le Conseil supérieur de la magistrature a d'ores et déjà ouvert les audiences disciplinaires au public. Si l'article 57 de l'ordonnance du 22 décembre 1958 dispose que le conseil de discipline « statue à huis clos », l'article 6, paragraphe 1, de la Convention européenne des droits de l'homme du 4 novembre 1950 stipule que « toute personne a droit que sa cause soit entendue publiquement par le tribunal qui décidera, soit des contestations sur ses droits et obligations de caractère civil, soit sur le bien-fondé de toute accusation en matière pénale dirigée contre elle ». Plusieurs magistrats poursuivis devant le Conseil en 1995 et 1996 ont demandé la publicité des débats. La formation du parquet dans son avis du 2 juin 1996 a admis cette publicité. La formation disciplinaire du siège a suivi cette voie. Désormais, les audiences sont publiques, sous réserve de l'opposition du magistrat entendu. À cette fin, le président de séance s'est donné pour règle de demander à la personne poursuivie si elle souhaite l'application de la Convention susmentionnée ou entend y renoncer. Il est souhaitable que cette pratique se maintienne telle quelle.
2.- L'ORGANISATION DE LA MOBILITÉ
Pour la garde des sceaux, favoriser la mobilité des magistrats pourrait également limiter les risques d'« abus de position dominante » dans une juridiction. Par principe, il n'est pas bon qu'un magistrat soit immergé trop longtemps dans un même environnement local. Ce que certains ont reproché aux magistrats consulaires peut l'être à certains magistrats professionnels. Mais la progression de la mobilité ne doit pas se faire au prix d'un allongement de la vacance des postes ou d'un amoindrissement du respect du principe d'inamovibilité, qui ne doit pas non plus être synonyme de rente de situation garantie. La mise en place d'une véritable gestion prévisionnelle des emplois devra nécessairement accompagner cette réforme, si elle entre en vigueur.
Mais votre Rapporteur estime qu'il n'est pas bon, dans ce domaine comme dans d'autres, de légiférer à partir de quelques cas d'espèce et parce que certains chefs de juridiction s'accrochent à leur poste, comme s'ils étaient propriétaires d'une charge.
La question centrale est sans doute celle de la conformité d'une limitation du principe d'inamovibilité aux dispositions constitutionnelles. La constitutionnalité d'une limitation à dix ans de la durée des fonctions de conseillers référendaires a été confirmée par le Conseil constitutionnel à plusieurs reprises. Il reste que, selon l'avant-projet présenté par la garde des sceaux, les dispositions proposées iront beaucoup plus loin. Comme le montre l'exemple anglais, l'inamovibilité est, plus que le mode de nomination, le fondement de l'indépendance de la magistrature. Elle était déjà énoncée dans une ordonnance de Louis XI en date du 21 octobre 1467. Compromise un instant pendant la révolution, elle fut rétablie dans la Constitution de l'an VIII. Elle a traversé les commotions de notre histoire sans être sérieusement ébranlée, si l'on fait exception de quelques épurations. Benjamin Constant l'a rappelé : « (...) toute nomination temporaire (...), toute possibilité de révocation, à moins d'un jugement positif, portent d'égales atteintes à l'indépendance du pouvoir judiciaire » (47).
Par ailleurs, votre Rapporteur s'interroge sur les modalités exactes d'application éventuelle de ces dispositions : la limitation dans le temps de certaines fonctions s'appliquera-t-elle aux juges en place ou faudra-t-il attendre cinq ou dix ans pour qu'elle entre en application ? De la réponse à cette question dépendra l'intensité de l'inconstitutionnalité du projet. Ce débat sur les liens entre date d'entrée en vigueur et respect de l'inamovibilité est ancien. Ainsi, Benjamin Constant soulignait que « la Charte de 1814 laissait beaucoup de vague sur l'inamovibilité des juges. Elle ne déclarait inamovibles que ceux que le roi nommerait, sans fixer un terme de rigueur, pour investir de la nomination royale les juges déjà en fonction par l'effet d'une nomination antérieure. Cette dépendance dans laquelle se trouvait un grand nombre d'individus, n'a pas été inutile au ministère d'alors. » (48)
Il convient de relever que le Conseil supérieur de la magistrature, pour sa part, s'efforce, sans base normative explicite, de manière prétorienne, de tenir compte de la mobilité géographique et professionnelle du magistrat, dont il examine la candidature. Il rappelle ainsi, dans son Rapport annuel 1997-1998, à propos de la mobilité géographique et fonctionnelle, qu'il « mesure pleinement les contraintes que peut entraîner cette exigence. Elle s'impose cependant par la nécessité d'un renouvellement professionnel. Les conséquences négatives de la pyramide des âges pour le déroulement harmonieux de la carrière du magistrat ont conduit le Conseil à favoriser un brassage entre fonctions et entre juridictions du premier degré et d'appel. Cette mobilité est également de nature à maintenir la motivation professionnelle du magistrat dans l'intérêt même du justiciable. » L'énoncé de ce principe l'a conduit à instituer, d'une part, « la pratique des deux ans », et d'autre part, « la pratique des dix ans ». Le premier principe, selon lequel il apparaît souhaitable qu'un magistrat reste dans un même poste pendant une durée de deux ans au moins, a été posé de longue date par la direction des services judiciaires et pris en compte par les précédents conseils. Quant au second principe, sa mise en pratique conduit à éviter qu'un magistrat puisse bénéficier d'un avancement au sein d'une même juridiction au delà de dix ans. Ainsi, la magistrature bénéficie déjà de règles saines et suffisantes pour assurer une mobilité minimale en harmonie avec le principe d'inamovibilité.
De la même façon, le dernier rapport d'activité de la commission d'avancement 1998-1999 révèle que la mobilité des magistrats est dès à présent très largement prise en compte dans le déroulement des carrières et que, sans doute, elle présente d'ores et déjà des inconvénients au regard d'une spécialisation poussée. En fin de compte, on croit pouvoir garantir l'indépendance par un autre procédé que l'inamovibilité : le poids des organisations syndicales dans la procédure d'avancement ; nous sommes là très directement en présence d'un risque de dérive corporatiste. On ne fait que changer de dépendance.
On relèvera également la frilosité de la commission d'avancement à l'égard des recrutements extérieurs, telle qu'elle ressort de son dernier rapport d'activité, portant sur la période 1998-1999. Elle reproche ainsi aux candidats à la magistrature un échec professionnel dans une carrière antérieure, alors même que ceux qui ont réussi dans leur métier ne se présenteront pas à l'entrée dans la magistrature. On peut être mauvais dans un métier et bon juriste. Ainsi, un avocat peut être un excellent juriste, sans pour autant maîtriser la composante commerciale de son métier. Chacun a le droit à une seconde chance ; or, c'est là que réside la vraie mobilité.
Au total, on croit répondre aux dysfonctionnements des juridictions par une accentuation de la mobilité, alors même que les défauts se trouvent dans l'inadaptation de la formation initiale et continue et dans l'incurie de l'évaluation. Changer un mauvais juge de poste ou de juridiction ne fait que reporter la charge d'un tribunal à un autre, d'un service à un autre.
3.- LA FORMATION ET L'ÉVALUATION, CONDITIONS DE LA RESPONSABILITÉ ET DE L'INDÉPENDANCE
Un juge responsable est d'abord un bon juge, compétent et impartial. Pour reprendre les termes de M. Daniel Soulez-Larivière, « la responsabilité des juges est faite pour éliminer de la magistrature les paresseux, les scandaleux et les malhonnêtes ».
La formation, en particulier la formation continue, est une question primordiale. Le président de la République l'a souligné, à l'occasion de son discours prononcé pour le quarantième anniversaire de l'École nationale de la magistrature, le 1er octobre 1999, à Bordeaux : « Il convient (...) d'adapter votre formation à l'élargissement de vos missions. Les fonctions qu'un magistrat peut être appelé à exercer au cours de sa carrière sont nombreuses et multiformes. Au-delà de la distinction entre siège et parquet, coexistent en effet, au sein du même corps, des catégories de magistrats très différentes. Quoi de commun, à première vue, entre le juge des enfants, le magistrat affecté dans des sections financières ou anti-terroristes, le juge aux affaires familiales ou le juge d'application des peines ? (...) La formation initiale des futurs magistrats doit être aussi complète que possible, associant théorie et pratique et ouverte aux évolutions de la société. Je sais que des efforts importants ont déjà été accomplis dans ce domaine. Ainsi figurent désormais parmi les cours dispensés à l'École Nationale de la Magistrature des enseignements d'économie, de comptabilité ou de droit européen. Les magistrats du XXIème siècle devront, en effet, être ouverts sur le monde, au fait des expériences étrangères, être à même de suivre les problèmes économiques et sociaux sur le plan européen et international.
« Mais, aussi complète soit-elle, la formation initiale n'est pas tout. Il faut encore que les magistrats aient la possibilité, tout au long d'une carrière souvent longue, de perfectionner et de compléter leurs connaissances. Aussi est-il indispensable de développer la formation continue des magistrats. Des progrès sensibles ont été réalisés au cours des dernières années. Il faut encore amplifier nos efforts pour permettre à l'ensemble du corps judiciaire français d'avancer au même rythme que la société tout entière. »
La question de la formation des magistrats aux questions économiques et financières revêt une importance particulière, parce que, d'une part, le contentieux lié à ces questions a explosé ces dernières années, et d'autre part, les magistrats vont entrer massivement dans les tribunaux de commerce. La création des pôles économiques et financiers va dans le même sens. C'est pourquoi, l'École nationale de la magistrature a mis en place, parallèlement à un cycle de conférences transversales consacrées au rôle du droit dans le fonctionnement de l'économie, aux risques dans l'entreprise ou encore au juge face aux circuits financiers, des ateliers spécifiques relatifs à la gestion de l'entreprise, ainsi qu'un cycle de spécialisation dans ces matières.
L'avènement chimérique du « gouvernement des juges » ne mérite pas d'être proclamé. S'il existait, la magistrature se verrait confier deux fonctions permanentes antinomiques : appliquer les décisions prises par les autres pouvoirs et contrôler ces mêmes pouvoirs. Or, de ce point de vue, il faut bien reconnaître que l'ordre juridictionnel administratif pose au moins autant de questions que les juridictions judiciaires. On ne trouvera pas dans l'ordre judiciaire une élite aussi puissante que le Conseil d'État.
En tout état de cause, l'institution d'une évaluation adaptée des juges constituerait la meilleure garantie d'une magistrature de qualité et adaptée à la diversité des postes à pourvoir. On relèvera ainsi que la commission d'avancement, dans son dernier rapport, constate que « le qualificatif d'"exceptionnel" demeure largement utilisé par certains chefs de cour alors qu'il est flagrant qu'à l'étude des documents d'évaluation, il n'apparaît pas que le magistrat ait fait montre de qualités réellement exceptionnelles par ses travaux, qu'il existe encore, dans un certain nombre d'évaluations, des distorsions entre les appréciations littérales et les grilles analytiques ». Elle regrette par ailleurs « que certains magistrats n'aient pas été évalués ou l'aient été très sommairement parce qu'ils avaient changé récemment de juridiction ou de fonction ». Ces extraits montrent suffisamment combien il est impossible d'instituer une véritable responsabilité de magistrats, sans procédure d'évaluation performante. D'une manière générale, les institutions judiciaires ont besoin de se doter d'une véritable culture de gestion et d'évaluation.
LAISSER CETTE PAGE BLANCHE SANS NUMEROTATIONQUATRIÈME PARTIE
LA REVALORISATION DE LA FONCTION DE GESTION
L'augmentation des effectifs, fut-elle remarquable, ne résoudra pas toutes les questions. On ne sortira pas des problèmes de la justice en recrutant des milliers de juges professionnels. L'exemple italien l'a montré.
I.- UNE ABSENCE DE CULTURE GESTIONNAIRE
Il n'y a pas à proprement parler d'« administration de la justice », il n'y a que des « tribunaux ». Des services extérieurs font toujours défaut au ministère de la justice. La justice est le seul grand service public qui n'ait pas d'administration départementale. Cette situation ne laisse de poser des problèmes de coordination avec les autres services de l'État, y compris avec les services de la protection judiciaire de la jeunesse et avec l'administration pénitentiaire.
Les responsables administratifs sont les chefs de cour au niveau des cours d'appel, et les chefs de juridiction pour chaque tribunal.
Est-il nécessaire que le travail de l'administration centrale soit assuré de manière aussi dominante par des magistrats, qui seraient plus utiles dans les juridictions ?
Les chefs de juridictions sont de moins en moins des juges et de plus en plus des administrateurs et des gestionnaires. Ils se sont vus attribuer, en plus de fonctions de gestion, des responsabilités nouvelles dans le domaine des frais de justice, du contrôle du secteur associatif, de la mise en _uvre de politiques judiciaires publiques, au premier rang desquelles figurent la politique de la ville, l'aide à l'accès au droit avec le fonctionnement des conseils départementaux de l'accès au droit et des maisons de justice et du droit, la médiation, la conciliation, les contrats locaux de sécurité ou les plans État-régions, et ceci sans que des formations initiales ou continues systématiques et particulières aient été prévues.
Depuis la loi de décentralisation de janvier 1983, dite « de transfert des charges », les chefs de cour d'appel ont progressivement assuré des missions administratives de plus en plus nombreuses et ont été délégataires de crédits relatifs au fonctionnement des juridictions et à l'équipement immobilier, à l'informatique d'initiative locale, au recrutement d'agents vacataires, à la formation du personnel et aux frais de déplacement.
Ils ont acquis un rôle d'arbitrage et de gestion des crédits de fonctionnement des juridictions de leur ressort et ont été chargés du suivi de la gestion administrative et financière des magistrats et des fonctionnaires des services judiciaires, de l'organisation du concours de recrutement régionalisé des agents des services judiciaires et de la conduite du dialogue social local.
La création des services administratifs régionaux au milieu des années quatre-vingt-dix est venue, de manière salvatrice, en soutien de cette évolution. Le développement de l'informatique judiciaire devrait permettre, par ailleurs, d'accélérer le temps judiciaire et la qualité du traitement des affaires.
A.- LA PROGRESSION DE LA DÉCONCENTRATION
1.- LA CRÉATION DES SERVICES ADMINISTRATIFS RÉGIONAUX
De véritables pôles administratifs ont été créés au sein des cours d'appel : les services administratifs régionaux (SAR), placés auprès des chefs de cours.
- La mise en place des services administratifs régionaux
Engagée dès le 1er janvier 1987, date d'entrée en vigueur du transfert des charges des collectivités locales à l'État, la réforme de la gestion des moyens des services judiciaires a connu une phase expérimentale entre 1992 et 1994, avant de se stabiliser autour de l'échelon fonctionnel de la cour d'appel. En 1994, à la suite des recommandations du rapport de M. Jean-François Carrez qui proposait de fédérer les éléments de gestion dans une structure homogène désignée sous le vocable « secrétariat général pour l'administration », des SAR ont été progressivement mis en place. Conformément aux recommandations du rapport annexé à la loi de programme n° 95-9 du 6 janvier 1995 relative à la justice, la circulaire du garde des sceaux en date du 9 octobre 1995 a créé la fonction de coordonnateur auprès des chefs de cours d'appel. Dans le même mouvement, la circulaire du 8 juillet 1996 a donné une existence juridique aux services administratifs régionaux.
Parallèlement, la direction des services judiciaires a bénéficié de tous les crédits de fonctionnement des juridictions, qui étaient auparavant partagés entre elle et la direction de l'administration générale et de l'équipement.
Le développement de l'échelon d'administration implanté dans les cours d'appel a été accompagné par les créations successives de fonctions spécialisées : délégué à la gestion budgétaire, délégué à la formation informatique, formateur régional, magistrat chargé de la formation ou délégué à l'équipement, relevant parfois auparavant d'autorités différentes ou concurrentes. L'accroissement des tâches d'administration, l'augmentation des volumes délégués, et le nombre de personnels à gérer nécessitent que les chefs de cour bénéficient de renforts en personnel et en moyens, et que soient réorganisées les diverses structures existantes.
Ce dispositif de gestion a été mis en place à partir de 1995. Les services de gestion chargés d'assister les chefs de cour d'appel ont été réorganisés, autour de la création d'un véritable pôle administratif, placé auprès et sous l'autorité du chef de cour, le SAR, dirigé par un coordonnateur. Le SAR intervient ainsi dans le domaine de la gestion des ressources humaines et de la gestion de moyens, qui regroupe la fonction budgétaire, la fonction informatique et, à Paris, le magistrat délégué à l'équipement.
À Paris, le coordonnateur est un magistrat. À Versailles, à Douai, où votre Rapporteur a pu se rendre, à Aix-en-Provence, à Lyon et à Rennes, le coordonnateur peut être un magistrat ou un greffier en chef. Actuellement, seul le coordonnateur du SAR de Rennes est un magistrat. Dans toutes les autres cours, la fonction est occupée par un greffier en chef.
- Des fonctions multiples
L'exemple de Paris, même s'il est singulier, démontre l'ampleur des tâches qui incombent désormais aux autorités de gestion des juridictions. En effet, les chefs de cour doivent gérer des budgets qui s'élèvent à plusieurs millions de francs, des magistrats et des fonctionnaires dont le nombre dépasse 5.000 personnes dans l'ensemble du ressort, et suivre l'équipement immobilier et informatique de plus de 85 juridictions, réparties sur 72 sites.
