TREIZIÈME LÉGISLATURE
Enregistré à la Présidence de l'Assemblée nationale le 17 octobre 2007.
RAPPORT
FAIT
AU NOM DE LA COMMISSION DES AFFAIRES CULTURELLES, FAMILIALES ET SOCIALES SUR LE PROJET DE LOI de financement de la sécurité sociale pour 2008 (n° 284)
TOME IV
ASSURANCE VIEILLESSE
PAR M. Denis Jacquat,
Député.
——
I.- LES COMPTES DE LA BRANCHE VIEILLESSE 5
A. L’APPROFONDISSEMENT DE LA DÉGRADATION DES COMPTES DU RÉGIME GÉNÉRAL 5
1 Un accroissement des déficits supérieur aux prévisions 5
2. La revalorisation des pensions de retraite pour 2008 6
B. LE REDRESSEMENT DU FONDS DE SOLIDARITÉ VIEILLESSE 9
1. L’objet du Fonds de solidarité vieillesse et ses ressources 9
2. Le rétablissement de l’équilibre du Fonds de solidarité vieillesse 10
C. LA QUALITÉ DE LA GESTION DU FONDS DE RÉSERVE POUR LES RETRAITES 12
1. L’absence de définition de l’emploi des actifs après 2020 12
2. La politique de placement du Fonds de réserve des retraites 14
3. Les ressources du Fonds de réserve pour les retraites 15
II.– LE DROIT À L’INFORMATION DES ASSURÉS SUR LEUR RETRAITE 17
A. LE DROIT À L’INFORMATION MIS EN PLACE PAR LA LOI DU 21 AOÛT 2003 18
1. La nouveauté du droit ouvert par la loi du 21 août 2003 18
a) L’insuffisance du dispositif d’information antérieur à 2003 18
b) Les novations introduites en 2003 19
a) L’objet et les destinataires du relevé 23
b) Les informations contenues dans le relevé 24
c) La périodicité d’envoi des relevés 26
4. L’envoi d’une estimation indicative globale du montant des pensions 27
a) L’objet et les destinataires de l’estimation indicative globale 27
b) Les informations contenues dans l’estimation indicative globale 28
c) Les moments d’envoi des estimations globales 31
B. LA MISE EN œUVRE DU DROIT À L’INFORMATION 33
1. La mise en place du groupement d’intérêt public Info-retraite 33
2. Les investissements réalisés par les régimes de retraite 37
3. L’envoi des documents d’information 41
4. La modification des informations communiquées et l’assistance des assurés 42
5. Les sites d’information générale mis en place 45
C. L’ÉVALUATION DU DROIT OUVERT PAR LA LOI DU 21 AOÛT 2003 47
1. L’efficacité accrue du fonctionnement des régimes de retraite 47
2. L’amélioration de la qualité des relations avec les assurés ou affiliés 48
3. Le contenu des informations communiquées 51
III.- L’ÉVOLUTION DU SYSTÈME DES RETRAITES ET LE DROIT À L’INFORMATION EN ALLEMAGNE 53
A. L’ÉVOLUTION DE LA LÉGISLATION ALLEMANDE SUR LES RETRAITES 53
B. LE DROIT À L’INFORMATION DES ASSURÉS SUR LEUR RETRAITE EN ALLEMAGNE 58
1. Le document annuel d’information sur la retraite 60
2. Le document d’information sur la carrière professionnelle 61
3. Le descriptif détaillé des droits à pension et de la carrière 62
4. L’organisation de l’assistance aux assurés 63
ANALYSE DES DISPOSITIONS DU PROJET DE LOI RELATIVES À L’ASSURANCE VIEILLESSE 67
ANNEXES
ANNEXE 1 : LISTE DES PERSONNES AUDITIONNÉES 71
ANNEXE 2 A : MODÈLE DE RELEVÉ DE SITUATION INDIVIDUELLE 75
ANNEXE 2 B : MODÈLE D’ESTIMATION INDICATIVE GLOBALE 82
ANNEXE 3 ESTIMATION DES INVESTISSEMENTS RÉALISÉS PAR LES PRINCIPAUX RÉGIMES DE RETRAITE POUR LA MISE EN PLACE DU DROIT INDIVIDUEL À L’INFORMATION 93
I.- LES COMPTES DE LA BRANCHE VIEILLESSE
On trouvera en fin de commentaire de l’article 53 le tableau de l’évolution des prestations de tous les régimes d’assurance vieillesse-veuvage-invalidité-décès.
L’an passé, en septembre 2006, la Commission des comptes de la sécurité sociale prévoyait un déficit de la Caisse nationale d’assurance vieillesse des travailleurs salariés (CNAV) à hauteur de 2,36 milliards qui s’est révélé nettement inférieur à la clôture des comptes : – 1,85 milliard, c'est-à-dire en stabilité par rapport au résultat de l’année 2005. Ce redressement s’explique par une croissance des recettes nettes supérieure de 850 millions aux prévisions.
Pour 2007, en revanche, les estimations de recettes sont conformes à celles prévues il y a un mais les charges du régime général se sont accrues de 1,1 milliard par rapport aux prévisions initiales. De ce fait, au lieu d’afficher un déficit de 3,55 milliards, la Commission des comptes annonce un résultat net déficitaire de la CNAV de 4,58 milliards d’euros pour 2007, qui ira croissant en 2008 : – 5,6 milliards.
Résultats de la branche vieillesse (CNAV)
(en millions d’euros)
2003 |
2004 |
2005 |
2006 |
% |
2007 |
% |
2008 |
% | |
Charges nettes |
71 491 |
74 979,2 |
80 795,8 |
84 747 |
+ 5,1 |
90 084 |
+ 6,0 |
94 429 |
+ 4,8 |
Produits nets |
72 437 |
74 233,9 |
78 919,5 |
83 092 |
+ 5,3 |
85 499 |
+ 2,9 |
88 762 |
+ 3,8 |
Résultat net |
946 |
254,6 |
– 1 876,3 |
– 1 854,8 |
– 4 584,1 |
– 5 667,1 |
NB : les charges intègrent les dépenses de fonctionnement administratif, de compensation et éventuellement de provisionnement
Source : Commission des comptes de la sécurité sociale (septembre 2007).
Une nouvelle fois, les comptes du régime général pour l’exercice en cours sont profondément marqués par le coût plus élevé que les prévisions des départs anticipés pour cause de carrière longue. Contrairement aux prévisions initiales, le coût de la mesure d’équité votée en 2003 ne faiblit pas : la mesure avait créé une charge supplémentaire de 1,35 milliard d’euros dans les comptes de la CNAV pour 2005, cette charge s’est ensuite élevée à 1,8 milliard en 2006 et devrait atteindre 2,2 milliards en 2007 et 2,3 milliards en 2008. Les projections indiquent que le coût annuel de 2,3 milliards se maintiendrait jusqu’en 2010 pour ensuite descendre à 2,1 milliards en 2011 et 2 milliards en 2012.
Evolution des retraites anticipées pour longue carrière du régime général
2004 |
2005 |
2006 |
2007 |
2008 | |
Nombre de bénéficiaires |
113 141 |
102 160 |
108 233 |
111 899 |
108 970 |
Nombre de départs effectifs |
112 200 |
100 700 |
107 300 |
79 500 |
|
Coût des mesures (en M€) |
596 |
1 350 |
1 819 |
2 179 |
2 286 |
Nota : Nombre de départs effectifs en 2007 : total enregistré sur le premier semestre. Les départs anticipés diffèrent des liquidations de pension de retraite anticipée en raison des dates d’effet des attributions de pension (2 300 retraites ont été attribuées en 2003, 124 100 en 2004, 103 000 en 2005, 108 400 en 2006 et 61 900 au premier semestre 2007).
Source : CNAV (nombre de bénéficiaires et coût de la mesure) et commission des comptes de la sécurité sociale (nombre de départs effectifs).
Le nombre de retraites anticipées pour carrière longue accordées depuis la mise en place de la mesure s’élevait à 400 000 au début septembre 2007. Il en est attendu 112 000 sur l’année 2007 (il y en a eu 9 800 sur le seul mois de septembre 2007) et 109 000 sur l’année 2008. En septembre 2006, la CNAV prévoyait 95 000 départs anticipés pour longue carrière pour 2007, cet écart de 18 % avec les prévisions montre l’ampleur du phénomène.
Les comptes sont également désormais marqués depuis l’exercice 2006 par l’arrivée à l’âge de la retraite de la génération du baby boom dont l’effectif est supérieur d’un tiers à celui de la génération précédente. Cet accroissement des charges a été atténué en 2006 du fait des départs massifs en retraite anticipé en 2004 et 2005. Le régime général devrait enregistrer l’évolution suivante du nombre de départs en retraite : 640 000 en 2005, plus de 710 000 en 2006, plus de 750 000 en 2007 et autour de 750 000 en 2008.
La commission des comptes de la sécurité sociale (rapport de septembre 2006) signale que dans le régime des salariés agricoles les retraites anticipées pour longue carrière ont augmenté de 16 % en 2006, dans le régime des exploitants agricoles de 9 % mais elles ont régressé de 5 % chez les commerçants et de 2 % chez les artisans. Dans la fonction publique, leur nombre est passé de 700 en 2005 à 8 400 en 2006 grâce à l’abaissement à 58 ans au 1er juillet 2006 de l’âge d’ouverture du droit.
En application de l’article 27 de la loi du 21 août 2003, qui a modifié l’article L. 161-23-1 du code de la sécurité sociale, les pensions servies par le régime général et les régimes alignés sont revalorisées chaque année par arrêté du ministre chargé de la sécurité sociale selon l’indice des prix à la consommation hors tabac prévu en loi de finances de l’année, corrigé le cas échéant de l’écart entre l’évolution des prix observée et l’indice prévu pour l’année passée. Le législateur peut déroger à ce mécanisme comptable de revalorisation en corrigeant le taux de revalorisation dans le projet de loi de financement de la sécurité sociale suivant, sur proposition d’une conférence nationale présidée par le ministre. Le dernier « coup de pouce » est intervenu pour les pensions pour 2002 (+ 0,3 %).
Chaque année le rapporteur de la branche vieillesse constate que le pouvoir d’achat des pensions de retraite ne cesse de se dégrader face aux salaires, notamment le SMIC. Ce décrochage ne date pas de 2004 ; il était également observé avant 1994 alors même que la loi prévoyait une indexation puis une revalorisation des pensions par référence aux salaires.
Sur la période 1990–2006, le pouvoir d’achat des pensions de base du régime général s’est néanmoins amélioré puisque les prix à la consommation (hors tabac) ont augmenté de 1,66 % en moyenne annuelle tandis que les pensions ont progressé de 1,78 % en moyenne annuelle.
Le recul actuel du chômage ne doit pas masquer la gravité de la situation dans laquelle vont se trouver à l’âge de la retraite plusieurs millions d’actifs dont le niveau des pensions de retraite sera fortement abaissé en raison de la faiblesse des droits à pension qu’ils ont enregistrés depuis une quinzaine d’années. La question du niveau de vie des retraités se posera avec une particulière acuité quand les générations nées à partir du milieu des années 1960 arriveront à l’âge de la retraite. Le rapporteur attire l’attention sur l’impérieuse nécessité que les réflexions sur les réformes à venir de l’assurance vieillesse prennent en compte prioritairement la question du niveau de vie des retraités et le rapprochement d’un trop grand nombre d’entre eux du seuil de pauvreté.
M. Nicolas Sarkozy, Président de la République, s’est engagé à procéder à une revalorisation des « petites pensions ». Sont visées aussi bien les plus petites pensions servies par les régimes de retraite que le minimum vieillesse devenu l’allocation de solidarité aux personnes âgées, les petites pensions de réversion, les petites pensions d’invalidité et les pensions de veuve de guerre.
Il appartient en premier lieu à la conférence tripartite instituée par l’article 27 de la loi du 21 août 2003 d’apprécier le niveau des pensions servies par le régime général et les régimes alignés et de proposer une revalorisation supplémentaire des pensions. Sur la base de son avis, le Gouvernement prendra sa décision. Lors de son audition, en réponse à une question du rapporteur, M. Xavier Bertrand, ministre du travail, des relations sociales et des solidarités, a clairement indiqué que la décision éventuelle de revalorisation supplémentaire pourrait être prise à l’occasion du projet de loi de révision de la loi sur les retraites dont l’examen par le Parlement est prévu pour le deuxième trimestre 2008. Cette loi pourra donc déroger à la disposition de l’article 27 imposant d’attendre le prochain projet de loi de financement de la sécurité sociale pour procéder à un « coup de pouce » éventuel sur les pensions.
Taux de revalorisation des pensions de retraite du régime général
Evolution (en %) |
2000 |
2001 |
2002 |
2003 |
2004 |
2005 |
2006 |
2007 |
2008 | |
Prix hors tabac pour l’année N estimé en PLFI pour l’année N |
0,9 |
1,2 |
1,5 |
1,5 |
1,5 |
1,8 |
1,8 |
1,8 |
1,6 | |
Prix hors tabac pour l’année N–1 estimé en PLFI de l’année N |
0,5 |
1,4 |
1,6 |
1,7 |
1,7 |
1,7 |
1,8 |
1,8 |
1,3 | |
Revalorisation appliquée au 1er janvier de l’année N (par la LFSS de l’année N puis par arrêté) |
0,5 |
2,2 |
2,2 |
1,5 |
1,7 |
2,0 |
1,8 |
1,8 |
1,1 | |
décomposée |
Prévision hausse des prix pour l’année N |
0,9 |
1,2 |
1,5 |
1,5 |
1,5 |
1,8 |
1,8 |
1,8 |
1,6 |
Correction d’écart entre prévision et |
0,2 |
0,5 |
0,4 |
0,2 |
0,2 |
0,2 |
0 |
0 |
– 0,5 | |
Coup de pouce (*) |
0,3 |
0,5 |
0,3 |
– 0,2 |
0 |
0 |
0 |
0 |
||
(*) Exceptionnellement la revalorisation intervenue au 1er janvier 2003 n’a pas pris en compte le rattrapage de 0,2 % au titre de la correction d’écart constaté sur 2002.
Comparaison des évolutions des prix,
du salaire moyen brut (secteur marchand non agricole), du SMIC
et des pensions de vieillesse du régime général, en moyenne annuelle et en euros courants
Années |
Prix hors tabac |
Salaire moyen brut EB-EP (1) |
SMIC brut |
Pension moyenne du régime général (2) |
Revalorisation des pensions de vieillesse du régime général |
1990 |
100,0 |
100 |
100 |
100 |
100 |
1991 |
103,2 |
105,0 |
104,9 |
103,3 |
102,9 |
1992 |
105,6 |
108,0 |
109,1 |
106,3 |
105,2 |
1993 |
107,5 |
110,2 |
111,9 |
109,3 |
107,7 |
1994 |
109,0 |
111,6 |
114,4 |
111,8 |
109,8 |
1995 |
110,9 |
114,2 |
117,9 |
113,9 |
111,4 |
1996 |
112,9 |
116,4 |
122,2 |
116,9 |
113,9 |
1997 |
114,1 |
119,2 |
125,7 |
118,6 |
115,3 |
1998 |
114,8 |
120,9 |
129,5 |
120,3 |
116,6 |
1999 |
115,4 |
123,6 |
131,6 |
122,2 |
118,0 |
2000 |
117,2 |
126,7 |
134,5 |
124,5 |
118,6 |
2001 |
119,1 |
131,0 |
139,3 |
127,3 |
121,1 |
2002 |
121,2 |
134,1 |
143,8 |
130,5 |
123,7 |
2003 |
123,4 |
136,5 |
151,4 |
— |
125,6 |
2004 |
125,5 |
139,9 |
160,2 |
— |
127,7 |
2005 |
127,6 |
143,8 |
169,0 |
— |
130,3 |
2006 |
129,8 |
148,7 |
174,1 |
— |
132,6 |
2007 (p) |
131,5 |
153,6 |
177,7 |
— |
135,0 |
2008 (p) |
— |
136,5 |
(p) Prévisions établies en fonction des hypothèses économiques du ministère de l’économie et des finances.