L'organigramme ci-après reproduit l'organisation du SAR de la cour d'appel de Paris.
Coordonateur |
||
Coordonateur adjoint |
||
| |
(personnes responsables des marchés) |
| |
Ordonnance secondaire | |||||||||
Chef du service régional |
Chef du service départemental | |||||||||
| |
||||||||||
Gestion des ressources humaines |
Gestion des Moyens |
|||||||||
Gestion administrative des fonctionnaires et concours |
Gestion financière des personnels |
Gestion de la formation régionale |
Gestion informatique |
Gestion budgétaire |
Magistrat délégué à l'équipement | |||||
- Des responsabilités en matière de marchés publics
Les marchés publics ont pris une ampleur inédite, la réglementation en vigueur s'avère particulièrement difficile à appréhender, les enjeux financiers se révèlent considérables. Là encore, l'exemple de Paris paraît particulièrement éclairant. Dans un rapport du 3 septembre 1996, la Cour des comptes a préconisé une modification de l'organisation de la gestion des marchés publics diligentés par la cour d'appel de Paris et les juridictions du premier degré du département de Paris, qui s'est traduite par le regroupement des fonctions d'ordonnateur secondaire et de personne responsable des marchés, comme l'indique l'organigramme ci-avant.
Ainsi, par arrêté du 20 juillet 1998, le préfet de région, préfet de Paris, a délégué le coordonnateur du SAR et son adjoint dans les fonctions de personnes responsables des marchés de la cour d'appel de Paris. Cette cellule marchés, unique parmi les cours d'appel, s'est vue dotée d'un expert marchés et de deux greffiers en chef. En 1999, elle traitait 118 marchés existants et 29 procédures en cours.
- Un embryon de service des ressources humaines
Les SAR disposent d'un service de ressources humaines. L'exemple de celui de Paris permet de prendre la mesure des tâches qui lui incombent. Sous l'autorité d'un greffier en chef, le service de la gestion des ressources humaines s'occupe de :
· l'organisation des concours, la gestion des greffiers placés (7 à Paris) et des fonctionnaires de catégorie C placés (7 à Paris) ;
· le recrutement des agents vacataires (140 pour la cour) affectés dans les juridictions, en fonction des surcharges conjoncturelles d'activité et des absences dans les juridictions ;
· la gestion des délégations des greffiers ;
· la gestion des assistants de justice (150) et des agents de justice (60 en prévision) ; pour 2000, il est ainsi envisagé de notifier, à titre expérimental, pour plusieurs cours d'appel une dotation globale sur le chapitre budgétaire 31-96 pour ceux des crédits destinés à la rémunération des agents non titulaires, des assistants de justice, des magistrats exerçant à titre temporaire et à l'indemnisation des conseillers prud'hommes ;
· la préparation et la coordination de l'évaluation et des propositions de promotion ;
· la préparation du projet de politique régionale de formation et du suivi de l'exécution des plans de formation ;
· l'assistance à l'organisation du dialogue social local au sein des comités techniques paritaires locaux ;
· la gestion des traitements et indemnités des 1.100 magistrats et 3.600 fonctionnaires de la cour ;
· la gestion des frais de déplacement.
Enfin, le service des ressources humaines des SAR aura, de plus en plus, une mission d'action sociale. À Paris, il a été proposé de mettre en place un correspondant chargé spécialement de cette question. Il aura une mission de diffusion de l'information parmi les agents, de coordination avec les travailleurs sociaux, ainsi qu'avec les médecins de prévention au moyen de réunions et de contacts réguliers, de surveillance des droits à prestation des personnels et d'intervention en vue d'accélérer la clarification des situations administratives individuelles des agents, notamment en congé de longue maladie ou de longue durée.
La mise en _uvre d'un véritable pôle de gestion des ressources humaines efficace est retardée par l'obsolescence de l'actuelle application informatique du ministère. Un projet a été conduit à partir de la fin de 1998, de sorte qu'une nouvelle application baptisée « Gestion des ressources humaines du ministère » (GEREHMI) viendra appuyer les efforts menés par les juridictions sur cette question. La définition des objectifs a été réalisée en 1999. L'harmonisation des règles de gestion, la définition de l'architecture technique et le choix du logiciel interviendront en 2000. Selon les prévisions, les dossiers individuels pourraient être gérés sur cette base à compter de 2003.
- Le nécessaire développement d'un échelon local
La cour d'appel, choisie comme échelon pertinent de déconcentration, s'est vue dotée de moyens modernes de gestion. Il reste à développer les compétences de l'arrondissement judiciaire pour faire vivre l'échelon local de la déconcentration.
C'est pourquoi, dans les tribunaux de grande d'instance, des cellules de gestion dirigées par des greffiers en chef sont devenues les correspondants compétents des SAR. Ces derniers ont vu leurs moyens matériels progressivement se renforcer. En 1999, ils bénéficiaient de 685 emplois budgétaires, dont 148 postes de greffiers en chef et 163 emplois de greffiers.
Dans le cadre des SAR, les juridictions ont été invitées à présenter leurs demandes budgétaires dans une optique de budget zéro (élaboration d'un budget de base et d'un budget de programme).
2.- LES NOUVELLES RESPONSABILITÉS BUDGÉTAIRES DES JURIDICTIONS
La déconcentration des circuits financiers des services judiciaires s'est traduite par une responsabilité accrue des juridictions. Elle s'est accompagnée d'une globalisation des crédits, profitable à l'autonomie de gestion des institutions judiciaires. La politique de maîtrise des frais de justice, engagée depuis 1996, est exemplaire du nouveau rôle gestionnaire des échelons déconcentrés.
a) La déconcentration des circuits financiers
Le transfert à l'État des compétences exercées par les collectivités locales pour le fonctionnement et l'équipement des juridictions du premier degré s'est accompagné d'une première déconcentration budgétaire, dont les principes ont été posés par la circulaire du 17 décembre 1986.
La réorganisation de l'échelon déconcentré, autour de la cour d'appel, s'est traduite par la création au sein de la direction des services judiciaires d'une mission de contrôle de l'exécution des budgets, qui est opérationnelle depuis la fin de l'année 1996. Elle est dirigée par un magistrat, assisté de greffiers en chef et ponctuellement d'un administrateur civil. Elle a vocation à intervenir dans l'ensemble des 1.200 juridictions, réparties sur 900 sites immobiliers dans 600 communes. Elle établira une typologie des juridictions en fonction de la nature et de l'évolution de leurs charges, organisera un contrôle de gestion et fournira une assistance technique aux gestionnaires des cours d'appel.
Par ailleurs, en 1997, a été mis en place un dispositif de contrôle de gestion ayant pour finalité d'aider les chefs de cours d'appel dans leurs arbitrages budgétaires tant au niveau de l'élaboration des demandes que de la répartition entre les juridictions du premier degré de la ressource notifiée en permettant un meilleur suivi des dépenses de fonctionnement des juridictions.
Les circuits financiers régissant les services judiciaires demeurent, malgré ces réformes, complexes. La lettre de l'arrêté du 31 décembre 1993 modifié portant règlement de comptabilité pour la désignation des ordonnateurs secondaires du budget du ministère de la justice et de leurs délégués est, à cet égard, éloquente.
Ainsi le préfet du département siège de la cour d'appel est ordonnateur secondaire des dépenses relatives à l'activité des services judiciaires en matière de dépenses informatiques gérées par les cours d'appel, en matière de rémunérations des personnels titulaires et des agents non titulaires de droit public et en matière de subventions aux organismes privés ou publics contribuant au contrôle judiciaire. Le préfet de région est, quant à lui, ordonnateur secondaire du budget du ministère concernant les recettes et les dépenses relatives à l'activité de la cour d'appel de Paris.
L'utilisation de délégation rend le système encore plus complexe, puisque le préfet du département peut donner délégation de signature à un magistrat ou à un fonctionnaire de catégorie A délégué auprès des chefs de la cour d'appel de Paris pour l'exécution des recettes et dépenses relatives à l'activité des juridictions du premier degré de ce département. Ainsi, à la cour d'appel de Paris, le coordonnateur du SAR est, par délégation du préfet de la région Île-de-France, préfet du département de Paris, les dépenses dites « d'intérêt régional » (informatique, frais de déplacement, formation) et les crédits d'équipement gérés par le magistrat délégué à l'équipement, ainsi que les crédits de fonctionnement des juridictions du premier degré de Paris. Le montant de l'enveloppe soumise au contrôle de l'ordonnateur secondaire, pour 1999, s'élevait à 204,24 millions de francs. Échelon intermédiaire entre les gestionnaires et le trésorier payeur général, le coordonnateur est destinataire de toutes les pièces comptables, responsable devant la Cour de discipline budgétaire et financière des certifications qu'il délivre. Il doit veiller, en tant qu'ordonnateur secondaire, au respect des règles de la comptabilité publique et contrôle tous les actes administratifs relatifs à l'exécution des opérations de recettes et de dépenses. Ainsi, grâce à cet ordonnancement des dépenses et des recettes confiées non au préfet, mais au responsable du SAR, la cour d'appel peut contrôler la régularité de la procédure de la dépense dans les juridictions. Il convient de relever que seules la cour d'appel de Paris et la Cour de cassation disposent d'une délégation d'ordonnancement secondaire confié au coordonnateur du SAR et à son adjoint.
Dans tous les cas, une juridiction du premier degré ne peut avoir d'autonomie comptable et en aucun cas un chef de juridiction ne peut se voir déléguer la compétence d'ordonnateur secondaire, délégué ou subdélégué, pour les dépenses d'équipement, alors que les directeurs régionaux de l'administration pénitentiaires peuvent être ordonnateurs délégués, y compris pour les dépenses d'investissement, et subdéléguer leur compétence aux chefs d'établissements pénitentiaires dotés de l'autonomie comptable en application de l'article 9 du décret n° 57-1409 du 31 décembre 1957 portant organisation comptable des établissements pénitentiaires.
Face à cette complexité, une réforme de la procédure d'exécution a été initiée par la Chancellerie à titre expérimental dans les ressorts des cours d'appel d'Amiens, de Rouen, d'Angers, Bordeaux, Bourges et Nîmes, ainsi que dans le ressort du tribunal de grande instance de Bobigny dans un objectif de généralisation du dispositif à l'ensemble des cours d'appel le 1er janvier 2000. Cette réforme vise à permettre aux chefs de cours d'exercer pleinement leurs responsabilités tant en termes de conduite d'une politique dynamique de l'achat public qu'en termes de contrôle de gestion. Les circuits actuels de la dépense seront modifiés : seront centralisées au niveau de la cour d'appel les informations concernant les dépenses de l'ensemble des juridictions du ressort, dont jusque là seuls étaient destinataires les ordonnateurs secondaires pour les juridictions de leur département.
Dans ce schéma, le service administratif régional constitue l'unique interlocuteur des préfets, ordonnateurs secondaires, en matière d'engagement comptable et de mandatement des dépenses des juridictions des départements composant le ressort de la cour d'appel. L'ensemble des juridictions du premier degré du ressort d'un tribunal de grande instance (arrondissement judiciaire) est fédéré en centre dépensier disposant d'une cellule de gestion budgétaire, laquelle est chargée de tenir la comptabilité des juridictions du premier degré relevant du centre dépensier et constitue l'unique interlocuteur du SAR.
Les juridictions conservent l'initiative de leurs dépenses de fonctionnement, sous réserve de la politique d'achat commune déterminée, après concertation, par les chefs de cours.
Chaque niveau - administration centrale, service administratif régional, cellule de gestion - dispose d'un outil informatique de gestion. Le choix s'est porté sur le logiciel GIBUS, développé par le ministère de l'intérieur pour la gestion des crédits de fonctionnement de la Police nationale, et mis gracieusement à disposition du ministère de la justice. Ce logiciel intègre un module de communication permettant le transfert automatisé des données, sur la base d'un rythme quotidien entre les cellules de gestion et le SAR. Les chefs de cour peuvent ainsi bénéficier d'une visibilité quasiment en temps réel des dépenses des juridictions de leur ressort. Le système concernera les 35 cours d'appel et 249 centres dépensiers à la fin de 1999.
Cette réforme, engagées sur sept sites expérimentaux, a été étendue courant 1998 à une dizaine d'autres cours d'appel et aux autres cours en 1999. À terme, se posera la question de la possible délégation de l'ordonnancement secondaire aux chefs de juridiction, le garde des sceaux étant ordonnateur principal. Il ne semble pas souhaitable de se diriger vers cette solution. Il apparaît plus raisonnable d'étendre le système pratiqué à Paris, consistant à faire du coordonnateur du SAR l'ordonnateur secondaire. Cette évolution serait facilitée par la création d'un corps d'administrateur.
Aujourd'hui, si l'on met à part les crédits de rémunérations principales et indemnitaires gérés au niveau central, plus de 97 % du budget des services judiciaires est géré en mode déconcentré.
b) La globalisation des crédits par ressort de cour d'appel
Depuis une circulaire du 12 janvier 1999, chaque chef de cour se voit notifier, sur le chapitre budgétaire 37-92, une dotation globale de fonctionnement ne comportant plus aucune indication sur la ventilation des crédits par nature de dépenses : dépenses de fonctionnement courant des cours et des juridictions du premier degré, dépenses informatiques, dépenses d'entretien immobilier, frais de déplacement des personnels des services judiciaires, des conseillers prud'hommes et des conciliateurs. Il s'agit là du terme logique du processus engagé depuis 1987. Il a pu être conclu grâce à la globalisation progressive de l'ensemble des moyens de fonctionnement des juridictions au sein d'un chapitre unique, achevé en 1998 par l'intégration des crédits d'entretien immobilier.
En conséquence, les chefs de cour notifient désormais une dotation globale de fonctionnement par arrondissement judiciaire. Il semble essentiel, à cet égard, qu'outre une information des personnels sur les montants des dotations notifiées au sein des instances de dialogue social, la répartition de la ressource notifiée entre les arrondissements judiciaires et, au sein de chaque arrondissement, entre les juridictions qui le composent, soit faite dans le cadre des structures institutionnelles mises en place à chaque échelon, à savoir les conférences budgétaires et leur bureau. Le dialogue de gestion qui doit désormais être mis en _uvre dans ce cadre, selon une procédure parallèle à celle des demandes budgétaires, permet d'asseoir l'autorité des chefs de chaque tribunal de grande instance dans leur rôle d'animateur de leur arrondissement judiciaire.
La globalisation des crédits par cour d'appel s'est accompagnée du développement d'un dialogue de gestion plus direct entre l'administration centrale et les cours d'appel, par le biais de réunions budgétaires avec les chefs de cour. La méthodologie d'analyse des demandes budgétaires des cours vise à assurer une complète objectivité dans l'allocation de la ressource. Les critères d'analyse employés, tels que l'effectif budgétaire, la superficie occupée ou le type de bâtiment, sont transparents. Ainsi, les cours d'appel peuvent comparer leurs coûts de fonctionnement et leurs dotations tant à la dépenses nationale qu'entre elles.
Les dotations initiales peuvent être complétées, en cours d'exercice, par des crédits complémentaires, des reports de crédits, des enveloppes allouées par la mission de modernisation de la direction des services judiciaires. Ainsi, la cour d'appel de Douai a bénéficié de crédits complémentaires pour financer la modernisation de sa bibliothèque, devenue un véritable centre de ressources documentaires et disposant d'accès Internet. De la même façon, le tribunal de grande instance de Paris a bénéficié, en 1999, pour la mise en service du site du pôle économique et financier, rue des Italiens, d'une délégation spécifique de crédits, à hauteur de 37,3 millions de francs.
L'échelon de la cour d'appel a été choisi comme niveau pertinent de conduite budgétaire, confiée au SAR. Il serait peut-être envisageable d'accorder plus d'autonomie aux chefs des tribunaux de grande instance les plus importants. La déconcentration en direction des arrondissements constitue, de ce point de vue, un réel progrès.
c) L'exemple du dispositif de maîtrise des frais de justice
La question de la maîtrise des frais de justice fait partie de ces problèmes récurrents auxquels la justice doit faire face. En 1889, Georges d'Avenel soulignait que « le gouvernement qui contemple ainsi, d'un _il tranquille, (...) les misères des plaideurs et des contribuables, s'est ému de l'augmentation croissante des frais qui lui incombent à lui-même (...). Dans les douze dernières années, ce chapitre du budget s'est élevé de 50 pour 100 (...). L'enquête, déclare le garde des sceaux, a prouvé que les magistrats avaient une tendance générale et fâcheuse à n'être pas suffisamment ménagers des deniers publics ; ils usent trop largement de l'expertise, tandis qu'il serait de leur devoir d'examiner eux-mêmes les opérations qui n'exigent pas de connaissances spéciales ; ils laissent indéfiniment en fourrière des animaux ou des objets périssables, accumulant ainsi les frais au détriment de l'État, responsable envers le logeur. Le ministre menace ces prodigues de les faire payer de leur poche les dépenses inutiles, menace de circulaire qui ne fait pas plus trembler les agens auxquels elle s'adresse, que la grosse voix du père de famille n'effraie des enfants âgés. » (49) Les solutions ont évidemment changé, mais les constats statistiques sont proches.