(1) Ensemble du secteur privé à l’exception de l’agriculture (source : ministère de l’économie et des finances).
(2) Montant moyen des droits contributifs y compris allocation supplémentaire versée par le régime général.
Source : ministère du travail, des relations sociales et des solidarités.
En dernier lieu, conformément à l’objectif fixé par l’article 5 de la loi n° 2003-775 du 21 août 2003 portant réforme des retraites, après un premier relèvement de 3 % effectué en 2004 puis un deuxième de 3 % en 2006, le minimum contributif devrait être une dernière fois relevé de 3 % en janvier 2008 afin de pouvoir servir, cette année, une pension de retraite de base égale à 85 % du SMIC aux assurés ayant effectué une carrière complète en étant rémunérés au SMIC. Environ 250 000 personnes sont concernées.
Mais globalement le mécanisme du minimum contributif s’applique à 3,9 millions de pensions de droit direct liquidées par le régime général, soit 40 % du nombre total des pensionnés de la CNAV, et selon la direction de la recherche, des études, de l’évaluation et des statistiques (DREES) la proportion totale de pensions portées au minimum contributif, régime général et régimes alignés compris, serait de 50 %. En moyenne, le mécanisme du minimum contributif permet d’apporter un supplément mensuel de 90 euros (48 euros pour les hommes et 107 euros pour les femmes) sur un droit propre estimé à 182 euros mensuels. Les pensionnés de 65 ans et plus ayant de faibles revenus bénéficient en outre du minimum vieillesse (devenu l’allocation de solidarité aux personnes âgées) d’un montant de 621,17 euros par mois pour une personne seule (9 % des retraités dont la pension a été porté au minimum contributif recevaient le minimum vieillesse fin 2006).
Lors de son audition par la commission, M. Raphaël Hadas-Lebel, président du Conseil d’orientation des retraites (COR), a indiqué que le COR ne s’est pas prononcé sur le relèvement du minimum contributif mais l’objectif devrait être atteint à 95 % et dans les cas où le taux de 85 % du SMIC ne serait pas atteint cela serait dû essentiellement à une activité à temps partiel. Des partenaires sociaux auditionnés par le rapporteur ont indiqué que l’objectif fixé par la loi ne serait pas atteint par la dernière revalorisation de 3 % prévue pour janvier 2008. Si le taux de 85 % du SMIC sera effectivement atteint en moyen, cette moyenne dissimulera des écarts-types suffisamment importants pour faire passer sous l’objectif des milliers de pensions.
Le rapporteur tient à souligner que l’objectif du montant égal à 85 % du SMIC voté en 2003 doit s’appliquer à la totalité des assurés ayant cotisé et eu une carrière complète rémunérée au SMIC : toutes les liquidations de pension de ces assurés devraient être portées au minimum défini par la loi. Si tel n’était pas le cas, des mesures de revalorisation individualisées devraient être prises d’urgence afin de respecter l’intention claire du législateur.
Institué par la loi n° 93-936 du 22 juillet 1993, le Fonds de solidarité vieillesse (FSV) est un établissement public de l’Etat à caractère administratif qui a pour mission de « prendre en charge les avantages d’assurance vieillesse à caractère non contributif relevant de la solidarité nationale » (article L. 135-1 du code de la sécurité sociale).
À ce titre il finance les prestations suivantes avec les recettes suivantes.
Charges et recettes du Fonds de solidarité vieillesse
Charges |
Recettes |
– les allocations de minimum vieillesse, remplacées par l’allocation de solidarité aux personnes âgées en 2007, ouvertes par les 22 régimes qui les liquident (l’article 76 de la loi de financement de la sécurité sociale pour 2006 a limité le versement du complément de retraite du minimum vieillesse aux titulaires résidant sur le territoire national) ; – les majorations de pensions pour enfants (trois au moins) ou conjoint à charge servies par le régime général et les régimes alignés ; – la validation gratuite des périodes suivantes : - volontariat du service national, - chômage des allocataires de l’UNEDIC relevant du régime général et des régimes agricoles (et 29 % des chômeurs non indemnisés) : les cotisations sont calculées sur 90 % d’une assiette forfaitaire annuelle égale à 2028 fois le SMIC horaire moyen servi sur l’année, - chômage et préretraite indemnisés par l’Etat (chômeurs en fin de droits bénéficiaires de l’allocation spécifique de solidarité, des allocations spéciales du Fonds national de l’emploi et des allocations de préretraite progressive) des adhérents aux régimes de l’ARRCO et de l’AGIRC (article 49 de la loi du 17 janvier 2002 de modernisation sociale), - perception d’allocations de cessation anticipée du travail (article 30 de la loi de financement de la sécurité sociale pour 2001), - perception de l’allocation de fin de formation (article 3 de la loi du 17 juillet 2001 portant diverses dispositions d’ordre social, éducatif et culturel), - perception de l’allocation équivalent retraite (article L. 351-10-1 du code du travail), - perception de l’allocation de préparation à la retraite des anciens combattants d’Afrique du Nord, - perception par les licenciés pour cause économique de congés de reclassement pendant la période de préavis (article 119 de la loi du 17 janvier 2002 de modernisation sociale). |
– une fraction du produit de la CSG (1,3 point à l’origine, 1,15 point en 2001, 1,05 point de 2002 à 2004 et 1,03 point des 7,5 % de la CSG assise sur les revenus d’activité depuis 2005 mais toujours 1,05 point sur les autres assiettes) ; – 20 % du produit du prélèvement social de 2 % sur les revenus du patrimoine et des placements (article 31 de la loi de financement de la sécurité sociale pour 2001) ; – une fraction de la contribution sociale de solidarité des sociétés (C3S) dont l’assiette a été élargie aux entreprises publiques par l’article 19 de la loi de financement de la sécurité sociale pour 2006 ; – une participation de la CNAF pour la prise en charge des majorations de pensions pour enfants à charge correspondant à 60 % du montant de ces majorations (taux appliqué depuis 2003 ; auparavant : 15 % en 2001 et 30 % en 2002) ; – les produits des opérations de placement du FSV ; – une contribution, instituée par l’article 17 de la loi du 21 août 2003 portant réforme des retraites (article L. 137-10 du code de la sécurité sociale), sur les allocations de préretraite d’entreprise, à la charge de l’employeur, dont le taux est égal à la somme du taux de cotisation d’assurance vieillesse du régime général et du taux de cotisation plafonnée de l’ARRCO (16,35 % + 7,5 %) : produit versé à la CNAV à compter du 11 octobre 2007 (article 10 du projet de loi) ; – une contribution, instituée par l’article 115 de la loi de la loi du 21 août 2003 (article L. 137-11 du code de la sécurité sociale), sur les rentes (taux de 8 % à la charge de l’employeur) ou sur les primes ou dotation aux provisions correspondant au coût des services (taux de 6 % à la charge de l’employeur) des régimes de retraite conditionnant la constitution de droits à prestations à l’achèvement de la carrière du bénéficiaire dans l’entreprise et dont le financement par l’employeur n’est pas individualisable par salarié ; – à titre exceptionnel, les fonds consignés au 31 décembre 2003 sur un compte de la Caisse des dépôts et consignations au titre de la compensation généralisée (article 8 de la loi du 21 août 2003). |
Jusqu’en 2000 le FSV a été continûment bénéficiaire. Cependant, depuis 2001, ses missions ont été fortement étendues et ses recettes modifiées, ce qui a généré des déficits ; la mauvaise conjoncture économique a amplifié ces effets.
Les comptes du FSV se redressent plus rapidement que prévu par la commission des comptes de la sécurité sociale en septembre 2006 : au lieu d’un déficit de 664 millions d’euros pour 2007, le résultat net ne sera négatif que de 292 millions. L’amélioration tient essentiellement à la progression des produits du FSV, sous l’impulsion de la CSG qui représente 78 % des recettes du fonds (+3,5 % en 2006 et + 4,2 % en 2008). Parallèlement les charges progressent peu ou régressent grâce au recul du chômage et à la stabilisation puis eu repli du minimum vieillesse devenu en 2007 l’allocation de solidarité aux personnes âgées (621,27 euros par mois pour les personnes seules en 2007 ; 622 000 bénéficiaires au titre du droit vieillesse fin 2006).
Il faut néanmoins rappeler que la situation comptable du FSV est très dépendante de la situation de l’emploi : 100 000 chômeurs accroissent les charges du FSV de 250 millions d’euros.
Compte de résultat du FSV
(en millions d’euros et en droits constatés)
2003 |
2004 |
2005 |
2006 |
2007 (p) |
2008 (p) |
% | |
Produits |
12 473,9 |
13 362,9 |
12 663,5 |
13 551,2 |
14 024,3 |
14 739,5 |
+ 5,1 |
CSG |
9 297,4 |
9 561,6 |
9 921,9 |
10 572,4 |
10 947,6 |
11 410,8 |
+ 4,2 |
C3S |
921,5 |
1 300,0 |
200,0 |
240,0 |
250,0 |
400,0 |
+ 60,0 |
Prélèvement social 2 % sur capital |
350,0 |
382,3 |
388,0 |
476,9 |
463,6 |
476,4 |
+ 2,8 |
Autres cotisations et contributions |
0 |
7,0 |
44,6 |
52,1 |
52,0 |
52,0 |
0,0 |
Versement de la CNAF |
1 874,6 |
1 964,8 |
2 087,1 |
2 185,0 |
2 283,6 |
2 372,8 |
+ 3,9 |
Reprises sur provisions et produits financiers et exceptionnels |
|
|
|
|
|
|
|
Charges |
13 407,5 |
14 001,9 |
14 668,2 |
14 810,6 |
14 316,1 |
14 254,4 |
– 0,4 |
Cotisations chômage prises en charge |
7 355,4 |
7 908,3 |
8 349,5 |
8 238,5 |
7 604,1 |
7 462,1 |
– 1,9 |
dont versement à l’AGIRC et ARRCO |
456,6 |
464,3 |
415,8 |
399,1 |
418,0 |
432,0 |
+ 3,3 |
Autres cotisations prises en charge (*) |
6,4 |
12,1 |
5,7 |
4,8 |
3,6 |
3,6 |
|
Minimum vieillesse |
2 504,2 |
2 539,6 |
2 604,8 |
2 680,4 |
2 650,8 |
2 579,5 |
– 2,7 |
Majorations de pensions de retraite |
3 199,8 |
3 349,1 |
3 551,9 |
3 715,2 |
3 882,9 |
4 034,6 |
+ 3,9 |
Autres charges (techniques, financières et exceptionnelles) |
|
|
|
|
|
|
|
RÉSULTAT NET |
– 933,7 |
– 639,0 |
– 2 004,7 |
– 1 259,4 |
– 291,8 |
+ 485,2 |
– 266 |
Versement au FRR |
0 |
0 |
0 |
0 |
0 |
0 |
|
SOLDE CUMULÉ |
– 1 056,8 |
– 1 695,8 |
– 3 700,5 |
– 4 959,9 |
– 5 251,7 |
– 4 766,5 |
(*) Cotisations prises en charge au titre du service national et au titre des anciens combattants. A partir 2006, le coût des avantages versés au bénéfice des anciens combattants devient nul.
Le rétablissement de l’équilibre du FSV est une bonne nouvelle pour les comptes publics mais plus particulièrement pour la CNAV qui subissait et subit encore les difficultés de trésorerie du FSV : 86 ,2% des prises en charge assumées par le FSV en 2006 bénéficient aux assurés relevant du régime général, soit environ un sixième du financement des prestations vieillesse de la CNAV, et contraint le régime général à emprunter pour verser les droits financés jusqu’à dix-huit mois de retard par le FSV (cf. rapport de l’an dernier). L’ACOSS évalue à 160 milliards d’euros la charge financière supportée par la CNAV (via l’ACOSS) en 2006.
C’est également une bonne nouvelle pour le Fonds de réserve des retraites (FRR) qui est le destinataire légal de tout ou partie des excédents du FSV ; mais ce ne sera qu’à partir de 2012, lorsque la dette cumulée aura été résorbée, que le FRR pourra être destinataire des excédents. Le transfert des excédents est en tous les cas déclenché par un arrêté interministériel et le gouvernement peut décider d’u autre emploi des fonds disponibles.
Le Fonds de réserve pour les retraites (FRR) a été institué par l’article 2 de loi du 23 décembre 1998 de financement de la sécurité sociale pour 1999. En application de l’article 6 de la loi n° 2001-624 du 17 juillet 2001, il a pris la forme d’un établissement public à caractère administratif de l’Etat. Son objet est de contribuer à la consolidation du financement des retraites servies par le régime général et les régimes alignés en constituant des provisions destinées à pérenniser le système par répartition au moment où la transition démographique difficile pour les comptes du régime général à partir de 2020 entraînera un doublement du besoin de financement (2 % du PIB en 2020, 4 % vers 2040, avec un déficit de la CNAV passant de 11 milliards d’euros en 2020 à près de 37 milliards en 2040). Le FRR est donc un outil parmi d’autres permettant de consolider le régime général de retraite par répartition et doit être appréhendé comme un fonds de lissage financier.
Le rapporteur a longuement analysé la situation et la mission du FRR dans son rapport sur le projet de loi de financement de la sécurité sociale pour 2006 (n° 3384 - tome 4, pages 17 à 25).
La mission du FRR doit être réaffirmée : la constitution de réserves doit faciliter la mise en œuvre des réformes du système des retraites par répartition face au choc démographique attendu pour les années 2020-2050. La mission du FRR doit donc avant tout être conçue comme une mission de lissage de tout ou partie de cette période de transition afin d’éviter de limiter le pilotage des régimes à un allongement de la durée de cotisation, une réduction des taux de remplacement et une augmentation des taux de cotisation.
Simulation des contributions potentielles du FRR au financement
des quatre régimes éligibles de 2020 à 2040
(hypothèse d’un taux de chômage de 7 % à partir de 2015)
Abondement annuel de 2006 à 2020 |
Taux de couverture des besoins |
Réserves disponibles en 2020 |
1,3 milliard d’euros |
22 % |
94 milliards (71 milliards en euros constants) |
3,7 milliards d’euros |
36 % |
151 milliards (115 milliards en euros constants) |
6,1 milliards d’euros |
50 % |
208 milliards (158 milliards en euros constants) |
Source : FRR, juin 2006 (présentation au Conseil d’orientation des retraites). Chiffres calculés sur la base du scénario central du Conseil d’orientation des retraites.