Ainsi, le chapitre 37-11, sur lequel s'imputent les frais de justice, semble connaître une nouvelle croissance des dépenses. Mais, désormais, les dotations initiales couvrent les besoins. Les dotations initiales inscrites en loi de finances ont connu une progression moyenne de 8,4 % entre 1995 et 1998.
Le chapitre a été régulièrement abondé en cours d'année : 20 millions de francs en 1992, 140 millions en 1993, 50 millions en 1994, 75 millions en 1995, et 63,6 millions de francs en 1996. En 1995 et 1996, les dotations initiales ont été abondées au cours de l'année en raison des événements intervenus en cours de gestion : apurement des impayés relatifs aux réquisitions à France Télécom prévu par la convention conclue en novembre 1995 entre l'entreprise et le ministère (1995), transfert de crédits lié à la suppression de la franchise postale (1996).
En 1997 et 1998, aucun abondement n'est intervenu en cours d'exercice. En 1998 et pour la première fois depuis des années, la dotation initiale a couvert les besoins.
Les frais de justice pénale représentent 69 % de la dotation, les frais de justice civile 17 % et les frais de justice commerciale 12 %. Les différences d'évolution entre les divers types de frais sont importantes.
Les frais pénaux sont passés de 923 millions de francs en 1995 à 1.126 millions de francs en 1998, soit une progression de 22 %. L'augmentation des frais pénaux résulte principalement de quatre sources : les dépenses d'expertise et d'examens médicaux (353 millions de francs) ; les frais de saisie, mise sous séquestre, de fourrière et scellés (91 millions de francs) ; les réquisitions aux opérateurs de télécommunications (130 millions de francs) ; les frais d'enquête, de contrôle judiciaire et de médiation (81 millions de francs). La hausse de ces derniers résulte en grande partie du développement des alternatives à la détention et de celui de la médiation pénale (50).
Les frais de justice civile, sur la période 1995-1998, ont progressé de 27,5 %, passant de 220 millions de francs à 281 millions de francs. Ils sont principalement composés des frais postaux (170 millions de francs), des frais de procédures suivies en application de la législation en matière de tutelle des mineurs, de tutelle et de curatelle des majeurs et de sauvegarde de justice et des frais d'enquêtes ordonnées en matière d'exercice de l'autorité parentale.
Les frais de justice commerciale sont constitués des frais de procédure avancés par l'État (émoluments des huissiers, redevance de greffe, frais d'insertion et d'impression des jugements) dans les procédures de redressement et de liquidation judiciaire en cas d'insuffisance de fonds immédiatement disponibles. Ils ont progressé de manière très contrastée au cours des dernières années, augmentant globalement de 29 % entre 1995 et 1998, année où ils atteignent 190 millions de francs.
ÉVOLUTION DES DOTATIONS DU CHAPITRE 37-11 - FRAIS DE JUSTICE (hors justice administrative - article 40) (1995-2000) (en millions de francs) |
||||||||
1995 |
1996 |
1997 |
1998 |
1999 (1) |
2000 (2) | |||
A.- Dotation en loi de finances initiale |
1.304,8 |
1.404,8 |
1.498,5 |
1.627,5 |
1.748,5 |
1.857,8 | ||
B.- Dépenses constatées |
1.306,2 |
1.420,2 |
1.536,9 |
1.620,6 |
1.711,4 |
1.857,8 | ||
- Justice criminelle (article 10) |
923,1 |
941,5 |
1.050,5 |
1.126,4 |
1.208,6 |
1.312,7 | ||
- Justice civile (article 20) |
220,4 |
270,6 |
284,1 |
280,9 |
285,1 |
295,9 | ||
- Justice commerciale (article 30) |
147,4 |
189,6 |
179,2 |
189,6 |
193,4 |
197,3 | ||
- Autres (articles 61 à 70) |
15,3 |
18,6 |
23,1 |
23,7 |
24,3 |
51,9 | ||
C.- Dotation finale |
1.379,8 |
1.468,5 (3) |
1.498,5 |
1.627,5 |
- |
- | ||
Rapport B/A (en %) |
100,1 |
101,2 |
102,6 |
99,6 |
97,9 |
100 | ||
(1) prévisions au 30 juin 1999. | ||||||||
(2) loi de finances initiale. | ||||||||
(3) après transfert de 63,3 millions de francs au titre de la franchise postale. | ||||||||
Source : ministère de la justice. | ||||||||
Devant la croissance continue et considérable des frais de justice, un contrôle a été mis en place. La circulaire du 16 avril 1996 a institué un suivi de la dépense par tribunal de grande instance et par cour d'appel. Les cours d'appel ont adressé semestriellement à la Chancellerie un rapport présentant l'évolution de la dépense de frais de justice pénale dans leur ressort.
À la suite des dérives constatées, le garde des sceaux a engagé une adaptation des mécanismes en cours. La circulaire du 14 octobre 1997 a renforcé le dispositif de suivi des frais de justice. La circulaire du 2 mars 1998 a diffusé des informations sur l'évolution de la dépense au niveau national enregistrée en 1997 et a fixé un objectif indicatif d'évolution de la dépense de 4 %. Dans la circulaire aux cours d'appel du 27 octobre 1998, plusieurs mesures précises ont été mises en place : extension du dispositif de contrôle des frais de justice par les juridictions aux frais de justice civile et commerciale, organisation par les cours d'appel des conditions d'une mise en concurrence des prestataires de service dans les domaines non tarifés, rappel du champ des frais de justice commerciale et de leurs modalités de contrôle, établissement par la Chancellerie d'un tableau de bord mensuel national communiqué aux juridictions avec une analyse de la dépense tous les trimestres, etc.
Le décret n° 99-203 du 18 mars 1999 modifiant le code de procédure pénale et relatif aux frais de justice, accompagné de sa circulaire de présentation en date du 5 juillet 1999, a mis en _uvre cette volonté. Un certain nombre d'actes ont été ainsi revalorisés : expertise psychiatrique, expertises psychologiques et médico-psychologiques, traduction et interprétation, tandis que certaines catégories de frais étaient tarifées (photocopie, cryptologie). La tarification du gardiennage des véhicules a été modifiée en vue de mieux maîtriser la dépense, tandis que les procédures de contrôle étaient renforcées. Par ailleurs, une certaine simplification a été introduite dans divers domaines : frais de diffusion des décisions de justice, frais d'immobilisation, indemnité supplémentaire de comparution des jurés, témoins et experts, frais de déplacement des magistrats, etc.
Par ailleurs, les articles 21 à 23 de la loi n° 99-515 du 23 juin 1999 relative aux alternatives aux poursuites et renforçant l'efficacité de la procédure pénale, qui simplifient les règles de conservation des objets, permettront sans doute d'obtenir une réduction importante de la durée du gardiennage et des frais correspondants. Cette loi a également facilité l'usage de la télécopie pour les notifications en matière pénale.
Enfin, dans le cadre de la réforme de la justice commerciale, à la suite du dépôt des rapports de la commission d'enquête parlementaire et de la mission conjointe des inspections des finances et des services judiciaires, il est prévu de réformer le mécanisme d'avances des frais par le Trésor, en cas d'insuffisance de fonds immédiatement disponibles.
En 1999, au regard de la dépense prévisible, il n'a pas été envisagé d'abonder la dotation initiale. En effet, les comptes de l'Agence comptable centrale du Trésor (ACCT) ont fait apparaître pour le premier trimestre 1999 une stagnation de la dépense par rapport à la même période de 1998 (+ 1 %), alors même que la dotation budgétaire avait été augmentée de 7,4 %.
Il semble que le ralentissement résulte en partie des efforts de maîtrise des dépenses.
Ce ralentissement est confirmé pour 2000, puisque la dotation augmentera de 6,2 %, de 1.748,5 millions de francs à 1.857,8 millions de francs. Néanmoins, la progression de près de 110 millions de francs devrait répondre aux besoins nouveaux. Ce montant résulte de différents mouvements retracés ci-après.
· mesures de maîtrise de la dépense, d'économies et de transferts engagées et mises en _uvre en 1999 et 2000 (économie de 22,62 millions de francs dans la loi de finances) ;
· ajustement de 32 millions de francs correspondant à l'évolution tendancielle des frais ;
· mesure nouvelle de 41,03 millions de francs pour financer l'impact de l'affiliation au régime général de la sécurité sociale des collaborateurs du service public de la justice, en vertu de la loi de financement de la sécurité sociale pour 1999 ;
· mesure nouvelle de 58,81 millions de francs afin de financer, d'une part, conformément à la décision du conseil de sécurité intérieure du 27 janvier 1999, le développement de missions confiées aux délégués du procureur (10 millions de francs), d'autre part, l'impact du projet de loi relatif à la présomption d'innocence et aux droits des victimes et prévoyant l'indemnisation des personnes relaxées, acquittées ou bénéficiant d'un non-lieu (30 millions de francs) et enfin l'impact de la loi n° 99-105 du 18 juin 1999 relative à la sécurité routière (mise en place d'un dépistage toxicologique systématique des conducteurs impliqués dans un accident mortel).
La maîtrise des frais de justice repose ainsi sur l'existence d'un échange d'informations efficaces entre les échelons déconcentrés et l'administration centrale. Elle ne peut être permise que par le développement de l'outil informatique au sein des services judiciaires.
B.- LE DÉVELOPPEMENT DE L'INFORMATIQUE JUDICIAIRE
L'apurement du sinistre intervenu au début des années quatre-vingt-dix dans l'informatique du ministère de la justice a eu pour conséquence de troubler, de manière considérable, le développement des projets alors en cours, à savoir l'informatisation du casier judiciaire national, la chaîne pénale, la chaîne civile, et l'informatique pénitentiaire. À partir de 1992, priorité a été accordée au rétablissement du projet du casier judiciaire national. La remise à flot a également concerné la chaîne pénale.
Cette concentration des moyens a eu pour conséquence de laisser les mains libres aux juridictions, qui ont utilisé les crédits du titre III pour s'équiper en matériel informatique et en applications locales. Ainsi, ce mouvement de déconcentration observé au début des années quatre-vingt-dix, avec le développement de l'informatique judiciaire d'initiative locale, a conduit à des aberrations, chaque unité menant sa propre politique informatique, sans tenir compte de la notion de réseau.
Face à cette situation, il a fallu recentrer l'initiative en matière informatique et créer une véritable structure centrale, capable de conduire une politique à l'échelle nationale. Désormais, la sous-direction informatique de la direction de l'administration générale et de l'équipement fait fonction de maître d'_uvre, tandis que les directions verticales, et notamment la direction des services judiciaires, jouent le rôle de maître d'ouvrage. Il convient de relever que les services informatiques du ministère de la justice comptent proportionnellement moitié moins d'informaticiens que des services tels que la direction générale des impôts, ce qui oblige la Chancellerie à externaliser de nombreuses prestations.
L'informatique pénale est encore fragmentaire. En effet, trois systèmes informatiques sont en service dans les juridictions : la nouvelle chaîne pénale en région parisienne, dont le coût a atteint près de 200 millions de francs, et, en province, la chaîne micro-pénale dans les tribunaux de grande instance à moins de trois chambres et la chaîne mini-pénale dans les autres tribunaux de grande instance. Un renouvellement régulier des équipements est en cours. Au plan fonctionnel, le logiciel développé par un éditeur privé pour le suivi de l'exécution des peines a été acquis par le ministère et commence à être déployé dans les premiers tribunaux de grande instance. Il en est de même pour le logiciel de traitement des ordonnances pénales, déjà utilisé par près de 340 tribunaux de police, qui fait l'objet, d'une part, d'une évolution permettant de dématérialiser les échanges d'informations avec les services de la comptabilité publique, d'autre part, d'une extension de l'implantation dans les tribunaux non encore équipés. Le logiciel d'instruction assistée par ordinateur, qui repose sur des techniques de numérisation des documents papier et qui est expérimenté avec succès par quelques magistrats en charge de dossiers sensibles ou volumineux, est mis à la disposition des nouveaux magistrats parisiens.
L'informatique civile est en retard. Le secteur civil des cours d'appel, tribunaux de grande instance et des conseils de prud'hommes relevait jusqu'au début de 1998 de l'informatique d'initiative locale. En 1996, la décision de « renationaliser » l'informatique civile a été prise. L'appel d'offre lancé en 1997 en vue de l'acquisition de logiciels destinés à ce secteur a abouti en avril 1998. Le programme d'implantation des logiciels retenus privilégie les juridictions en difficulté du fait de la défaillance de certains éditeurs de logiciels. Les logiciels acquis par le ministère sont désormais pris en charge au plan central pour ce qui concerne la maintenance et le développement des nouvelles fonctionnalités. Les nouveaux logiciels seront utilisés dans 26 cours d'appel à la fin de 1999, ainsi que 97 tribunaux de grande instance et 124 conseils de prud'hommes. Enfin, il faut noter que l'implantation du logiciel civil au tribunal de grande instance de Paris, prévue au début de 2000, remplacera dix applications indépendantes. Il fonctionnera en liaison avec l'automatisation du traitement de décisions judiciaires (successions, ventes sur saisies immobilières, inscriptions au répertoire civil, etc.).
L'équipement informatique a progressé. La notion de réseau doit être développée. Ainsi, dans le cadre du programme d'action gouvernemental pour préparer l'entrée de la France dans la société de l'information, deux groupes de travail ont été créés au ministère de la justice.
Le premier groupe de travail, appelé « comité de coordination Internet/Intranet » a centralisé les travaux élaborés dans les groupes propres à chaque direction du ministère. Il est chargé de veiller à la cohérence des démarches entreprises, de définir des normes techniques permettant d'assurer l'interconnexion de tous les systèmes d'information mis en place. Le deuxième groupe a été créé au sein même de la direction des services judiciaires. Sa mission est d'établir des propositions, afin que les juridictions disposent de règles claires et simples d'utilisation d'Internet. Il doit également préciser les besoins de l'institution judiciaire en matière de réseau Intranet. Il a ainsi contribué à la définition des modalités d'implantation de l'Intranet justice et du Réseau privé virtuel justice (RPVJ), dont le lancement a été annoncé le 6 octobre 1998. Vingt-huit cours d'appel de métropole, sur trente, sont dotées à ce jour de moyens de raccordement à ce réseau pris en charge par l'administration centrale et disposent de plusieurs boîtes aux lettres électroniques. Les premiers raccordements des juridictions de première instance à la charge des budgets déconcentrés des cours d'appel sont en cours de mise en service. Si l'interconnexion des juridictions apparaît en bonne voie, en revanche, il manque des liaisons avec les professions judiciaires - notaires, huissiers, mandataires judiciaires, etc. -, liaisons qui s'avéreraient particulièrement utiles.
III.- DES EFFORTS À POURSUIVRE
A.- LA CRÉATION D'UN CORPS D'ADMINISTRATEURS CIVILS JUDICIAIRES
La création d'un statut d'emploi auprès de chefs de cour à la tête des services d'administration régionale a plusieurs fois été évoquée, notamment dans le rapport Arthuis-Haenel de 1991 (51). La vision du « juge protée » ne peut être que chimérique. Le magistrat devrait pouvoir se consacrer entièrement à sa tâche de rendre la justice.
Une autre nécessité se fait jour : l'institution d'un véritable dialogue social au sein des tribunaux, entre les différentes catégories de personnels. Entre le magistrat et le greffier, il n'existe pas de différence d'essence, mais des fonctions distinctes. Or, trop souvent, chaque catégorie campe sur un corporatisme paralysant. Parallèlement, la frontière entre les fonctions devient plus floue. Le magistrat ne peut plus tout faire ; il délègue certaines tâches aux greffiers, sans que ceux-ci en aient la compétence explicite. Cet état de fait est, notamment, à l'origine des revendications exprimées par certains greffiers en chef d'une reconnaissance plus grande de leur travail.
La tendance devrait être inversée : clarification des compétences, décloisonnement des relations sociales. Ce constat justifie la création d'un corps d'administrateurs à part entière, spécialistes de la gestion financière et des ressources humaines.
Certains axes ont été dégagés, notamment sur les besoins de professionnalisation et sur la nécessité de clarifier les attributions de chacun, tant dans le domaine de la gestion que dans celui du traitement des contentieux.
Ainsi, de par leur statut particulier, les greffiers en chef ont-ils vocation à exercer des fonctions de direction, d'administration et de gestion dans les juridictions sous l'autorité des chefs de cour ou des chefs de juridiction. Ils peuvent être assistés d'adjoints, greffiers spécialisés dans les différents métiers de la gestion. Dans le domaine du traitement des procédures, les magistrats ont besoin d'être assistés par des personnels mieux formés et expérimentés travaillant au sein d'équipes de professionnels, aux fonctions identifiées et bénéficiant de l'apport des nouvelles technologies afin de sortir le juge et l'institution judiciaire de l'artisanat. La fonction traditionnelle du greffier est d'assister le magistrat. C'est le fondement même de la particularité du statut du greffier, outre des textes de procédure qui disposent que le juge doit être assisté du greffier dans les actes de la juridiction. Ainsi le greffier est-il le collaborateur naturel du juge. Authentificateur des actes juridiques et garant du respect des règles de procédures civile et pénale, sa présence au côté du juge est obligatoire et indispensable. Technicien de la procédure, le greffier doit participer à la préparation et à la mise en forme de la décision juridictionnelle sous l'autorité fonctionnelle du juge qui en a la responsabilité. Grâce à un très bon niveau de recrutement et à une solide formation initiale dispensée par l'École nationale des greffes, les greffiers sont devenus de véritables professionnels disposant d'un haut niveau de compétences. Ils suppléent souvent le juge.