Ces simulations reposent sur une exigence cardinale : maintenir l’abondement minimal du FRR et ne pas modifier le périmètre d’emploi des réserves. Sans ces réserves, les besoins de financement des CNAV, MSA salariés, ex-CANCAVA et ex-ORGANIC imposeraient de fortes croissances des taux de cotisation jusqu’en 2040 et dans une moindre mesure entre 2040 et 2050. Celles-ci seraient contraires au principe d’équité entre les générations et créeraient de fortes tensions sur le marché du travail en raison de la part substantielle occupée par ces prélèvements obligatoires dans le coût du travail. Cette mission de lissage devrait conduire à décider d’un déblocage des réserves sur l’ensemble de la période courant de 2020 à 2050 que seuls les scénarios d’abaissement du taux de chômage à 4,5 ou à 7 % en 2015 rendent possibles avec certitude.
En l’état du droit, ces réserves sont constituées pour le financement des retraites des assurés du régime général (CNAV), des salariés agricoles (MSA salariés), des artisans (ex-CANCAVA) et des professions industrielles et commerçants (ex-ORGANIC). Elles ne peuvent être libérées qu’à partir de 2020, en application de l’article L. 135-6 du code de la sécurité sociale.
Pour conserver une efficacité à cette mission de lissage, il est indispensable de maintenir ce périmètre, d’autant plus que les fonctionnaires disposent des budgets des collectivités publiques pour consolider leurs pensions de retraite (rappelons que leurs pensions sont financées à hauteur de 85 % par des contributions publiques) et en quelque sorte leur assurer un versement quels que soient les effectifs cotisants et que les professions libérales et les exploitants agricoles ont fait le choix d’un système indépendant de retraite fondé sur une gestion propre aux besoins et attentes des professionnels. En outre, si le régime des fonctionnaires était englobé, la séparation entre le FRR et le budget de l’Etat s’effacerait et la tentation d’une affectation d’une partie des actifs du FRR au Trésor public pourrait devenir une réalité.
L’efficacité de gestion du FRR n’est plus à démontrer : placer 1,5 milliard d’euros par an dans le FRR à compter de 2008 permet de générer en moyenne 19 milliards d’euros de gains financiers en 2020. Ce rendement de 6,5 % en nominal constitue une véritable création de richesse plus utile et plus rentable pour la collectivité nationale qu’un remboursement de la dette publique à hauteur des abondements annuels, minimes et insuffisants, du FRR.
Le Conseil d’orientation des retraites a maintenu sa confiance dans la stratégie de constitution de réserves au sein du FRR.
Le rendez-vous de 2008 doit, pour le rapporteur, être l’occasion de confirmer le rôle du FRR et de définir clairement les fonctions qui sont attendues du déblocage des réserves à compter de 2020. en fonction des objectifs de décaissement annuel, de durée de vie du fonds et des prévisions d’abondement.
En avril 2003, une stratégie d’allocation des fonds a fixé la répartition de placement des actifs suivante : 55 % en actions (dont un tiers hors de la zone euro) et 45 % en obligations. En mai 2006, une nouvelle allocation stratégique a été décidée pour s’adapter à l’évolution des rendements sur les marchés financiers (une augmentation de 0,3 point par an sur le long terme est attendue) et réduire un peu les risques de placement : 60 % en actions (33 % en zone euro et 27 % hors zone euro), 30 % en obligations (21 % en zone euro et 9 % hors zone euro) et 10 % en actifs de diversification.
Au 30 juin 2007, 59,9 % des fonds, soit 20,0 milliards d’euros, étaient investis en actions (24,8 % hors zone euro), 38,3 % en obligations, soit 12,8 milliards, 0,9 % en trésorerie, soit 0,3 milliard et 0,9 % en actifs de diversification, soit 0,3 milliard, nouvelle facilité ouverte par l’article 19 de la loi de financement de la sécurité sociale pour 2007 (le décret du 10 août 2007 a donné un cadre réglementaire aux dispositions législatives qui ont permis des placements à hauteur de 350 millions d’euros sur les marchés de matières premières avec un rendement supérieur à 10 %). A partir de mai-juin 2007, le directoire du FRR a réduit les placements en actions pour se reporter vers les obligations, ce qui a conduit à ramener la part des actions à 60 % alors qu’elle avait atteint 63-65 %, ce qui a limité les pertes au cours de l’été.
Depuis le lancement de ses opérations de placement, la performance nette de tous frais dépasse 10 % lorsqu’elle est rapportée à l’année. Par comparaison, le coût des obligations assimilables du Trésor (OAT), indicateur du coût de l’endettement de l’Etat, est de 4,4 % par an. Chaque placement auprès du FRR se traduit donc, pour la collectivité, par un bénéfice financier de 6,4 % sur les fonds alloués par l’Etat.
Sur les neuf premiers mois de l’année 2007, malgré la crise financière, une performance nette de 5,8 % a pu être maintenue.
Les ressources du FRR, définies à l’article L. 135-7 du code de la sécurité sociale, sont les suivantes :
– une fraction du solde du produit de la contribution sociale de solidarité à la charge des sociétés (C3S) ;
– le versement de tout ou partie des excédents du FSV ;
– le versement de l’excédent de la CNAV au titre du dernier exercice clos, une partie de ce versement pouvant être anticipé en cours d’exercice ;
– une fraction égale à 65 % du prélèvement social de 2 % portant sur les revenus du patrimoine et les produits de placement ;
– les versements du compte d’affectation spéciale des « produits de cessions de titres, parts et droits de sociétés » prévus au budget de l’Etat, correspondant à une partie des produits des privatisations effectuées par l’Etat ;
– toute autre ressource affectée au FRR, notamment, en 2001 et 2002, le produit de la vente des licences UMTS (téléphonie mobile de troisième génération) et le produit de la vente des actifs des caisses d’épargne ;
– deux catégories de ressources (à faible rendement) prévues par la loi n° 2001-152 du 19 février 2001 sur l’épargne salariale : une contribution de 8,2 % sur la part de l’abondement de l’employeur supérieur à 2 300 euros au plan partenarial d’épargne salariale volontaire ; les montants d’intéressement et de participation non réclamés par les salariés et reçus par la Caisse des dépôts et consignations au terme du délai de prescription trentenaire ;
– les produits des placements du FRR.
Par ailleurs, l’article 56 de la loi de financement de la sécurité sociale pour 2005 a créé une seconde section au sein du FRR qui est exclusivement destinée à la gestion de la fraction de la soulte due par les industries électriques et gazières (IEG) pour la couverture des coûts résultant de l’adossement de leur régime spécial de retraite à la CNAV et financée par un versement des entreprises (par opposition à la fraction financée par la contribution tarifaire perçue sur le transport de l’énergie). Ces fonds visent à garantir la neutralité financière de l’opération d’adossement vis-à-vis des cotisants du régime de base. Ils correspondent à 40 % du montant de la soulte totale due par le secteur des IEG ; 3,06 milliards d’euros ont été versés au FRR en 2005 et ont été placés. Le FRR doit effectuer des versements chaque année de 2005 à 2025, par vingtième, à la CNAV au fur et à mesure de ses besoins financiers, selon des modalités arrêtées par le gouvernement.
Compte de résultat du fonds de réserve pour les retraites
(en millions d’euros et en droits constatés)
1999 |
2000 |
2001 |
2002 |
2003 |
2004 |
2005 |
2006 |
2007 |
2008 | |
RESSOURCES nettes |
306,4 |
2 901,5 |
3 826,3 |
5 808,2 |
3 645,7 |
2 533,6 |
2 877,0 |
4 595,8 |
3 273,7 |
3 719,0 |
Prélèvement 2 % sur revenus du capital |
|
|
|
|
|
|
|
|
|
|
Versement CNAV |
— |
767,4 |
483,5 |
1 518,2 |
1 659,0 |
945,9 |
254,6 |
0 |
0 |
0 |
Versement caisses d’épargne |
|
|
|
|
|
|
|
|||
Privatisations (ASF, Crédit lyonnais) |
|
|
|
|
|
|
|
|||
UMTS |
— |
— |
1 238,4 |
619,2 |
0 |
— |
0,1 |
2,8 |
11,0 |
|
Divers (C3S, CDC, FSV, réserves Mayotte) * |
|
|
|
|
|
|
|
|
|
|
Assurance vie en deshérence |
|
|
|
|
|
|
|
|
|
|
Soulte des IEG |
||||||||||
Total abondements |
304,9 |
2 868,4 |
3 663,0 |
5 571,2 |
3 326,4 |
2 158,0 |
1 529,3 |
1 545,2 |
1 573,7 |
1 704,0 |
Produits financiers |
1,5 |
33,1 |
163,3 |
237,0 |
319,3 |
375,6 |
1 347,7 |
3 050,6 |
1 700,0 |
2 015,0 |
Produits de trésorerie courante |
|
|
|
|||||||
Produits de gestion financière |
|
|
|
|||||||
Produits exceptionnels |
— |
— |
— |
— |
— |
0,5 |
0,8 |
0,2 |
0 |
|
Soulte des IEG |
— |
— |
— |
— |
— |
— |
3 060,0 |
3 144,1 |
3 441,3 |
|
CHARGES nettes |
0,2 |
3,4 |
21,9 |
3,6 |
13,7 |
33,4 |
622,6 |
917,5 |
603,2 |
650,0 |
Frais de gestion administrative |
|
|
|
|
|
|
|
|
|
|
Fiscalité |
0,2 |
3,4 |
15,7 |
0 |
0 |
0 |
0 |
0 |
||
Charges sur cession de titres |
|
|
|
|
|
|
|
|
|
|
Charges exceptionnelles |
0 |
0 |
0 |
0 |
0 |
0 |
0,2 |
0 |
0 |
|
RÉSULTAT NET |
|
|
|
|
|
|
|
|
|
|
RÉSULTAT NET |
|
|
|
|
|
|
|
|
|
|
SOLDE CUMULÉ |
|
|
|
|
|
|
|
|
|
|
SOLDE CUMULÉ |
|
|
|
|
|
|
|
|
|
* 305 M€ en 1999 pour le versement de C3S, 457 M€ en 2000 pour le versement de la Caisse des dépôts, 287 M€ en 2001 pour l’excédent du FSV, 0,1 M€ pour 2002 pour une contribution d’épargne salariale et un versement de la Caisse des dépôts, 82 M€ en 2003 pour le reversement des réserves de la caisse de Mayotte, 0,5 M€ pour 2004 pour une contribution d’épargne salariale et un versement de la Caisse des dépôts, 3,2 M€ pour 2005 pour une contribution d’épargne salariale et un versement de la Caisse des dépôts.
NB : L’abondement de l’excédent pour 2004 de la CNAV a été incorporé dans les comptes du FRR pour 2005. La fraction de soulte versée par les industries électriques et gazières en juin 2005 a été comptabilisée dans les ressources du FRR ; elle fait toutefois l’objet, dans ses comptes de produits, de lignes comptables spécifiques, mais les fonds sont traités financièrement comme les autres ressources.
Source : Fonds de réserve des retraites (pour les abondements de 1999 à 2004), direction de la sécurité sociale (septembre 2007) et commission des affaires culturelles, familiales et sociales de l’Assemblée nationale.
II.– LE DROIT À L’INFORMATION DES ASSURÉS
SUR LEUR RETRAITE
La loi n° 2003-775 du 21 août 2003 portant réforme des retraites a donné naissance à un nouveau droit pour tous les assurés relevant d’un régime de retraite français : celui d’être informé sur l’état de leurs droits individuels à pension de retraite, aussi bien les droits accumulés au cours de leur carrière professionnelle que le total des droits susceptibles d’être réunis à leur départ en retraite.
Le droit de tout assuré à être informé sur sa retraite a la particularité d’être le seul droit de la loi du 21 août 2003 à s’appliquer à tous les assurés sociaux, quel que soit le régime d’assurance vieillesse auquel ils sont affiliés.
Le rapporteur ne souhaite pas revenir en détail sur les motifs ayant conduit à adopter ces dispositions figurant à l’article 10 de la loi du 21 août 2003. Pour mémoire, ce droit général à l’information est devenu impératif pour les raisons suivantes :
– les assurés sont désormais conduits à avoir une mobilité professionnelle qui entraîne de plus en plus fréquemment des changements de régime d’affiliation au cours de leur carrière professionnelle, ce qui complexifie le calcul des droits à pension sur le long terme ;
– la généralisation progressive des régimes complémentaires obligatoires (1) a accru la complexité de la détermination des droits globaux pour les assurés, d’autant plus qu’ils reposent sur des modes de calcul très différents par rapport aux principaux régimes de base ;
– l’étanchéité de la gestion, par trente-huit organismes en 2003 et désormais trente-six, des principaux régimes de retraite français et leur autonomie (hors les régimes alignés sur le régime général), qui imposaient de recueillir des renseignements régime par régime, rendent inextricable le calcul par l’assuré de ses droits globaux lorsque sa carrière l’a conduit à passer d’un régime à un autre ; un mécanisme assurant la coordination de ces organismes doit pouvoir effacer, pour l’assuré, la complexité du recueil des informations et des mécanismes de calcul de ses droits à pension de retraite ;
– les possibilités nouvelles pour l’assuré de définir un départ en retraite avancé ou retardé introduit une variable importante et difficilement évaluable par l’assuré pour l’estimation de ses droits globaux au moment de son départ à la retraite ;
– l’instauration des règles de décote et de surcote par la loi du 21 août 2003 rend très complexe pour les assurés le calcul de leurs droits globaux à pension de retraite ;
– les nouvelles règles de l’assurance vieillesse tendent à faire de l’assuré un acteur de la constitution de ses droits à pension grâce aux nouveaux avantages d’épargne retraite et à ses possibilités d’avancement ou de retard de son départ en retraite : il devient indispensable pour qu’il puisse exercer pleinement les nouvelles facilités offertes par la loi de lui fournir tous les éléments de nature à lui permettre de prendre ses décisions : l’assuré ne saurait plus être l’individu passif face aux caisses de retraite qui consentaient à donner, au moment où elles le jugeaient propice, c’est-à-dire très tardivement, à l’approche de la retraite, les informations sur leur situation individuelle.
En ce sens, la loi du 21 août 2003 a voulu définir une véritable nouvelle mission de service public : l’information, par un document unique et global, de tout assuré sur sa situation individuelle au regard des droits à pension de retraite qu’il a accumulés et sur l’estimation de ses droits futurs au moment choisi de son départ en retraite.
Avant 2003, l’article L. 161-17 du code de la sécurité sociale définissait un droit à l’information très relatif. La rédaction du dispositif (son premier alinéa) résultait de l’article 20 de la loi n° 75-3 du 3 janvier 1975 portant diverses améliorations en matière de pensions ou allocations des conjoints survivants, des mères de famille et des personnes âgées :
« Les caisses et services gestionnaires de l'assurance vieillesse sont tenus d’adresser périodiquement, à titre de renseignement, à leurs ressortissants, les informations nécessaires à la vérification de leur situation au regard des régimes dont ils relèvent. La périodicité de cette information devra être, en tout état de cause, de durée inférieure au délai de prescription des créances afférentes aux cotisations sociales. »
Ce dispositif a été complété par l’article 9 du décret n° 82-628 du 21 juillet 1982 portant application dans le régime général de la sécurité sociale de l’ordonnance n° 82-270 du 26 mars 1982 (abaissement de l’âge de la retraite) et du titre I de l’ordonnance n° 82-290 du 30 mars 1982 (limitation des possibilités de cumul) qui a introduit un deuxième alinéa ainsi rédigé :
« Sans préjudice des dispositions de l’alinéa précédent, les caisses et services gestionnaires des régimes de base obligatoires d’assurance vieillesse sont tenus d’adresser à leurs ressortissants, au plus tard avant un âge fixé par décret en Conseil d’Etat, un relevé de leur compte mentionnant notamment les durées d’assurance ou d’activité prises en compte pour la détermination de leurs droits à pension de retraite. »
Jusqu’en 2003, la rédaction de ces deux alinéas n’a été modifiée que pour assurer la codification de ces dispositions dans le code de la sécurité sociale, qui a été opérée par le décret n° 85-1353 du 17 décembre 1985.