La création d'un corps d'administrateur permettrait de dépasser ces clivages. Supposer qu'un administrateur spécialisé ne serait pas apte à comprendre les rouages du fonctionnement des juridictions et ne saurait pas s'imprégner de la culture judiciaire, c'est lui faire un procès d'intention. Un système de formation adaptée, fondé notamment sur une multiplication des stages en juridiction à l'exemple de ce qui existe pour les élèves de l'École nationale de la magistrature, offrirait toutes les garanties pour transformer un néophyte en expert de la chose judiciaire. Les magistrats, quant à eux, devront faire fi de leur défiance à l'égard de tout corps « extérieur ».
L'exemple de Paris, largement évoqué supra, démontre que gérer une juridiction nécessite désormais de posséder des compétences de chef d'entreprise, de directeur des ressources humaines, mais aussi des compétences spécialisées en matière informatique, budgétaire, d'équipement immobilier dans le respect des règles comptables et des marchés publics, sous le contrôle accru de la Cour des comptes. Ne chargeons pas la barque des chefs de juridiction et des magistrats ! S'il est indéniable qu'une plus grande autonomie de gestion est le pendant matériel de l'indépendance des institutions judiciaires, confier les tâches de gestion à un corps de professionnels spécialisés, à l'exemple de ce qui existe pour partie dans les hôpitaux, ne paraît pas être aberrant à l'aune des attentes d'efficacité exprimées par les justiciables.
Personne ne peut affirmer que les directeurs d'hôpitaux, gestionnaires, entravent les praticiens hospitaliers dans leurs choix thérapeutiques proprement dits. Il conviendra de s'assurer que les chefs de cours puissent avoir, comme ils en disposent aujourd'hui sur les greffiers en chef, autorité sur les administrateurs-coodonnateurs, afin d'éviter que ne se recrée une centralisation des procédures par le biais de la création d'un lien direct entre la Chancellerie et les administrateurs des juridictions.
En attendant la création d'un tel corps, votre Rapporteur souhaite appeler votre attention sur l'importance qu'il convient d'accorder à la formation des magistrats à la gestion, tant que les chefs de juridiction seront chargés de l'organisation et du fonctionnement courant, humain et matériel des tribunaux.
B.- L'IMPLANTATION D'UNE CULTURE DE GESTION
Indubitablement, la création d'un corps spécifique de gestionnaires favorisera la diffusion des principes de bonne gestion au sein des juridictions.
Ce progrès incontestable passe également par la création d'une grille d'évaluation adaptée, permettant d'analyser la meilleure utilisation des moyens au regard des objectifs de bonne justice. L'utilisation d'indicateurs de performance mériterait ainsi d'être développée. Elle devrait être rendue transparente et ne pas se limiter à de simples indicateurs d'activité, tels qu'ils existent aujourd'hui. C'est pourquoi, il sera particulièrement important que le Parlement soit informé des résultats de l'étude commandée sur ce sujet au comité central d'enquête sur le coût et le rendement des services publics.
Il faut d'abord que soit définie de manière plus précise la notion de qualité de la justice. Cette demande sociale peut se mesurer à la fois en termes d'accessibilité, de lisibilité, d'implantation géographique, de rapidité, d'efficacité de l'exécution des décisions définitives, au regard en particulier de la notion d'adhésion à la décision judiciaire, et en termes de légitimité, mesurée à l'aune de l'impartialité des différents acteurs et de leur niveau de formation.
La transmission de tableaux d'activité aux juridictions ne saurait suffire. Il conviendrait de conduire une véritable démarche d'évaluation globale des juridictions, ce qui passerait par la construction de tableaux de bord, incluant non seulement des indicateurs d'activité, mais également des indicateurs relatifs aux données financières, aux ressources humaines et à la qualité. Ces tableaux serviraient de base de dialogue entre les différents échelons de gestion. Sur le fondement de la définition de normes de qualité, des contrats de gestion pourraient être passés avec les juridictions. La démarche de responsabilité engagée, dans la cour d'appel de Douai, entre le chef de cour et la Chancellerie, dans le but de maîtriser le contentieux social, se révèle un embryon prometteur de la diffusion d'une véritable culture de gestion au sein du monde judiciaire.
LES « CONTRATS DE JURIDICTION » Si les contrats de juridiction passés entre la cour d'appel de Douai et la Chancellerie ne comportent que des objectifs quantitatifs, ils constituent cependant un progrès très net par rapport aux méthodes anciennes de gestion et de régulation des contentieux. Ils portent en eux les germes d'une nouvelle culture au sein de notre appareil judiciaire. Un premier contrat de juridiction pour la cour d'assises du Nord La cour d'assises est la première juridiction à avoir bénéficié d'un contrat de juridiction. On a observé une augmentation progressive du nombre d'affaires criminelles dans le Nord. Il existait déjà, avant le contrat de juridiction, une session permanente, qui fonctionnait toute l'année à l'exception des périodes de vacances scolaires, pour des raisons évidentes de difficulté à trouver des jurés pendant cette période. Le différentiel de jugements en arrêt de renvoi d'une année sur l'autre a régulièrement augmenté, jusqu'à engorger la juridiction : les délais étaient supérieurs à un an pour les personnes détenues et supérieurs à deux ans pour les « affaires libres », avec ce que cela comporte de drames pour des personnes qui devaient retourner en prison après avoir, pour nombre d'entre elles, reconstruit une vie familiale et sociale. Devant cette montée du contentieux, la cour, de manière autonome, a été amenée à créer une section bis, qui a commencé de fonctionner en janvier 1999. Elle est appelée à fonctionner jusqu'à la fin décembre 2000. D'ores et déjà, les résultats sont spectaculaires. Les délais sont tombés en dessous de six mois. En octobre 1998, le stock atteignait 135 affaires. En octobre 1999, le stock était descendu à 93 affaires, et 20 arrêts avaient été rendus depuis le début de l'année. Les deux sections de la cour d'assises fonctionnent simultanément. Le ministère, pour accompagner cet effort, a autorisé le recrutement d'un magistrat du parquet, d'un magistrat du siège et d'un greffier en surnombre. 4 magistrats sont affectés au fonctionnement de la cour d'assises. Mais, lorsque les deux sections fonctionnent, ce sont 6 magistrats qui sont requis. C'est alors que les conseillers de la cour d'appel sont appelés à siéger à tour de rôle comme assesseurs. Devant les résultats de ce contrat de juridiction, un second, concernant la chambre sociale, est en cours de négociations. L'amorce d'un second contrat de juridiction pour le contentieux social L'abcès se trouve désormais, comme dans beaucoup de ressort, dans la chambre sociale, qui supporte à elle seule un stock de 8.000 affaires. Ce retard en matière sociale a été constitué, pour une large partie, par une seule procédure, qui a concerné 1.300 salariés, et pour laquelle il a fallu rendre autant d'arrêts individuels. Pendant le traitement de cette affaire, le stock a ainsi augmenté et le retard n'a jamais été rattrapé. La seconde explication est à rechercher dans la situation économique et sociale dégradée du ressort, qui possède 21 conseils de prud'hommes. La juridiction de Lille, dont les juges élus sont de bonne qualité, connaît ainsi un taux d'appel de 73 %. Or, la qualité des magistrats est loin d'être aussi bonne partout. Une raison de l'engorgement de la juridiction sociale réside dans le caractère gratuit de la procédure, et ce jusqu'à la cassation. Aucun aléa financier ne vient perturber le choix des justiciables. Il faut noter, à cet égard, que parmi les appels portés devant la cour de Douai, 55 % sont le fait des employeurs et 45 % le fait des salariés, ce qui interdit de supposer que seuls les employeurs, à la recherche de procédures dilatoires pour faire de la trésorerie, sont à l'origine des appels. Il conviendrait peut-être, selon le premier président, d'instituer une forme de ticket modérateur. S'agissant de la composition des conseils de prud'hommes, elle est intouchable politiquement. La proposition d'introduire un juge répartiteur, sur le modèle de la réforme des tribunaux de commerce, est totalement inenvisageable et la résistance sera absolue. Une régulation des flux d'appels est possible, comme le suggérait le rapport « Coulon », grâce à l'institution d'une représentation obligatoire, ce qui impliquerait la mise en place d'une procédure écrite. Il s'agit de ne pas laisser l'autoroute de la procédure béante. L'idée d'un taux d'appel minimal (autorisé au-delà d'une certaine somme) peut être avancée, comme il existe un taux de pourvoi en cassation. Une autre réforme consisterait à supprimer les sections au sein des conseils : il n'est pas absurde d'imaginer qu'un juge capable d'interpréter une convention collective soit capable d'en interpréter une autre ; la spécialisation n'est pas dans l'essence du juge. Il convient de relever que le taux de confirmation, par la cour d'appel, des arrêts rendus en première instance, s'élève à 70 %, ce qui tend à relativiser la critique de mauvaise qualité des décisions des juges sociaux. Il reste que ce taux satisfaisant résulte souvent d'une bonne intuition de la part des intéressés. Mais la qualité formelle des décisions rendues laisse à désirer ; l'absence de motivation est fréquente, ce que traduit l'importance des appels pour cause de nullité. Les appels interviennent souvent sur des sommes minimes. Néanmoins, les conseillers de la cour d'appel sont obligés de motiver les décisions. La cour d'appel de Douai a alors proposé au ministère de passer un contrat de juridiction, afin d'épuiser les stocks. Il s'agirait d'affecter des magistrats en surnombre, pour une période donnée, au seul traitement des stocks. La méthode du surnombre permet une souplesse et des redéploiements, une fois le problème réglé. Aujourd'hui, la cour d'appel, compte tenu de ses moyens, ne peut traiter que les affaires qui entrent. Il convient de relever que les retards peuvent générer des appels. La cour d'appel a tenté de régler les affaires nouvelles en priorité ; les assistants de justice ont sorti des dossiers les appels manifestement irrecevables. Puis, on a « réveillé » les affaires anciennes, en convoquant les parties, en déterminant l'enjeu du litige, en proposant des transactions (entre les parties seules, par le biais d'une association de médiation, ou bien sous le contrôle du juge). Puis, les parties ont été convoquées dans les deux mois. La cour d'appel a ainsi introduit une mise en état, et donc une procédure écrite. Actuellement, pour poursuivre cette expérience, un test va être engagé avec une association de médiation dans le domaine social, pour la première fois. Par ailleurs, des négociations sont en cours avec les organismes de garantie des créances sociales et les mandataires de justice, afin d'examiner la cause réelle des appels et la légitimité de leur appel. |
La construction de tableaux de bord et d'indicateurs ne saurait cependant suffire. Il est nécessaire d'accompagner ce progrès de mécanismes normalisés de réaction. Ainsi, si une juridiction atteint une norme de qualité, des moyens supplémentaires pourraient être accordés en vue d'atteindre un nouveau palier de qualité. La définition préalable de règles est non seulement une garantie en matière de procédures, mais également au regard de l'indépendance des juridictions. Aucun pouvoir central ne pourra ainsi conduire un « chantage aux moyens » : « Vos décisions juridictionnelles ne me conviennent pas ! Vous n'aurez plus les moyens de conduire vos activités ! »
Le développement d'une culture de gestion au sein des juridictions mérite d'être appuyé à l'échelon central. Aussi serait-il souhaitable de mieux définir les moyens de la mission de modernisation, créée au sein de la direction des services judiciaires. Elle est chargée d'apporter des financements complémentaires aux juridictions qui présentent des projets innovants. Ainsi, en 1999, 24 millions de francs ont permis de financer des actions relatives à l'accès au droit, à l'amélioration de l'accueil dans les juridictions, à la communication interne et externe et au renforcement de la documentation des juridictions, mais aussi à l'accompagnement de nouvelles technologies informatiques et à la mise en place d'un guichet unique de greffe. Cependant, il conviendrait que ce type de soutien ne soit pas synonyme de recentralisation de la gestion. Pourquoi les capacités d'innovation des juridictions seraient-elles financées uniquement sur des fonds centraux ?
Laisser cette page blanche sans numérotation.
L'INDISPENSABLE POURSUITE DE LA REMISE À NIVEAU DU PARC JUDICIAIRE
La France compte près de 1.200 juridictions, réparties sur 900 sites qu'il convient d'équiper, d'entretenir, de restructurer en fonction des besoins qui ne manquent de surgir. Dans le cadre de la décentralisation, depuis 1987, la prise en charge de ces bâtiments appartient en totalité au ministère de la justice. Ce dernier doit ainsi gérer plus de 1,5 million de mètres carrés, auxquels s'ajoute le palais de justice de Paris. Il convient également de construire régulièrement de nouveaux palais. Dans ce domaine comme dans les autres, l'explosion des contentieux et la prégnance sociale des questions judiciaires nécessitent de lourds investissements.
Un effort sensible de construction et de rénovation a été lancé au début des années quatre-vingt-dix, avec le programme pluriannuel d'équipement. Pour ce faire, une délégation générale au programme pluriannuel d'équipement (DGPPE) a été créée, laissant à la direction de l'administration générale et de l'équipement (DAGE) le soin de mener les opérations déconcentrées, de moindre ampleur.
Cette dichotomie des structures reflète une constante de l'action de l'État à l'égard de son patrimoine immobilier : la maintenance de l'existant est négligée au profit de nouvelles constructions. La nécessité qui s'est faite jour de doter la capitale d'un nouveau tribunal ne peut être contestée. Il ne faudrait cependant pas que l'opération se réalise au détriment du reste du parc judiciaire. Il ne faudrait pas non plus qu'elle se fasse sans qu'une enveloppe susceptible de prendre en charge les coûts de maintenance ait été prévue.
I.- UN EFFORT DE CONSTRUCTION, UN DÉFAUT DE MAINTENANCE
L'équipement judiciaire fait l'objet de dotations budgétaires importantes : 585,5 millions de francs de crédits de paiement étaient ainsi inscrits dans la loi de finances pour 2000. Ces dotations budgétaires sont destinées, au-delà des différentes programmations, à deux actions principales :
· le programme pluriannuel d'équipement qui a intégré, pour une part, les objectifs de la loi de programme et qui absorbe la grande majorité des crédits ;
· le programme déconcentré réservé aux opérations de moindre importance, mais qui intègre les opérations constantes qui ont lieu en faveur du palais de justice de Paris.
A.- L'ENCHEVÊTREMENT DES PROGRAMMATIONS
En 1991, le ministère a décidé de procéder à une évaluation globale des besoins, à partir d'une analyse de la situation d'un échantillon représentatif des juridictions. Il s'agissait de déterminer, non seulement les besoins en croissance, mais également en restructuration et en modernisation du patrimoine ancien, mal entretenu. Une refonte de la planification a alors été engagée par le biais de l'élaboration de schémas directeurs dans vingt-six départements, qui ont reposé sur une analyse fine de l'état du patrimoine et du fonctionnement des juridictions. Il s'agissait de réaliser une projection des extensions et des besoins de réorganisation. En 1994, à la demande de M. Pierre Méhaignerie, garde des sceaux, une réflexion semblable a été lancée sur le schéma directeur de Paris, tandis qu'une loi de programmation pour la justice était préparée, conformément aux v_ux formés par Jacques Chirac dès mai 1991.
In fine, l'analyse des crédits d'équipement judiciaire doit prendre en compte la succession de quatre programmations correspondant à des dotations distinctes de crédits pour des travaux immobiliers de même nature, dotations imputées sur un même chapitre budgétaire en 1996 (57-11 ancien), mais transférées à partir de 1997 aux articles 20 et 30 du chapitre 57-60 - Équipement :
· lancement en 1992 d'un programme pluriannuel d'équipement des juridictions (PPE) ;
· dans le cadre du Plan de relance pour la Ville de 1993, transfert par répartition à partir du budget des charges communes d'autorisations de programme et de crédits de paiements ;
· rénovation du palais de justice de Paris, dans le cadre d'un schéma directeur 1994-1997 ;
· intégration de l'équipement judiciaire dans le cadre de la loi de programme du 6 janvier 1995, prévoyant 4.500 millions de francs d'autorisations de programme jusqu'en 2000.
Compte tenu de l'entrée en vigueur de la loi de programme en 1995, les autorisations de programme ont augmenté fortement à cette période, avant de décroître significativement en 1997 en raison de la décision d'étalement de l'application de la programmation sur une année supplémentaire. Les crédits de paiement ont suivi la même évolution avec un certain décalage qui s'explique à la fois par un retard dans la programmation et par le mouvement naturel qui lie l'ouverture des autorisations de programme et les crédits de paiement.