La portée du dispositif du premier alinéa de l’article L. 161-7 du code de la sécurité sociale a été considérablement limitée par l’interprétation qu’en a donnée la Cour de cassation. En vertu d’un arrêt de sa chambre sociale du 30 janvier 1992, la Cour de cassation a en effet considéré que les caisses d’assurance vieillesse pouvaient satisfaire à l’obligation de renseignement par une information collective pouvant être fournie par voie de presse. Les renseignements pouvaient même être fournis au moyen des plaquettes d’information éditées par les caisses. Le dispositif ne faisait donc peser aucune obligation d’information périodique individuelle. Le renseignement individuel ne devait être fourni qu’en cas de demande expresse de l’assuré.
L’obligation plus précise mentionnée au second alinéa de l’article L. 161-17 n’était supportée que par les régimes de base obligatoires d’assurance vieillesse. En outre, l’article R. 161-10 de ce même code a précisé que l’envoi du relevé de compte devait être effectué à partir du moment où l’assuré atteignait l’âge de 59 ans. De ce fait, l’information, déjà parcellaire puisque exempte des droits à pension tirés des retraites complémentaires, relevait plus d’un moyen pour les caisses et services de pensions de vérifier auprès des prochains retraités leur situation familiale et professionnelle et leurs durées d’assurance ou d’activité prises en compte pour la détermination de leurs droits à pension de retraite. C’était tout sauf une procédure permettant aux assurés de préparer leur retraite sur le long terme au cours de leur carrière.
Néanmoins, la CNAV ainsi que la Caisse nationale des barreaux français (CNBF) avaient mis en place un dispositif plus poussé que ne le prévoyait la loi pour informer individuellement leurs ressortissants des données de carrière et de situation personnelle utilisées pour déterminer les droits à pension qu’ils avaient réunis ; cela se traduisait par une communication de véritables « tableaux de bord » des droits à pension enregistrés auprès du régime. Avant 2007, la plupart des organismes de retraite proposaient à leurs assurés des moteurs de calcul des droits à pension enregistrés dans le ou les régimes dont ils assurent la gestion. De ce point de vue, les droits définis par l’article 10 de la loi du 21 août 2003 constituent une généralisation et un approfondissement de leurs pratiques.
Dès son rapport du 6 décembre 2001, le Conseil d’orientation des retraites (COR) a souligné le rôle éminent que doit tenir l’information individuelle des assurés au cours de leur vie professionnelle : « La question du droit à l’information est loin d’être une question de simple bonne volonté des caisses. Elle pose des problèmes techniques et juridiques. Elle a cependant une telle importance que l’examen de ces questions doit être engagé rapidement ».
Le législateur de 2003 a ainsi poursuivi cinq objectifs :
– rendre automatique et individualisée l’information destinée aux assurés ; celle-ci doit leur permettre non seulement de faire le point sur les éléments de calcul des droits à pension de retraite qu’ils ont réunis – et donc intervenir suffisamment tôt dans sa gestion des droits futurs – mais également de disposer d’une estimation indicative du montant des droits globaux qu’ils pourront obtenir au moment de leur départ à la retraite ;
– généraliser l’information à tous les droits à pension en englobant les régimes complémentaires obligatoires ;
– simplifier les procédures pour les assurés en désignant une caisse ou un service coordinateur de la fourniture de l’information globale sur tous leurs droits à pension ;
– permettre des échanges d’informations fluides entre les régimes en coordonnant les bases de données gérées par les différents régimes et en interconnectant les systèmes informatiques des régimes afin que chaque régime puisse fournir à un assuré une estimation globale de ses droits à pension ;
– assurer la transparence vis-à-vis des assurés du fonctionnement de l’assurance vieillesse.
Deux droits à l’information ont été définis par la loi du 21 août 2003 :
– la fourniture, automatique et périodique à partir d’un certain âge ou sur demande de l’assuré, d’un relevé de situation individuelle au regard de l’ensemble des droits que l’assuré s’est constitué auprès des régimes de retraite obligatoires ;
– la fourniture automatique et périodique à partir d’un certain âge d’une estimation indicative globale du montant des pensions de retraite que l’assuré sera susceptible d’obtenir à son départ à la retraite de la part des régimes de retraite obligatoires où des droits à pension ont été constitués.
Désormais, en application de l’article 10 de la loi du 21 août 2003 (article L. 161-17 du code de la sécurité sociale), le droit d’obtenir un relevé sur sa situation individuelle au regard de ses droits à pensions de retraite bénéficie à tous les assurés relevant d’un régime de retraite légalement ou réglementairement obligatoire. Le même champ s’applique au droit d’obtenir une estimation indicative globale des droits à pension. L’article R. 161-10, dans sa rédaction résultant du décret n° 2006-708 du 19 juin 2006, dresse la liste de ces régimes, organismes, institutions ou services :
– le régime général de la sécurité sociale et le régime des salariés agricoles (CNAV et Caisse centrale de la Mutualité sociale agricole) ;
– les institutions adhérentes l’Association générale des institutions de retraite des cadres (AGIRC) et de l’Association des régimes de retraite complémentaire (ARRCO) ;
– la Caisse de retraite du personnel navigant professionnel de l’aéronautique civile (CRPN, qui est un régime de retraite complémentaire) ;
– la CAVIMAC (organisme chargé de la gestion du régime des ministres des cultes et des membres des congrégations et collectivités religieuses) ;
– les organismes chargés des professions non salariées de l’agriculture (Caisse centrale de la MSA), de l’artisanat (CANCAVA), du commerce et de l'industrie (ORGANIC) et des professions libérales (CNAVPL et ses sections) ;
– la Caisse nationale des barreaux français (CNBF) ;
– l’Institution de retraite complémentaire de l’enseignement et de la création (IRCEC : caisse gérée par la CREA qui a été rattachée à la CIPAV à compter de 2004, qui gère le régime d’assurance vieillesse complémentaire commun aux artistes graphiques et plastiques et aux professeurs de musique, musiciens, auteurs et compositeurs) ;
– la Caisse des dépôts et consignations au titre de la gestion des retraites des agents relevant ou ayant relevé de la Caisse nationale de retraite des agents des collectivités locales (CNRACL), de l’Institution de retraite complémentaire des agents non titulaires de l’Etat et des collectivités publiques (IRCANTEC), du régime minier et du régime des personnels de la Caisse autonome nationale de sécurité sociale dans les mines (CANSSM), du Fonds spécial de pension des ouvriers des établissements industriels de l’Etat (FSPOEIE) et du régime public de retraite additionnel obligatoire (retraite additionnelle de la fonction publique : RAFP) ;
– les régimes spéciaux de retraite mentionnés aux articles R. 711-1 et R. 711-24 du code de la sécurité sociale, à savoir les régimes applicables aux régimes suivants :
1º administrations, services, offices, établissements publics de l’Etat, les établissements industriels de l’Etat et l’Imprimerie nationale (qui ne gère plus que des assurés retraités), pour les fonctionnaires, les magistrats et les ouvriers de l’Etat (service des pensions de l’Etat, FSPOEIE, régime de l’Imprimerie nationale) ;
2º régions, départements et communes (CNRACL) ;
3º établissements publics départementaux et communaux n’ayant pas le caractère industriel ou commercial (CNRACL) ;
4º activités qui entraînent l’affiliation au régime d’assurance des marins français (Caisse de retraites des marins gérée par l’Etablissement national des invalides de la marine) ;
5º entreprises minières et les entreprises assimilées (Caisse autonome nationale de la sécurité sociale dans les mines : CANSSM), à l’exclusion des activités se rapportant à la recherche ou à l’exploitation des hydrocarbures liquides ou gazeux ;
6º la société nationale des chemins de fer français (service interne à la SNCF) ;
7º chemins de fer d’intérêt général secondaire et d’intérêt local et tramways ;
8º exploitations de production, de transport et de distribution d’énergie électrique et de gaz (Caisse nationale des industries électriques et gazières : CNIEG) ;
9º Banque de France (caisse de pensions interne à la banque) ;
10º Théâtre national de l’Opéra de Paris (Caisse de retraites des personnels de l’Opéra national de Paris) et la Comédie française (CRPCF) ;
11° par renvoi de l’article R. 711-24 : les clercs et employés de notaires (Caisse de retraite et de prévoyance des clercs et employés de notaires : CRPCEN), les agents relevant de la Caisse de retraites du personnel de la RATP, les assurés de la Caisse de retraites du personnel du port autonome de Strasbourg (seul régime spécial de port autonome subsistant à ce jour).