CRÉDITS D'ÉQUIPEMENT DES SERVICES JUDICIAIRES (en millions de francs) | |||||||
1994 |
1995 |
1996 |
1997 |
1998 |
1999 |
2000 | |
Crédits de paiement |
659,6 |
731,1 |
754 |
901,3 |
976 |
961 |
585,5 |
Autorisations de programme |
796,5 |
1.192 |
1.154 |
889 |
567 |
673 |
805 |
(1) budget voté, sauf 2000 (projet de loi de finances). Source : d'après ministère de la justice. | |||||||
Le tableau suivant présente les efforts financiers prévus et réalisés.
ÉQUIPEMENT JUDICIAIRE (Chapitre 57-11 ancien, Chapitre 57-60 nouveau, articles 20 et 30) | ||||||
(en francs) | ||||||
Autorisations |
Autorisations |
Crédits de paiement inscrits |
Crédits de paiement consommés |
|||
1992 |
||||||
Programme pluriannuel d'équipement |
461.200.000 |
460.402.000 |
78.930.000 |
46.045.877 |
||
Autres opérations |
391.885.938 |
353.187.718 |
690.820.150 |
405.203.334 |
||
Total général |
853.085.938 |
813.589.718 |
769.750.150 |
451.249.211 |
||
1993 |
||||||
Programme pluriannuel d'équipement |
459.848.000 |
449.126.725 |
208.498.873 |
125.782.683 |
||
Autres opérations |
423.735.468 |
378.698.582 |
667.366.816 |
455.540.166 |
||
Total général |
883.583.468 |
827.825.307 |
875.865.689 |
581.332.849 |
||
1994 |
||||||
Programme pluriannuel d'équipement |
912.320.212 |
771.527.524 |
386.616.190 |
251.547.176 |
||
Autres opérations |
259.241.817 |
253.870.412 |
647.873.599 |
537.485.847 |
||
Total général |
1.171.562.029 |
1.025.397.936 |
1.034.489.789 |
789.033.023 |
||
1995 |
||||||
Programme pluriannuel d'équipement |
1.015.542.688 |
982.336.705 |
650.087.000 |
424.694.572 |
||
Autres opérations |
291.365.405 |
281.995.369 |
413.933.766 |
320.460.491 |
||
Total général |
1.306.908.093 |
1.291.132.074 |
1.064.020.766 |
745.155.063 |
||
1996 |
||||||
Programme pluriannuel d'équipement |
769.890.735 |
633.035.324 |
797.842.429 |
650.759.633 |
||
Autres opérations |
288.990.684 |
263.196.135 |
313.161.674 |
237.096.393 |
||
Total général |
1.058.881.419 |
896.231.459 |
1.111.004.103 |
887.856.026 |
||
1997 |
||||||
Programme pluriannuel d'équipement |
624.927.128 |
562.073.822 |
796.121.513 |
703.623.674 |
||
Autres opérations |
494.232.081 |
434.570.533 |
378.184.281 |
243.262.037 |
||
Total général |
1.119.159.209 |
996.644.355 |
1.174.305.794 |
946.885.711 |
||
1998 |
||||||
Programme pluriannuel d'équipement |
271.723.383 |
270.412.121 |
725.997.839 |
579.107.595 |
||
Autres opérations |
392.832.728 |
339.500.202 |
474.145.274 |
254.207.484 |
||
Total général |
664.556.111 |
609.912.323 |
1.200.143.113 |
833.315.079 |
||
Prévisions 1999 (1) |
||||||
Programme pluriannuel d'équipement |
||||||
Reliquats sur la gestion précédente |
1.311.262 |
- |
146.890.244 |
- |
||
Loi de finances initiale |
348.000.000 |
- |
614.600.000 |
- |
||
Fonds de concours |
979.540 |
- |
979.540 |
- |
||
Autres mouvements |
0 |
- |
0 |
- |
||
Total |
350.290.802 |
- |
762.469.784 |
- |
||
Autres opérations |
||||||
Reliquats sur la gestion précédente |
53.332.526 |
- |
219.937.790 |
- |
||
Loi de finances initiale |
325.000.000 |
- |
347.000.000 |
- |
||
Fonds de concours |
962.271 |
- |
962.271 |
- |
||
Autres mouvements |
- 12.000.000 |
- |
- 12.000.000 |
- |
||
Total |
367.294.797 |
- |
555.900.061 |
- |
||
Total général |
717.585.599 |
- |
1.318.369.845 |
- |
||
2000 (Projet de loi de finances) |
||||||
Programme pluriannuel d'équipement |
344.000.000 |
- |
415.000.000 |
- |
||
Autres opérations |
461.000.000 |
- |
170.500.000 |
- |
||
Total général |
805.000.000 |
- |
585.500.000 |
- |
||
(1) prévision au 15 juillet 1998. Le mouvement négatif de 12 millions de francs est un transfert opéré au bénéfice du ministère de la culture dans le cadre de l'opération de restauration des décors du Parlement de Bretagne à Rennes. Source : ministère de la justice. |
||||||
S'agissant du programme pluriannuel d'équipement des services judiciaires, la consommation des autorisations, qui connaissait des problèmes importants avec des taux d'utilisation inférieurs à 60 % avant 1995, a connu une lente amélioration, alors même que le montant des autorisations de programme affectées ou notifiées augmentait de façon importante : ainsi le taux d'utilisation des autorisations de programme atteignait 64 % en 1995, 70 % en 1996 et 82 % en 1997.
Cette amélioration s'imposait compte tenu de la cible privilégiée que constituaient, pour la régulation, les autorisations de programme et les crédits de paiement non consommés. Cette situation qui témoignait du retard pris dans le montage des différentes opérations se concluait, notamment, par le report pur et simple de la construction de nouveaux palais de justice. Les progrès entrepris à partir de 1998 ont été poursuivis en 1999, de telle sorte que les engagements pris dans la loi de programme ont été remplis cette année en termes d'autorisations de programme, alors même qu'un report d'application avait été décidé en 1997. 678 millions de francs d'autorisations de programme ont ainsi été ouverts au titre de la loi de programme entre 1995 et 1999.
Pour 2000, les autorisations de programme augmenteront de 17 % et les crédits de paiement baisseront de 40 %. Il s'agit de rééquilibrer les deux éléments. En effet, depuis 1997, la baisse du niveau des autorisations de programme judiciaires, due à l'effort particulier consenti sur l'équipement pénitentiaire, a obligé le ministère soit à fractionner la mise en place des financements programmés, soit à différer le lancement d'opérations prêtes à entrer dans leur phase de travaux. La consommation des crédits de paiement n'était donc pas optimale, ce qui a impliqué d'importants reports de crédits. Ainsi près de 420 millions de francs de crédits de paiement devraient être reportés de l'exercice 1999 à l'exercice 2000. La baisse des crédits de paiement enregistrée dans la dernière loi de finances devrait donc être compensée par ces mouvements à venir.
B.- LE PROGRAMME PLURIANNUEL D'ÉQUIPEMENT
1.- LA NAISSANCE ET LES MODES OPÉRATOIRES DU PROGRAMME PLURIANNUEL
Le programme pluriannuel d'équipement (PPE), né en 1992 des vingt-six schémas directeurs départementaux d'opérations prioritaires, devait s'achever en 1998. Il est théoriquement financé sur le chapitre 57-60 - Équipement, article 30 - Programme pluriannuel d'équipement. Mais les frontières sont floues. En effet, le programme a pu fédérer des opérations en cours, financées parfois sur un autre article. De plus, l'intégralité des opérations n'est pas gérée par la délégation générale au programme pluriannuel d'équipement (DGPPE). L'engagement de certaines opérations prioritaires de taille plus modeste est décidé de façon déconcentrée.
La DGPPE a été créée en 1991 pour superviser l'achèvement du programme de construction pénitentiaire, et pour accompagner la réalisation du programme pluriannuel d'équipement judiciaire. Il s'agit d'une structure unique dans l'administration française, puisqu'elle prend en maîtrise d'ouvrage directe les opérations les plus lourdes (catégorie 1), celles qui engagent généralement plus de 50 millions de francs d'investissement. Dans la plupart des ministères, les préfets et les directeurs départementaux de l'équipement sont chargés de superviser les constructions.
La réalisation d'une grande opération se déroule en moyenne sur six ans. Après que la décision de lancement dans le cadre du programme d'emploi des crédits d'un exercice budgétaire déterminé est prise, la recherche du terrain entraîne une négociation avec la commune sur le choix d'un site et l'ensemble des contraintes d'urbanisme et d'environnement attachées à ce site, ce qui implique parfois une révision ou une modification du plan d'occupation des sols. Le ministère procède alors à l'acquisition du terrain, au besoin par voie d'expropriation. Puis, le programme architectural et technique est mis au point, à la suite duquel est lancé le concours d'architecture et d'ingénierie pour le choix du maître-d'_uvre.
La conduite des travaux de construction démarre après l'étude du projet et le résultat des appels d'offres. La réception de l'ouvrage terminé marque le signal de la mise en place du mobilier et des équipements informatiques. L'opération s'achève par l'aménagement des juridictions et la mise en service du palais.
Le cycle comporte à peu près les mêmes étapes lorsqu'il s'agit d'une opération de restructuration-réhabilitation, avec en plus des phases de relogement provisoire des services, qui suppose des opérations lourdes de déménagement et de réaménagement. Dans ce cas, le cycle déborde sur sept ou huit ans.
La mise en _uvre de cette politique de grands projets d'équipement judiciaire a été l'occasion de la réalisation d'une politique architecturale ambitieuse. La pratique des concours d'architecture a permis à un grand nombre d'architectes d'apporter leur contribution à la formation d'une image contemporaine des palais de justice.
L'installation des juridictions dans un cadre rénové doté des derniers équipements informatiques, est aussi l'opportunité, pour la direction des services judiciaires, de la conduite convergente de plusieurs actions de modernisation. La rénovation immobilière a rendu sans conteste possible la réorganisation en profondeur des méthodes de travail, celle des services, et la mise à niveau de l'informatique.
Les 20 principales opérations judiciaires de cette dernière décennie ont été gérées par la délégation. À ce jour, la mise en _uvre du programme est très avancée, et peut se caractériser par le résultat suivant : 14 opérations terminées et mises en service. Elles sont retracées dans le tableau ci-après. À l'engagement de nombreux chantiers, il faut ajouter la prise en charge exceptionnelle de la reconstruction du Parlement de Bretagne à Rennes. Au total, l'opération devrait coûter 401,5 millions de francs, dont 384 millions de francs pris en charge par l'État, par le ministère de la justice et par le ministère de la culture. Après le financement de mesures d'urgence, l'opération de réhabilitation a été divisée en trois sous-opérations : la reconstruction du gros _uvre pour 163 millions de francs, le réaménagement fonctionnel de l'espace pour 78 millions de francs et la restauration des décors historiques du Parlement pour 140,5 millions de francs. L'opération s'est achevée en 1999.
OPÉRATIONS DU PROGRAMME PLURIANNUEL D'ÉQUIPEMENT |
||||||
Opérations |
Juridictions (*) |
Coût budgétaire |
Mois de livraison |
Mois d'ouverture | ||
Nice Rusca |
TGI+TI |
79 |
Juillet 1993 |
Septembre 1993 | ||
Lyon |
TGI+TI+TDP+TC |
546 |
Mars 1995 |
Juillet 1995 | ||
Nanterre |
TGI+TC+CPH |
248 |
Mars-1996 |
Octobre 1996 | ||
Montpellier |
TGI+TI |
240 |
Juillet 1996 |
Octobre 1996 | ||
Caen |
CA+Assises+TC+CPH |
139 |
Décembre 1996 |
Janvier 1997 | ||
Aix |
CA+Assises |
151 |
Décembre 1997 |
Décembre 1997 | ||
Béthune |
TGI+C |
88 |
Février 1998 |
Mai 1998 | ||
Melun |
TGI+ Assises +TI+TCOM+CPH |
231 |
Avril 1998 |
Juin 1998 | ||
Bordeaux |
TGI+ENM |
440 |
Mai 98 |
Juillet 1998 | ||
Rennes reconstruction |
Parlement Monument historique |
160 |
- |
- | ||
Rennes réaménagement |
CA+Assises |
86 |
Juillet 1999 |
Octobre 1999 | ||
Nice |
TC |
30 |
Octobre 1998 |
Janvier 1999 | ||
Grasse |
TGI+TI+TC+CPH |
318 |
Août 99 |
Septembre 1999 | ||
Nice réhabilitation |
TGI |
121 |
Juillet 1999 |
Juillet 1999 | ||
Total |
2.877 |
|||||
(*) CA : cour d'appel. | ||||||
Source : ministère de la justice. |
||||||
6 autres opérations du programme pluriannuel sont en chantier. La phase la plus urgente du programme est à peu près stabilisée. Ce qui reste à réaliser apparaît encore très important, mais il est probable que le rythme annuel n'atteindra pas le sommet de l'année 1997, avec 700 millions de francs de dépenses. Depuis, le rythme se ralentit avec 550 millions en 1999 et des sommes équivalentes pour les années suivantes. Il restera ainsi une place pour un flux annuel de lancement de deux opérations par an au lieu de trois ou quatre antérieurement.
OPÉRATIONS DU PROGRAMME PLURIANNUEL D'ÉQUIPEMENT EN COURS | ||||
|
N° |
Opérations |
Juridictions (*) |
Coût budgétaire |
Date de livraison prévue |
1 |
Nantes |
TGI+TI |
359 |
Mars 2000 |
2 |
Grenoble |
CA+Assises+TGI+TI+TC+TI |
467 |
Décembre 2000 |
3 |
Avignon |
TGI+Assises+TI+TC+CPH |
218 |
Octobre 2000 |
4 |
Fort-de-France |
TGI+TC+TI+CPH |
273 |
Janvier 2001 |
5 |
Toulouse |
CA+TGI+TI |
352 |
Janvier 2003 |
6 |
Besançon |
TGI+TI+TC+CPH |
210 |
Août 2002 |
Total |
1.879 |
|||
(*) CA : cour d'appel. | ||||
Source : ministère de la justice. | ||||
3 autres opérations inscrites dans le programme pluriannuel font l'objet d'appel d'offres.
OPÉRATIONS DU PROGRAMME PLURIANNUEL D'ÉQUIPEMENT EN APPEL D'OFFRES | ||
Opérations |
Juridictions |
Coût budgétaire estimé (en millions de francs) |
Moulins |
TI+TCM+CPH |
24,7 |
Pontoise |
TGI+ Assises TI+TC+TI |
325 |
Narbonne |
TGI+TI |
79 |
Deux opérations sont gelées, dans l'attente de la réforme de la carte judiciaire : Bourgoin-Jallieu et Avesnes-sur-Helpe.
Pour 2000, 170,5 millions de francs de crédits de paiement et 344 millions de francs d'autorisations de programme sont prévus. Les opérations de Nantes (livraison au premier semestre 2000), d'Avignon (livraison en octobre 2000), de Grenoble (livraison en décembre 2000), Fort-de-France, Besançon, et Toulouse devraient se poursuivre.
Plusieurs opérations pourraient être engagées au-delà de la loi de finances pour 2000. Il s'agit, notamment, du regroupement des juridictions de Thonon-les-Bains, de la cour d'appel de Versailles, des tribunaux de grande instance d'Aix-en-Provence et de Chartres, de la réhabilitation des palais existants de Montpellier, d'Aix et de Caen, tandis que plusieurs juridictions outre-mer bénéficieraient également d'importants travaux. Ce serait le cas, en particulier, des cours d'appel de Basse-Terre et de Fort-de-France et des tribunaux de grande instance de Pointe-à-Pitre et de Cayenne
Aux opérations prioritaires du programme pluriannuel, s'ajoutent celles, de moindre ampleur, du programme déconcentré. Elles concernent à la fois le palais de justice de Paris et des opérations initiées par les cours d'appel. Il s'agit à la fois de remise à niveau technique et de gros entretiens des bâtiments judiciaires.
Par son montant, l'enveloppe d'autorisations de programme inscrite dans la loi de finances pour 1999 correspondait aux ressources obtenues en 1998. Ce maintien des dotations a permis la poursuite de la politique d'équipement mise en _uvre en 1998. Ont été ainsi livrées en 1998 les opérations de Lille et Roubaix, et en 1999 celles d'Évreux, Laval, Nancy et Toulon. En 1998, ont commencé les travaux de restructuration de Belfort et, en 1998 et 1999, les études se sont poursuivies pour les opérations de Laval, Béziers, Roanne, Rodez et Saint-Étienne.
En hausse de 30 % par rapport à l'enveloppe budgétaire attribuée en 1999, la dotation pour 2000 (461 millions de francs) du programme déconcentré sera essentiellement consacrée à des opérations de sécurité et de rénovation. Par ailleurs, des travaux seront engagés à Bordeaux et à Cahors. La poursuite des études pour Bobigny et Laval est prévue, de même que le lancement des études pour le palais de justice de Niort.
Le tableau suivant présente les principales opérations judiciaires réalisées depuis dix ans :
PRINCIPALES OPÉRATIONS JUDICIAIRES RÉALISÉES DEPUIS DIX ANS | |||
Année de livraison |
Ville |
Juridictions (*) |
Nature des travaux |
1989 |
Dijon |
TGI, TI, TC, CPH |
construction |
1990 |
Le Mans |
TGI, TI, TC, CPH |
construction |
Orléans |
TGI, TI, TC, CPH |
construction | |
Segré |
TI |
construction | |
Strasbourg |
TI |
construction | |
1991 |
Libourne |
TC, CPH |
construction |
Poissy |
TI, CPH |
construction | |
Valenciennes |
TI, CPH |
restructuration, extension | |
1992 |
Clermont-Ferrand |
TGI, TI, TC, CPH |
construction |
Montpellier |
Palais de justice |
surélévation | |
Villejuif |
TI |
construction | |
1993 |
Nice |
TGI, TI |
restructuration ancienne caserne Rusca |
Boulogne-Billancourt |
CPH |
construction | |
Douai |
TI, TC |
restructuration | |
Lille |
TC |
mise en sécurité | |
Saint-Denis |
TI |
construction | |
1994 |
Blois |
TI, TC, CPH |
extension |
Cambrai |
TGI, TI, TC, CPH |
relogement | |
Tarbes |
Palais de justice |
restructuration, rénovation lourde | |
Saint-Pierre de la Réunion |
CPH |
construction | |
1995 |
Saint-Pierre-et-Miquelon |
Tribunal supérieur d'appel |
construction |
Cahors |
TI |
construction | |
Lyon |
TGI, TI, TC, TDP |
construction | |
1996 |
Asnières |
TI |
construction |
Caen |
CA, C Ass, TC, CPH |
construction | |
Evreux |
TI, TC, CPH |
construction | |
Evry |
TI, TC, CPH |
relogement | |
Montereau |
TI, TC |
construction | |
Montpellier |
TGI, TI |
construction | |
Nanterre |
TC, CPH |
construction et extension TGI | |
Toulon |
TI, TC, TE |
construction | |
1997 |
Aix-en-Provence |
CA, C Ass |
restructuration ancienne maison d'arrêt |
Saintes |
TGI, TI, TC |
extension | |
Vierzon |
TI, CPH |
construction | |
1998 |
Angoulême |
TGI, C Ass, CPH |
restructuration |
Béthune |
TGI |
extension et restructuration | |
Bordeaux |
TGI, ENM |
construction, extension | |
Lille |
TGI, TI |
mise en conformité installations électriques | |
Melun |
TGI, TI, TC, CPH |
construction, extension | |
Nice |
TC |
relogement | |
Roubaix |
TI, CPH |
restructuration | |
1999 |
Evreux |
TGI, C Ass |
restructuration |
Grasse |
TGI, TI, TC, CPH |
construction | |
Laval |
TGI, C Ass |
relogement provisoire | |
Nancy |
TGI, TI |
rénovation | |
Nice |
TGI |
restructuration | |
Rennes |
CA (Parlement de Bretagne) |
reconstruction, réaménagement | |
Toulon |
TI, TC, TE |
restructuration | |
(*) CA : cour d'appel. | |||
II.- LE PALAIS DE JUSTICE DE PARIS
Les juridictions parisiennes occupent une place particulière dans le système judiciaire français, puisqu'elles constituent près du quart de l'activité juridictionnelle nationale. Un millier de magistrats y travaillent. Elles disposent, pour certaines matières telles que le terrorisme, d'une compétence nationale. Face à ces responsabilités et aux flots contentieux, elles connaissent des problèmes lourds d'infrastructures.
Le palais de justice de l'île de la Cité ne suffit pas à les accueillir de manière satisfaisante, ce qui les oblige à s'implanter en divers lieux. Cette dispersion nuit immanquablement à la qualité de la justice qu'elles rendent et entraîne des coûts importants. Les crédits correspondants pourraient être mieux employés, ce qui justifie la construction d'un nouveau tribunal à Paris.
A.- BATEAU IVRE OU VAISSEAU FANTÔME
Incontrôlable et impersonnel, tel semble être le Palais de justice de Paris.
Sous la monarchie de juillet, il fait déjà figure de bâtiment extraordinaire. « Dans la salle des Pas-Perdus, entre la porte de la Première Chambre du Tribunal de première instance et le perron qui mène à la Sixième, on remarque immédiatement, en s'y promenant pour la première fois, une entrée sans porte, sans aucune décoration d'architecture, un trou carré vraiment ignoble. C'est par là que les juges, les avocats pénètrent dans ces couloirs, dans le corps-de-garde, descendent à la Souricière et au Guichet de la Conciergerie. Tous les cabinets des juges d'instruction sont situés à différents étages dans cette partie du Palais. On y parvient par d'affreux escaliers, un dédale où se perdent presque toujours ceux à qui le Palais est inconnu. Les fenêtres de ces cabinets donnent les unes sur le quai, les autres sur la cour de la Conciergerie. » (52)
Plus loin, l'auteur ajoute : « Le Palais de justice est un amas confus de constructions superposées les unes aux autres, les unes pleines de grandeur, les autres mesquines, et qui se nuisent entre elles par un défaut d'ensemble. La salle des Pas-Perdus est la plus grande des salles connues ; mais sa nudité fait horreur et décourage les yeux. Cette vaste cathédrale de la chicane écrase la cour Royale. Enfin, la galerie Marchande mène à deux cloaques. Dans cette galerie on remarque un escalier à double rampe, un peu plus grand que celui de la Police correctionnelle, et sous lequel s'ouvre une grande porte à deux battants. L'escalier conduit à la Cour d'assises, et la porte inférieure à une seconde Cour d'assises. Il se rencontre des années où les crimes commis dans le département de la Seine exigent deux sessions. C'est par là que se trouvent le parquet du Procureur-général, la chambre des avocats, leur bibliothèque, les cabinets des avocats-généraux, ceux des substituts du Procureur-général. Tous ces locaux, car il faut se servir d'un terme générique, sont unis par de petits escaliers de moulin, par des corridors sombres qui sont la honte de l'architecture, celle de la ville de Paris et celle de la France. Dans ses intérieurs, la première de nos justices souveraines surpasse les prisons dans ce qu'elles ont de hideux. Le peintre de m_urs reculerait devant la nécessité de décrire l'ignoble couloir d'un mètre de largeur où se tiennent les témoins à la cour d'assises supérieure. Quant au poêle qui sert à chauffer la salle des séances, il déshonorerait un café du boulevard Montparnasse. » (53)
Ceux qui ont fréquenté l'actuel Palais de justice pourront trouver dans ces phrases de Balzac des accents de permanence : caractère quasi moyen-âgeux et état dégradé des lieux, dédale des locaux, exiguïté des bureaux, agitation continuelle, etc. La très grande majorité des magistrats ne possèdent pas de bureaux. Les salles d'audience sont souvent trop exiguës. Il existe très peu de salles de réunion et les espaces publics sont encombrés.
Un audit réalisé par un organisme externe au ministère de la justice a conclu à l'existence d'une situation déplorable. Selon les estimations, il manque aujourd'hui près de 67.400 mètres carrés au palais de la Cité. Globalement, selon les conclusions du schéma directeur, on constatait une insuffisance d'environ 10 % de surfaces utiles pour la Cour de cassation, de 78 % pour la cour d'appel, et de 71 % pour le tribunal de grande instance.
Le problème le plus criant est l'insuffisance de bureaux et de salles de réunion. Les salles d'audience sont en nombre insuffisant et souvent inadaptées en surface, trop petites au pénal et trop grandes au civil. En 1998, 223 agents, dont plus de 200 magistrats, étaient contraints, faute de bureaux, de travailler en dehors du palais. Les besoins de mise en sécurité et de restructuration du palais actuel sont estimés à près d'un milliard de francs. Aujourd'hui, le déficit de surface oblige à compléter le parc immobilier des juridictions par des locations coûteuses. Ainsi, 60 millions de francs sont nécessaires pour loger le conseil de prud'hommes, le tribunal de police, le service de l'application des peines, le service administratif régional et le pôle de lutte contre la délinquance financière.
Il convient, en premier lieu, de définir la place du palais de justice de Paris dans l'ensemble du ressort de la cour d'appel.
L'équipement immobilier de la cour d'appel de Paris est suivi au sein du service administratif régional par le magistrat délégué à l'équipement qui est chargé, pour les 85 juridictions installées sur 72 sites, de définir une politique régionale immobilière pour le compte des chefs de cour, d'assurer la maintenance immobilière de premier niveau, de gérer les crédits déconcentrés du titre V (chapitre 57-60 - Équipement, article 20), soit 23 millions de francs en 1999, et d'entretien immobilier (chapitre 37-92 - Services judiciaires. Moyens de fonctionnement et de formation, article 50), soit 8,6 millions de francs. Le magistrat délégué est assisté par l'antenne régionale de l'équipement.
Pour le palais de justice plus particulièrement, le service immobilier du palais de justice (SIPJP), dépendant de la direction de l'administration générale et de l'équipement, est placé auprès des chefs de cour et gère des crédits d'un montant annuel d'environ 80 millions de francs, imputés sur l'article 20 du chapitre 57-60 et destinés à financer les travaux de mise en sécurité.
Les crédits d'entretien ont fait défaut pendant des années. Progressivement, des enveloppes de plus en plus conséquentes sont attribuées aux travaux de maintenance, de réaménagement et de rénovation. Nous serions tentés de dire « en vain », tant l'ampleur de la tâche est incommensurable.
Ainsi, en raison de la taille du bâtiment, de sa sur-occupation et de ses carences en matière de sécurité et de fonctionnalité, le palais de justice de Paris fait l'objet de constantes opérations d'équipement.
Au 1er juin 1998, les autorisations de programme mises en place auprès du service immobilier du palais de justice de Paris s'élèvent à 80,8 millions de francs sur un total annuel programmé de 94 millions de francs. Ces crédits sont destinés, d'une part, à compléter le financement des travaux de mise en sécurité d'urgence, de la rénovation des installations de chauffage et de la réfection entreprise au tribunal de commerce. Ils ont permis, d'autre part, de lancer de nouvelles opérations aux fins de sécuriser et de restructurer des locaux.
En 1999 ont été poursuivis ou engagés la rénovation des installations de chauffage (30 millions de francs d'autorisations de programme), des interventions d'urgence sur le clos et le couvert, l'élimination des éléments de toitures et de façades dégradés, la rénovation des façades et des toitures du tribunal de commerce, la restructuration et la mise en sécurité des caves des entreprises, l'aménagement de locaux, et l'aménagement du bâtiment d'archives de Vitry-sur-Seine (10,6 millions de francs en 1999).
Pour 2000, le palais de justice de Paris bénéficiera de 50 millions de francs d'autorisations de programme. Une part importante de ces crédits sera consacrée aux travaux de mise en sécurité des différents sites du palais, mais également à des opérations d'aménagement et de restructuration des locaux.
C.- LA CONSTRUCTION IMPÉRATIVE D'UN NOUVEAU TRIBUNAL
DE GRANDE INSTANCE
Le tribunal de grande instance de Paris se trouve dans une situation exceptionnelle. Il occupe 446 magistrats et 1.136 fonctionnaires. Il a rendu, en 1997, 134.000 jugements en matière civile, 27.111 jugements en matière correctionnels et le tribunal pour enfants a pris 6.947 décisions. Face à cette activité, la structure immobilière du tribunal et la dimension de l'organisation interdisent aujourd'hui toute évolution significative des modes de travail et toute réforme de procédure d'envergure. Cette structure consomme des moyens en personnel importants affectés au seul fonctionnement. Elle obère toute politique d'accueil des usagers. La juridiction ne sera pas capable d'absorber les réformes en cours.
Dès 1998, votre Rapporteur, dans son rapport spécial sur les crédits de la justice, avait mis en avant la nécessité d'édifier un nouveau palais de justice à Paris intra muros.
« (...) votre Rapporteur se déclare favorable à la construction d'un nouveau palais de justice à Paris destiné à accueillir le tribunal de grande instance. La très grande majorité des magistrats ne possèdent pas de bureaux. Les salles d'audience sont souvent trop exiguës. Il existe très peu de salles de réunion et les espaces publics sont encombrés. (...) La juridiction de Paris qui constitue la plus grosse juridiction européenne mériterait un tel investissement, et ce d'autant plus que la situation actuelle se caractérise par la multiplication des sites d'implantation, à l'exemple du pôle économique et financier, dont il faut assurer les loyers. Paris doit s'équiper d'un équipement judiciaire adapté à l'ampleur de ses activités. »
Les locaux offerts apparaissent insuffisants en surface pour accueillir les services, malgré la délocalisation, d'une part sur le site de la rue Ferrus du tribunal des affaires de sécurité sociale, du tribunal de l'expropriation, du tribunal des pensions, du service de l'application des peines et du comité de probation, et d'autre part, au tribunal de commerce du service de l'aide juridictionnelle. Ils sont éclatés, ce qui pose, notamment, des problèmes de liaisons. Ainsi, 81 agents de service ou appariteurs sont affectés aux échanges entre les diverses localisations. Cette dispersion entraîne des problèmes d'orientation des usagers et de cloisonnement des services, qui multiplient les comptages, les cahiers de suivi de procédures et de dossiers. Le service administratif général est lui-même réparti sur trois implantations dans Paris.
Dans ces conditions, il s'avère impossible d'engager une animation sérieuse des personnels et un contrôle de service, ainsi qu'une réorganisation des procédures de travail. Aucune procédure de mise en état dynamique ne peut être établie. Chaque chambre civile et pénale est divisée en sections, qui se partagent les locaux sans pouvoir se rencontrer. En conclusion, les locaux actuels n'offrent pas de conditions de travail satisfaisantes, au regard notamment des normes légales de sécurité et d'hygiène.
Selon diverses estimations, la construction d'un nouveau palais permettrait de gagner entre 25 % et 30 % de productivité, qui s'ajouteront à ceux résultant de l'informatisation du travail judiciaire. Les coûts de construction d'une nouvelle cité judiciaire sont évalués à environ 2,4 milliards de francs.
La décision de construire un nouveau tribunal de grande instance a été prise et annoncée par la garde des sceaux. Le programme consiste en la réalisation de 100.000 mètres carrés et d'environ 600 places de stationnement.
L'acquisition de 100.000 mètres carrés engagerait une dépense d'environ 1 milliard de francs, La même somme devrait être consacrée à la construction proprement dite des nouveaux locaux. La juridiction de Paris qui constitue la plus grosse juridiction européenne mériterait un tel investissement, et ce d'autant plus que la situation actuelle se caractérise par la multiplication des sites d'implantation, à l'exemple du pôle économique et financier ou du tribunal de police, dont il faut assurer les loyers. Une autorisation de programme de 350 millions de francs a été inscrite dans la loi de finances rectificative pour 1999. Compte tenu du programme de construction d'un nouveau tribunal à Paris, l'ensemble de la satisfaction des besoins judiciaires, administration pénitentiaire et protection judiciaire de la jeunesse comprises, représenterait une moyenne d'environ 1,78 milliard de francs par an sur les huit prochaines années.
Les études qui se sont déroulées dans le cadre du schéma lancé en 1994 permettent de constituer une base efficace de réflexion. Dans ce cadre, l'ensemble des juridictions de l'île de la Cité avaient été consultées et avaient plébiscité le scénario de construction d'un nouveau tribunal. Le projet comporte des contraintes lourdes. Le site doit être bien desservi par les transports collectifs. L'ensemble des professionnels exigent l'existence de liaisons faciles avec l'île de la Cité. L'environnement urbain devra être d'une qualité en rapport avec l'image du tribunal. Ces contraintes ont été transmises aux juridictions, la question a été évoquée avec le préfet de région qui doit faire des propositions.
Plusieurs gisements ont été repérés pour implanter le futur tribunal. Une zone est disponible dans la zone Seine-Rive-Gauche, près de la Bibliothèque nationale de France, tandis que plusieurs emprises publiques vont être mises sur le marché, telles que des terrains de Réseau ferré de France, de l'Assistance publique-Hôpitaux publics (Boucicaut, Laennec, Broussais) ou du ministère de la défense (Balard). Le site de l'hôpital Saint-Vincent-de-Paul, près de Denfert-Rochereau, n'est pas non plus sans intérêt.
Dans tous les cas, un préalable d'urbanisme s'impose. Ainsi, même dans celui du site Seine-Rive-Gauche, il n'est pas improbable que l'installation d'un nouveau tribunal nécessite une révision du plan d'aménagement de zone. Sur les sites hospitaliers, s'y ajoute un problème d'existence de parties classées.
Aujourd'hui, la phase initiale est lancée. Le ministère de la justice doit entreprendre une étude d'évaluation, de vérification des capacités d'accueil des sites repérés. La prise de décision pourrait intervenir au cours de l'été 2000. Un dialogue avec la préfecture de région et avec la Ville de Paris doit s'engager. Trois sites seront étudiés au minimum. Commercera alors l'établissement d'un programme d'acquisition des charges foncières. Une fois l'acquisition réalisée, le terrain devra être aménagé, ce qui ne peut se faire en moins de trois ans, compte tenu des préalables urbanistiques. Le concours d'architecte pourrait être lancé à la fin de l'an 2000 et le chantier pourrait commencer en 2003, pour s'achever au plus tôt fin 2006.
LE CALENDRIER DU DÉROULEMENT PRÉVISIONNEL - décembre 1999 : consultation de bureaux d'étude pour l'étude d'implantation et le choix du site, pour un marché en janvier 2000 - décembre 1999 : consultation pour la désignation d'un programmiste marché en janvier 2000 - janvier 2000 : mise en place d'un comité de programmation qui sera l'interlocuteur principal du programmiste - mai 2000 : choix du site - automne 2000 : remise de l'étude de programmation et lancement du concours de conception - printemps 2001 : remise des propositions des candidats - été 2001 : choix du maître-d'_uvre - automne 2002 : obtention du permis de construire et remise des dossiers de consultation pour les travaux - 2003 : passation et notification des marchés - fin 2003 à fin 2005 : travaux et livraison du bâtiment - 2006 : déménagement |
À partir du déménagement du tribunal de grande instance, il conviendra d'entreprendre le réaménagement du palais de la Cité. Il n'est pas exclu de rapatrier le conseil de prud'hommes au sein du palais actuel. Devront également être pris en compte le problème des relations avec la prison de la Santé qui pourrait elle-même faire l'objet de restructuration, dans le cadre d'un programme de réhabilitation des grandes prisons. La Cour de cassation pourrait être étendue de la Cour du dépôt vers la Conciergerie, la cour d'appel étant rassemblée sur toute la partie sud du palais. Les travaux de mise en sécurité et ceux de conformité aux règles d'accès aux handicapés pourraient se faire au fur et à mesure des travaux de restructuration.
EXAMEN EN COMMISSION
Au cours de sa séance du mercredi 26 janvier 2000, la commission des Finances a examiné, en application de l'article 146 du Règlement de l'Assemblée nationale, le présent rapport d'information sur les moyens et la réforme de la justice.
M. Patrick Devedjian, Rapporteur spécial, a tout d'abord indiqué que l'objectif du rapport était d'éclairer la nécessité des réformes dans le domaine de la justice, les difficultés qu'elles rencontraient et leur complexité. Depuis l'époque de la Fronde, le pouvoir politique et les intellectuels ont en permanence voulu réformer le système judiciaire. La justice a toujours navigué entre deux écueils : la dépendance à l'égard du pouvoir politique, d'une part, et, le corporatisme, d'autre part. L'idéal serait de trouver un juste chemin entre ces deux tendances. Le problème est devenu de plus en plus délicat en raison de l'explosion des contentieux - qui ont augmenté entre 1974 et 1984 de 218 % devant les tribunaux de grande instance et de 239 % devant les cours d'appel -, mais également parce que le droit devient de plus en plus un instrument de régulation sociale ; par ailleurs, l'aide juridique se développe, même si elle reste, avec 1,4 milliard de francs, très inférieure à ce qu'elle est en Angleterre et au Pays de Galles, où elle atteint près de 15 milliards de francs, soit dix fois plus. Sur cette question, on peut rejoindre les propos de Me Henri Leclerc qui affirme avoir voulu lutter toute sa vie pour que les pauvres soient aussi bien jugés que les riches, pour finalement constater que les riches étaient... aussi mal jugés que les pauvres.
La question essentielle est celle du modèle judiciaire vers lequel il convient de tendre. Les débats actuels ont permis de dégager un début de réponse ; la jurisprudence de la Cour européenne des droits de l'homme tend ainsi à dresser une catégorie de normes, qui s'imposent peu à peu aux pays parties à la Convention. Se pose alors le problème du passage à l'acte. De ce point de vue, Michel Crozier a raison, lorsqu'il souligne que l'essentiel est moins de définir les réformes qu'il faut faire, que de déterminer la façon dont elles doivent être menées à bien.
La première des réformes à entreprendre est celle de la carte judiciaire, qui conditionne toutes les autres. En effet, la carte actuelle entraîne une dilution de moyens. Toute augmentation significative des moyens est interdite par la rigidité de l'organisation judiciaire, à l'exemple de la collégialité en matière de détention provisoire, conseillée par la Cour européenne des droits de l'homme, reprise par les différents Gardes des Sceaux, mais jamais mise en _uvre. De la même façon, le gouvernement actuel a dégagé des moyens supplémentaires convenables, mais cela ne suffit pas pour résoudre les problèmes, compte tenu de la dispersion des ressources due à l'organisation actuelle de la carte judiciaire. Cette réforme se heurte à tous les conservatismes, celui des avocats, celui des élus locaux, et celui des magistrats. Tous les gouvernements ont perçu cette nécessité de réformer la carte judiciaire et tous ont reculé, les échéances électorales venant reporter de manière constante des réformes d'ampleur. Tous les gouvernements ont fait établir des rapports ; le gouvernement actuel a créé une mission, dirigée par M. Flavien Errera, qui complète très bien le rapport réalisé par M. Jean-François Carrez en 1994. 36 tribunaux de commerce ont été supprimés, sans opposition de la minorité parlementaire. Cette décision était la plus facile. Le deuxième volet de la réforme de la carte des tribunaux de commerce est retardé. Rien n'est entrepris sur la carte judiciaire en général. Il y a vingt tribunaux d'instance à Paris, chiffre qui est excessif.
La deuxième question essentielle est celle des ressources humaines. Il faut saluer l'effort supplémentaire réalisé par le gouvernement, mais cela ne résout pas tout non plus. Ainsi, l'inversion de la pyramide des âges absorbera entièrement l'augmentation actuelle des recrutements, qui ne suffira pas à répondre à l'augmentation de la demande sociale de justice. De plus, la multiplication des missions extra-juridictionnelles confiées aux magistrats, dans le domaine de la politique de la ville par exemple, nécessiterait des moyens supplémentaires. Le magistrat doit d'abord être un juge qui tranche les litiges. Au-delà des effectifs, on peut s'interroger sur les procédures d'avancement dans la magistrature française, qui constituent une particularité latine, par rapport au système anglo-saxon qui ne connaît pas de système d'avancement et dans lequel les magistrats sont nommés dans un poste à vie, sous la garantie de l'inamovibilité. Le système français est engorgé. Ainsi, en 1999, la commission d'avancement a reçu près de 1.200 demandes pour 50 postes disponibles. Des interrogations surgissent de plus en plus sur la discipline et la responsabilité des magistrats. Ces derniers soulignent qu'existent d'ores et déjà des dispositifs légaux de mise en cause de leur responsabilité, mais que ces dispositifs ne sont pas mis en _uvre ou le sont de façon défaillante, même si on constate une amélioration dans les années récentes. Le seul corporatisme n'explique pas tout. En effet, il faut souligner que le ministère de la justice a pendant très longtemps disposé d'une inspection très insuffisante, réduite à une seule personne. Progressivement, elle s'est étoffée pour atteindre un effectif de 20 inspecteurs. Mais les besoins réels nécessiteraient d'augmenter ce nombre à plus de 40. Par ailleurs, l'inspection n'est pas un corps, mais un simple service dans lequel sont détachés pour quelques années seulement des magistrats, d'où le maintien d'un soupçon de corporatisme ; ce service n'a pas l'unité et l'homogénéité d'un corps qui a une mémoire. Il ne faut pas résoudre la question de la responsabilité, comme on le fait souvent en France, en créant un nouveau texte, alors même qu'il en existe un qui ne demande qu'à être mis en _uvre. C'est un travers juridique français que d'empiler les textes lorsqu'on ne sait pas résoudre un problème.
En troisième lieu, il faut relever l'émergence récente, mais révolutionnaire à terme pour le fonctionnement de la justice, des services administratifs régionaux (SAR), placés auprès de chaque chef de cour d'appel. Ces SAR ont pour seule vocation de gérer les juridictions, d'où un gain de productivité considérable, alors même que l'administration judiciaire accusait un très fort retard dans ce domaine. Cette institution demande à être améliorée : ainsi, peut-on se poser la question de savoir si les SAR doivent être dirigés par des magistrats ou bien par un corps spécialisé d'administrateurs professionnels.
Après l'exposé du Rapporteur spécial, plusieurs commissaires sont intervenus.
M. Didier Migaud, Rapporteur général, a relevé la différence de tonalité entre la présentation orale faite par le Rapporteur et le contenu de son document écrit. Citant certains passages de celui-ci, notamment la « multiplication et l'incohérence des propositions gouvernementales (qui) justifient pleinement la décision du Président de la République de reporter le Congrès », il a jugé que le rapporteur spécial s'était parfois écarté de son rôle et avait utilisé son rapport d'information comme un argumentaire politique destiné à justifier une décision du Président de la République, ce qui traduit une confusion des genres. Dès lors, le Rapporteur général a insisté sur la nécessité de rappeler que ce rapport n'engage que son auteur et que sa publication, par ailleurs souhaitable, n'implique pas l'approbation de tout son contenu par la majorité de la commission des Finances. Il a donc souhaité que soient annexées au rapport les observations éventuelles des différents groupes politiques.
Observant également le décalage entre l'exposé oral et certains passages du rapport écrit, le Président Yves Tavernier a reconnu l'ambivalence des rapports d'information dont les auteurs expriment une analyse personnelle sans engager effectivement la majorité de la Commission. Dès lors, il a estimé que la proposition du Rapporteur général allait de soi et invité les groupes qui le souhaitent à faire parvenir leurs observations dans des délais compatibles avec la parution du rapport.
Après avoir approuvé cette proposition, M. Pierre Méhaignerie a nuancé certaines des observations techniques faites par le Rapporteur. Soulignant que les efforts consentis dans le passé en faveur du budget du ministère de la justice avaient été largement absorbés par les besoins de l'administration pénitentiaire, l'octroi de la retraite à 50 ans à l'ensemble du personnel de cette administration renforçant encore cette dérive, il a estimé qu'il ne fallait pas trop attendre d'une réforme de la carte judiciaire. Il a rappelé qu'il avait été, en tant que Garde des sceaux, et à la suite de la publication du rapport Carrez, l'objet de nombreuses questions d'actualité venant de tous les bancs, traduisant la contradiction entre une politique d'aménagement du territoire et la volonté de regrouper les moyens de la justice. Il a plaidé pour un simple regroupement des personnels et pour la mise en place d'une justice foraine permettant de maintenir le parc immobilier existant.
Après avoir jugé que la complexification des procédures et du travail de la justice résultait en grande partie de l'inflation législative, il a observé les disparités régionales constatées dans l'explosion du contentieux et s'est interrogé sur le lien qui pourrait exister entre ce développement et l'implantation géographique des avocats. À cet égard, il a plaidé pour une plus grande rigueur en matière d'octroi de l'aide juridictionnelle, souhaitant que celle-ci ne soit pas utilisée pour aider les plaideurs systématiques.
Après avoir félicité le Rapporteur pour la qualité de son travail, M. Jean-Pierre Delalande a estimé que les rapporteurs devaient pouvoir présenter librement leur analyse et ne pas se contenter de simples exercices de style inutiles. Frappé par la permanence de la crise de l'institution judiciaire, il s'est demandé si celle-ci n'était pas renforcée par le fait que la Constitution ne reconnaît qu'une simple « autorité » judiciaire et non pas un véritable pouvoir autonome.
Il a jugé essentielle la réforme de la carte judiciaire et, au vu des difficultés rencontrées dans le passé, estimé que la seule voie possible était une réforme engagée par un Gouvernement immédiatement après des élections législatives. Si aucune directive ne peut être adressée aux magistrats du siège, il n'en va pas de même pour les magistrats du Parquet afin de garantir l'unicité de la politique pénale : dès lors une séparation claire entre le Parquet et le siège apparaît indispensable.
Évoquant son expérience d'intervenant à l'École nationale de la magistrature, il a souligné la coupure existant entre les magistrats et les réalités du terrain. Une mobilité en cours de carrière dans les mairies ou les préfectures et auprès des différents acteurs sociaux serait donc vivement souhaitable. À propos de l'avancement des magistrats, il a émis des doutes sur la possibilité d'acclimater en France la solution britannique.
Malgré les efforts consentis par les Gouvernements successifs, il est fréquemment indiqué qu'il manque 6 à 7 milliards de francs pour régler les problèmes administratifs, en termes de locaux ou de fonctionnement des greffes, entravant le fonctionnement de la justice. Du fait de la faiblesse de cette somme, comparée au montant du budget global de l'État, il est incompréhensible que ces moyens ne puissent être effectivement dégagés au profit de la justice.
Il a regretté que le Rapporteur n'ait pas évoqué la question des délais de jugement alors qu'elle constitue un point essentiel pour la crédibilité de la justice. Il a également interrogé le Rapporteur sur la pénalisation, qu'il juge excessive, de notre droit et sur les critiques formulées à l'encontre du paritarisme, notamment dans les conseils de prud'hommes.
Mme Nicole Bricq s'est étonnée du silence du Rapporteur sur l'un des aspects essentiels des réformes engagées par le Gouvernement, à savoir la mise en place d'une justice de proximité. Le développement de la médiation et la mise en place de maisons de justice, outre qu'ils répondent à l'attente du justiciable, constituent un moyen efficace de désengorger les procédures judiciaires classiques et d'accélérer les jugements. Contrairement à ce qu'a laissé entendre le Rapporteur, la participation des magistrats aux procédures de médiation ou à la mise au point des contrats locaux de sécurité par exemple, entre pleinement dans leur mission.
En tant qu'élu d'un département rural, M. Jean-Louis Dumont s'est dit particulièrement attentif à tout débat relatif à la carte judiciaire et à la notion de justice de proximité. Après avoir rendu hommage au travail de la Commission présidée par M. Errera, il a plaidé pour la mise en _uvre rapide de ses conclusions. Évoquant le cas des juges pour enfants qui ne nouent presque plus de relations avec l'ensemble du tissu associatif _uvrant en matière de délinquance juvénile, il s'est inquiété d'une coupure certaine entre les magistrats et la société, coupure que ni la formation initiale ni la formation continue ne semblent actuellement en mesure de réduire.
Après avoir approuvé les remarques du Rapporteur général sur le contenu du rapport écrit, M. Alain Barrau a souhaité que le Gouvernement persévère dans sa volonté de réformer la justice, réforme qui correspond à l'attente de nos concitoyens. Il a estimé que l'on ne devait pas opposer le rappel de la mission fondamentale du juge - qui est de juger - et le développement de la justice de proximité. Le développement de la médiation, outre qu'elle permet d'impliquer davantage de citoyens dans le règlement des conflits, renforce le juge dans son rôle de conseil et de référence.
S'il a reconnu la légitimité du débat sur la pénalisation excessive de notre société, il s'est montré plus réservé sur le modèle britannique de nomination des magistrats évoqué par le Rapporteur, estimant que ce système n'était pas exempt de critiques et n'était pas conforme à nos traditions. L'homogénéité du corps des magistrats, qui est indéniable, n'est pas aussi forte qu'on le dit souvent. Cependant, il importe d'améliorer la formation des magistrats, tant initiale que continue, pour éviter une coupure trop nette avec le reste de la société.
En réponse aux différents intervenants, M. Patrick Devedjian a tout d'abord déclaré que pour être rapporteurs, les parlementaires ne cessaient pas pour autant d'être des hommes politiques, et que ses idées transparaissaient dans ses écrits comme celles du Rapporteur général dans son rapport sur le budget de l'État. Il a ensuite relevé que :
- la justice n'est pas au service de l'aménagement du territoire et qu'une adaptation de la carte judiciaire, qui date de l'Ancien régime, aux évolutions démographiques récentes est indispensable ;
- la justice foraine, d'une part, conduit à la dispersion des moyens et à l'impossibilité d'organiser la collégialité et, d'autre part, dévalorise totalement la justice qui a besoin d'une certaine solennité ;
- les procédures, comme celles du divorce, contribuent à augmenter significativement les délais de jugement qui sont au premier rang des préoccupations des Français. 91 % de nos concitoyens attendent avant tout de la justice qu'elle soit plus rapide, faute de quoi, comme le dit le Président Pierre Drai, celle-ci ne consiste qu'à rendre des solutions mortes sur des problèmes morts ;
- la Constitution de 1958 a, en effet, refusé de reconnaître un pouvoir judiciaire en n'évoquant qu'une « autorité judiciaire » dont le chef est le Président de la République. Cette négation de l'indépendance de la justice constitue l'essence du Jacobinisme français et peut s'analyser comme une réaction par rapport aux prérogatives importantes des parlements de l'Ancien régime ;
- en raison des nombreuses failles constatées dans notre législation, de ses lacunes et de ses ambiguïtés, les magistrats ne se contentent pas d'appliquer la loi mais ils sont aussi conduits à l'interpréter et à contribuer à la création du droit ;
- il convient de maintenir une séparation rigoureuse entre les magistrats du Parquet et ceux du Siège en raison de la profonde différence de leurs fonctions. C'est ainsi que le juge applique la loi par des décisions susceptibles de recours et qu'il ne peut choisir les litiges qui lui sont soumis alors que le procureur, en jugeant de l'opportunité des poursuites, n'est pas obligé d'appliquer la loi, prend des décisions qui ne sont pas susceptibles de recours et se saisit de sa propre initiative. Il y a donc une disproportion considérable entre les deux métiers, de juge impartial et de procureur, ce dernier étant partie au procès car représentant l'accusation ;
- les règles d'avancement des magistrats, sont d'une complexité telle qu'elles confèrent un pouvoir très important aux syndicats dans ce domaine, tout au moins pour la première moitié de la carrière ;
- à l'inverse des États-Unis qui ont tendance à civiliser leur justice, la France a actuellement tendance à pénaliser les litiges, ce qui traduit une certaine impuissance à appliquer la loi. Lorsqu'elles ont le choix, les parties choisissent la voie pénale comme le montrent, par exemple, les affaires d'abus de biens sociaux, car elles estiment que la justice civile n'est pas efficace ou que les juges hésitent à accorder d'importants dommages et intérêts comme le montre par exemple, la diffamation par voie de presse ; puis se produit souvent une phase de négociations qui aboutit parfois à des désistements ;
- la justice prud'homale ne fonctionne pas, puisque son taux d'appel est de 60 % et que les délais de jugement sont très longs. Ils peuvent atteindre, comme à Lille, cas extrême, quatre ans pour la première instance et deux ans pour l'appel ;
- les magistrats qui exercent des fonctions de médiation font un travail utile mais de moindre productivité, en matière de traitement de litiges, que s'ils siégeaient dans un tribunal. Par ailleurs, la médiation pose un problème de principe puisqu'il est difficile, comme le montre l'exemple du Conseil d'État, d'être dans un premier temps conseiller et, dans un deuxième temps, juge impartial, alors que l'on est tenu par son conseil initial. Dans ce domaine, l'équipe de M. Errera a fait un très bon travail qu'il convient de traduire rapidement en actes.
Le Rapporteur spécial a ensuite estimé que :
- les juges des enfants sont d'ores et déjà écrasés de travail et, on ne peut exiger d'eux des rencontres systématiques avec les acteurs sociaux, sous peine de faire exploser le système ; leur nombre est insuffisant ;
- l'inamovibilité des juges britanniques n'est pas transposable en France mais il convient de remarquer qu'ils sont tous nommés par le pouvoir politique sans aucun filtre et sans contestation ;
- les magistrats continuent de constituer une population socialement homogène, marquée par un processus de reproduction, comme le montre la proportion importante de magistrats enfants de magistrats. Les formations initiales et continues s'améliorent - ainsi, les jeunes magistrats passent-ils désormais un mois de stage dans une prison - mais ces formations n'ont pas encore permis d'atténuer cette grande homogénéité culturelle.
La Commission a enfin autorisé, conformément à l'article 146 du Règlement, la publication du rapport d'information sur les moyens et la réforme de la justice sous réserve de l'éventuelle adjonction des observations des groupes politiques qui le souhaitent.
Observations des membres du groupe socialiste
Le rapport d'information présenté par M. Devedjian est un texte documenté sur certains points mais très partisan sur beaucoup d'autres.
Le rapporteur spécial s'écarte à plusieurs reprises de son sujet pour reprendre un argumentaire politique contre les projets de loi gouvernementaux de réforme de la justice.
Selon lui, ce serait « la multiplication et l'incohérence des propositions gouvernementales » qui justifieraient le report du Congrès par le Président de la République.
Outre le fait que M. Devedjian se fait ici porte-parole de l'Élysée plutôt que rapporteur d'information de la commission des finances, on peut s'étonner qu'il soit aussi infidèle à la parole présidentielle.
En effet, c'est à l'initiative du Président de la République que la réforme de la justice a été engagée et c'est lui-même qui a pris la décision de convoquer le Congrès afin de ratifier la réforme constitutionnelle.
S'il y a une incohérence, c'est celle de l'opposition qui avait voté, pour une grande partie d'entre elle, la réforme constitutionnelle à l'Assemblée et au Sénat et qui a refusé de confirmer son vote au Congrès.
On aurait d'ailleurs du mal à trouver une cohérence aux critiques qu'il porte à la réforme de la justice puisque M. Devedjian, contrairement à ce qu'a dit l'opposition avant le report du Congrès, s'oppose tout au long de son rapport à une plus grande responsabilité des magistrats.
Concernant plus spécifiquement les moyens de la justice, il faut rappeler qu'en trois ans, entre 1995 et 1997, seuls 150 postes de magistrats ont été créés contre 70 en 1998, 140 en 1999, 212 en 2000.
La réforme de la justice engagée depuis juin 1997 s'appuie donc sur une politique budgétaire volontariste et des moyens financiers conséquents.
De plus, M. Devedjian ne dit rien de la mise en place d'une justice de proximité qui est aussi un des moyens de résoudre le problème de l'engorgement des tribunaux.
Le développement de la médiation, la mise en place des contrats locaux de sécurité, la création des maisons de justice entrent dans cette logique et répondent à l'attente des Français qui veulent une justice plus rapide et plus efficace.
Il y a une logique à appuyer la réforme de la justice sur un accroissement des moyens budgétaires de ce ministère. C'est cette logique que M. Devedjian n'a pas voulu voir dans son rapport d'information et, c'est pourquoi, la décision de la commission des finances de publier le rapport ne signifie pas que le groupe socialiste approuve l'ensemble de ses conclusions.
Observations des membres du groupe UDF
Le rapport d'information de M. Patrick Devedjian sur les moyens et la réforme de la justice constitue une mise en perspective nécessaire au moment où le Parlement examine la quasi-totalité des projets de loi
- hormis la réforme des tribunaux de commerce - composant ce qu'il est convenu d'appeler la « réforme de la justice ». Dans ce cadre, le rapporteur pose deux questions fondamentales et étroitement liées : celle de l'adéquation des moyens budgétaires et humains dégagés au service de la réforme engagée sous l'impulsion du Président de la République, et celle de la pertinence des réponses apportées par le Garde des sceaux aux attentes de nos concitoyens.
Soulignant à juste titre l'insuffisance chronique des moyens dévolus à la justice, il décline les difficultés actuelles du service public de la justice, à savoir l'explosion des contentieux - notamment civils -, l'inflation législative, le manque de personnel, les faibles progrès enregistrés dans le cadre de la rationalisation de la gestion ainsi que la lenteur de la mise à niveau des parcs mobilier et immobilier. Les conséquences de ces déficiences sont manifestes : l'allongement des délais d'instruction et de jugement ; l'accroissement des coûts, la surpopulation carcérale et l'insatisfaction croissante de nos concitoyens.
La réforme en cours de la justice permet-elle de pallier ces insuffisances, et apporte-t-elle des réponses satisfaisantes aux attentes exprimées par les Français ? Le rapporteur fournit une analyse circonstanciée.
Le débat, légitime, autour de la réforme de la carte judiciaire devra prendre en compte la dimension essentielle de la justice de proximité et les enjeux de la politique d'aménagement du territoire, qui sont au c_ur des préoccupations de nos compatriotes et des élus. De plus, elle ne saurait constituer la solution à tous les maux que rencontre la justice. À cet égard, il convient avant tout d'éviter la multiplication de réformes ponctuelles, qui ont pour seul effet d'accroître la complexité du fonctionnement de l'institution judiciaire.
Compte tenu de ces observations de principe, le groupe UDF tient à féliciter le rapporteur de la qualité de son travail.
LAISSER CETTE PAGE BLANCHE SANS NUMÉROTATIONObservations des membres du groupe Démocratie Libérale
Après l'ajournement du Congrès et de la révision constitutionnelle du Conseil supérieur de la magistrature le 19 janvier 2000, peut-on parler pour la justice de « réforme introuvable » ? Patrick Devedjian répond dans ce rapport par la négative. La réforme de la justice aura bien lieu mais pas à la manière du Gouvernement, qui oscille entre surenchère normative et dérive idéologique. Le rapport mentionne ainsi « une vague de réformes sur l'écueil de l'incohérence ».
En réalisant un audit du fonctionnement des juridictions, de la magistrature et des moyens budgétaires mis à la disposition de la justice, Patrick Devedjian replace la réforme de la justice, qui avait achoppé sur le CSM, dans un cadre plus concret.
Il n'en reste pas moins que la réforme de la justice est toujours d'actualité. Il ne peut y avoir de démocratie saine quand le lien de confiance entre le peuple et sa justice s'est rompu.
Mais les difficultés que connaît notre justice ne se limitent pas à son indépendance. Le malaise de la justice, c'est également le malaise pour le justiciable confronté à l'encombrement des tribunaux, à des procédures de plus en plus lentes et complexes, à une opacité du droit et de la loi. Le malaise de la justice, c'est également le malaise dans la profession judiciaire confrontée aux manques de moyens matériels, à la pression médiatique, et également aux niveaux relativement bas des rémunérations dans la magistrature.
La réforme de la justice passe avant tout par une réforme de l'État qui doit se recentrer sur ses fonctions régaliennes. La dérision des moyens financiers dont dispose la justice (moins de 2 % des dépenses de l'État) en est un parfait exemple. À l'heure actuelle, l'État dépense beaucoup mais en oubliant ses missions essentielles.
L'approche de Patrick Devedjian a le mérite du terrain et constitue un bon panorama des dysfonctionnements internes de la justice. Ce rapport souligne avec raison que l'obligation de bonne justice est également un signe de la modernité de l'État.
_____________
N° 2137.- Rapport d'information de M. Patrick Devedjian , déposé en application de l'article 146 du Règlement par la commission des finances, sur les moyens et la réforme de la justice.
() Gustave Flaubert, « Dictionnaire des idées reçues », in _uvres, tome II, Paris, Gallimard, 1999, page 1015.
() M. Henri Nallet, « Organisation de la justice et service public », in Le service public de la justice, Paris, Éditions Odile Jacob, 1998, page 14.
() Sénat, Compte rendu analytique officiel, Séance du 13 décembre 1999, page 13.
() MM. Hubert Haenel et Jean Arthuis, Justice sinistrée : démocratie en danger, Paris, Economica, 1991.
() M. Pierre Fauchon, Rapport d'information fait au nom de la mission d'information de la commission des Lois constitutionnelles, de législation, du suffrage universel, du Règlement et d'administration générale chargée d'évaluer les moyens de la justice, Sénat, session ordinaire de 1996-1997, document n° 49, 30 octobre 1996.
() Jerold S. Auerbach, Justice without Law ? Resolving Disputes without Lawyers, Oxford, 1983, page 9.
() Victor Riqueti, comte de Mirabeau (1715-1789), L'ami des hommes ou Traité de la population, Avignon, 1756, deuxième partie, chapitre 3.
() Denis Fustel de Coulanges, « L'organisation de la justice dans l'antiquité et les temps modernes, IV. La justice en France sous la monarchie absolue », La revue des deux mondes, 1871, page 571.
() Giovanni E. Longo, « Quelques problèmes du service public de la justice en Italie », in Le service public de la justice, Paris, Éditions Odile Jacob, 1998, pages 56 et suivantes.
() Georges d'Avenel, « La réforme administrative », La revue des deux mondes, 93ème volume, troisième période, LIXème année, 1889, page 578.
() Paul Ric_ur, in Antoine Garapon, Le gardien des promesses, justice et démocratie, Paris, Éditions Odile Jacob, 1996.
() Alain Blanc, Pierre Lyon-Caen, Odile Mondineu et Didier Peyrat, « Justice : il y a péril en la demeure », Le Monde, 22 octobre 1999.
() Voir Giovanni E. Longo, « Quelques problèmes du service public de la justice en Italie », art. cit. Le même rappelle que dans ledit système, la preuve, pour être utilisable aux fins du procès, doit « naître » au cours du débat public. Les lenteurs provoquées par cet « accouchement » demanderaient un contingent de juges énormément plus étoffé.
() En France, pour 2000, l'aide juridique atteint 1,5 milliard de francs.
() Nicholas Phillips, « La justice anglaise », in Le service public de la justice, Paris, Éditions Odile Jacob, 1998, page 51.
() Introduction de la mixité dans les tribunaux de commerce décidée le 31 mai 1999, décret n° 98-1232 du 29 décembre 1998 relatif au redressement et à la liquidation judiciaires des entreprises et le décret n° 85-1389 du 27 décembre 1985 relatif aux administrateurs judiciaires, mandataires judiciaires à la liquidation des entreprises et experts en diagnostic d'entreprise ; circulaire du 26 janvier 1999 portant mesures urgentes d'application du décret du 29 décembre 1998 relatif au redressement et à la liquidation judiciaire des entreprises et du décret du 27 décembre 1985 relatif aux administrateurs judiciaires, aux mandataires judiciaires à la liquidation des entreprises et aux experts en diagnostic d'entreprises ; décret n° 99-659 du 30 juillet 1999 portant suppression de tribunaux de commerce, décret n° 99-818 du 16 septembre 1999 modifiant le code de procédure pénale (deuxième partie : Décrets en Conseil d'État) et le nouveau code de procédure civile et relatif aux modalités de désignation et d'indemnisation des administrateurs ad hoc .
() Giovanni E. Longo, « Quelques problèmes du service public de la justice en Italie », art. cit., pages 55-56.
() Maxime du Camp, « Le palais de justice à Paris », La revue des deux mondes, 82ème volume, seconde période, XXXIXème année, livraison du 15 août, 1869, page 851.
() Maxime du Camp, « Le palais de justice à Paris », art. cit., page 876.
() Victor Riqueti, comte de Mirabeau (1715-1789), L'ami des hommes ou Traité de la population, op. cit.
() Il existe, sur le territoire métropolitain, 30 cours d'appel, 175 tribunaux de grande instance, 462 tribunaux d'instance, 191 tribunaux de commerce et 264 conseils de prud'hommes. En 1958, après la réforme complète de la carte, on comptait 172 tribunaux de grande instance, contre 350 auparavant, et 435 tribunaux d'instance.
() Comité de réorganisation et de déconcentration du ministère de la justice, présidé par M. Jean-François Carrez, conseiller maître à la Cour des comptes, alors directeur de l'Institut géographique national, Rapport au Premier ministre et au ministre d'État, garde des sceaux, ministre de la justice, février 1994, page 17.
(1) Décret n° 94-259 du 25 mars 1994, décret n° 94-730 du 6 mai 1994, décret n° 94-378 du 9 mai 1994, décret n° 95-582 du 5 mai 1995, décret n° 96-1019 du 26 novembre 1996, décrets n° 97-96, 97-97 et 97-98 du 5 février 1997, décret n° 97-123 du 6 février 1997.
(1) Voir carte judiciaire du ressort de la cour d'appel de Douai reproduite en annexe XII.
(2) Voir carte des ressorts administratifs et judiciaires reproduite en annexe XI.
() Alexis de Tocqueville, Discours prononcé à la séance publique annuelle de l'Académie des sciences morales et politiques du 3 avril 1852, _uvres, tome I, Paris, Gallimard, page 1223.
() Victor Riqueti, comte de Mirabeau (1715-1789), L'ami des hommes ou Traité de la population, op. cit.
() Honoré de Balzac, Splendeurs et misères des courtisanes, troisième partie, in La comédie humaine, tome VI, Paris, Gallimard, 1987.
() Benjamin Constant, Principes de politique, _uvres, Paris, Gallimard, 1979, page 1206.
() Auguste Vivien, Études administratives, Paris, Guillaumin, 1859.
() Sénat, Compte rendu analytique officiel, Séance du 13 décembre 1999, page 10.
() Georges d'Avenel, « La réforme administrative », art. cit., page 582.
() Voir modèle de fiche reproduit en annexe du présent rapport.
() À la fin des années quatre-vingt, à l'occasion d'une information judiciaire, la presse avait fait état de l'existence de notes rédigées par le secrétaire général du Conseil au président de la République et portant notamment sur les opinions politiques des membres du Conseil.
() M. Jacques Floch, Rapport fait au nom de la commission des lois constitutionnelles, de la législation, et de l'administration générale de la République sur le projet de loi constitutionnelle (n° 855) relatif au Conseil supérieur de la magistrature, Assemblée nationale, XIème législature, document n° 930, page 80.
() Aristote, Politique, III, 11, 1282-a.
() Georges Kiejman, « Juges fautifs ou juges inadaptés ? », Le Monde, 17 décembre 1999.
() Daniel Soulez-Larivière, « Élisabeth Guigou se trompe de projet », Libération, 16 décembre 1999.
() M. Michel Pezet, Rapport fait au nom de la commission des lois constitutionnelles, de la législation, et de l'administration générale de la République sur le projet de loi organique (n° 2008) modifiant l'ordonnance n° 58-1271 du 22 décembre 1958 relative au Conseil supérieur de la magistrature, Assemblée nationale, IXème législature, document n°2321, page 19.
() Benjamin Constant, Principes de politique, _uvres, Paris, Gallimard, 1979, pages 1210-1211.
() Benjamin Constant, « Principes de politique », op. cit., page 1206.
() Benjamin Constant, Principes de politique, op. cit., page 1205.
() Georges d'Avenel, « La réforme administrative », art. cit., 1889, page 603.
() Cf. circulaire de politique pénale du 15 juillet 1998 prise dans le cadre des mesures gouvernementales arrêtées par le conseil de sécurité intérieure du 8 juin 1998.
() MM. Hubert Haenel et Jean Arthuis, Justice sinistrée : démocratie en danger, op. cit.
() Honoré de Balzac, Splendeurs et misères des courtisanes, troisième partie, La comédie humaine, tome VI, Paris, Gallimard, 1987, page 711.
© Assemblée nationale