Le groupement d’intérêt public Info-Retraite est également membre sui generis du GIP du fait qu’il est propriétaire des applications d’échange des données entre les organismes de retraite.
Seuls les assurés de quelques régimes spéciaux sont donc écartés du champ d’application du dispositif : on peut citer les quatre caisses de retraite des assemblées parlementaires (députés, sénateurs, personnels des deux assemblées) gérées par l’Assemblée nationale et le Sénat, la caisse de retraite des membres du Conseil économique et social, la Caisse de retraite pour la France à l’extérieur (régime complémentaire), les multiples régimes spéciaux locaux d’Alsace-Moselle, l’Institut de retraite des cadres et assimilés de la France et de l’extérieur (régime complémentaire), le régime spécial des salariés du secteur privé et salariés du secteur public de Mayotte, le régime spécial bénéficiant aux personnes exerçant une activité professionnelle dans la collectivité de Saint-Pierre-et-Miquelon et ne relevant pas d’un autre régime d’assurance vieillesse obligatoire de base.
Par ailleurs, le décret n° 2006-708 du 19 juin 2006 n’a visé dans la liste des régimes concernés qu’un seul régime de retraite supplémentaire obligatoire alors même que la loi applique le dispositif d’information à tous les « régimes de retraite légalement obligatoires » et que l’article 1er du décret n° 2006-709 du 19 juin 2006 donne le bénéfice du droit à l’information aux personnes ayant relevé ou relevant « d’un régime de retraite légalement ou réglementairement obligatoire ou rendu obligatoire par la loi » (article D. 161-2-1-2 du code de la sécurité sociale).
L’Etablissement de retraite additionnelle de la fonction publique (RAFP) est le seul organisme de retraite supplémentaire obligatoire à figurer parmi les membres du GIP. Cependant, le régime de retraite des auteurs et compositeurs lyriques (RACL) et le régime de retraite des auteurs et compositeurs dramatiques et auteurs de films (RACD) doivent être analysés comme des régimes complémentaires obligatoires et non comme des régimes supplémentaires – un artiste pouvant être astreint à cotiser à trois régimes complémentaires suivant son activité : IRCEC, RACL et RACD – : ces deux régimes sont gérés par l’IRCEC, membre du GIP, qui adressera à ses assurés l’état de leurs droits au regard de ces trois régimes complémentaires (2).
De même, chacune des cinq sections professionnelles de la CNAVPL assurant la gestion d’un régime obligatoire d’avantage social vieillesse (ASV), qui a le statut de régime supplémentaire obligatoire, adressera aux membres des cinq professions de santé concernés l’état de leurs droits aussi bien au titre du régime complémentaire que du régime supplémentaire qui fournit d’ailleurs souvent 35 à 40 % de leurs droits globaux à pension de retraite.
Le deuxième alinéa de l’article L. 161-17 du code de la sécurité sociale impose aux régimes de retraite obligatoires en vertu d’une disposition législative ou réglementaire (cf. analyse ci-dessus) d’adresser périodiquement à chacun de leurs assurés un relevé de situation individuelle contenant les données permettant de déterminer les droits à pension qu’ils se sont constitués dans chacun de ces régimes. L’obligation a été étendue par l’article D. 161-2-1-2 du code de la sécurité sociale (article 1er du décret n° 2006-709 du 19 juin 2006) aux assurés ayant cotisé ou cotisant à ces régimes sur la base du volontariat.
Le relevé de situation individuelle est conçu comme un relevé de carrière professionnelle et un état des éléments de situation personnelle et familiale dont la finalité est de permettre à chaque assuré de vérifier tous les éléments factuels utilisés par les organismes et services de pensions pour la liquidation future de leurs droits à pension. Le relevé de situation individuelle contient uniquement des informations dont disposent ces organismes et services ; il n’a pas pour objet de collecter auprès des assurés des données pour le calcul de leurs droits. Il ne constitue donc en aucun cas une sollicitation en vue de l’établissement de leurs droits. Un exemple de relevé est reproduit en annexe du présent rapport.
La loi précise que ce document est adressé « à titre de renseignement ». Il n’engage donc pas les caisses sur le montant des droits accordés à la liquidation de la pension. Le relevé indique la date à laquelle les éléments de la situation individuelle ont été déterminés.
Chaque assuré ne recevra pas autant de relevés qu’il a été ou est affilié à des caisses de retraite gestionnaires de régimes de base ou complémentaires légalement ou réglementairement obligatoires : de préférence à un tableau unique retraçant la situation de l’assuré tous régimes confondus, qui aurait eu une présentation très complexe, le GIP Info-Retraite a opté pour l’envoi d’un document unique contenant autant de feuillets que de régimes de retraite où des droits à pension ont été enregistrés. Ces feuillets sont introduits par une lettre de présentation signée par les responsables des seuls régimes expéditeurs (régime unique ou régime de base et régimes complémentaires) qui sont les derniers régimes où l’assurer a enregistré des droits. Cette lettre contient les coordonnées téléphoniques et internet de l’interlocuteur de l’assuré.
L’envoi du relevé est automatique selon une périodicité décrite ci-après mais l’article D. 161-2-1-3 du code de la sécurité sociale permet à tout assuré d’obtenir, sur sa demande, un relevé de situation individuelle. Ce dispositif a avant tout été conçu pour permettre aux assurés de prendre à temps les décisions nécessaires afin de préparer leur retraite en toute connaissance de cause.
L’article D. 161-2-1-4 dresse la liste des informations devant figurer dans le relevé. Cette liste est limitative et n’a pas un caractère indicatif ; elle ne donne aux caisses et services aucun pouvoir d’appréciation quant au contenu des relevés.
Contenu du relevé de situation individuelle 1° Les données figurant à l’article R. 161-11 du code de la sécurité sociale qui sont connues des caisses ou services de pensions concernés, à savoir : – Le nom de famille, le cas échéant le nom d’usage, le ou les prénoms, la date et le lieu de naissance et l’adresse personnelle du bénéficiaire ; – Le numéro d’inscription au répertoire national d’identification des personnes physiques ; – La qualité de marié, divorcé, veuf ou célibataire ; – Le nombre d’enfants, le ou les prénoms, la date de naissance et, le cas échéant, la date d’adoption et le lieu de naissance de chacun des enfants élevés par le bénéficiaire ou la date de prise en charge par le bénéficiaire de chacun des autres enfants ayant une incidence sur ses droits à pension ; – Les dates de début et, s’il y a lieu, de fin d’affiliation ou de services ou les années au titre desquelles des droits ont été constitués ; – Le nom ou la raison sociale, l’adresse et le numéro SIRET du ou des employeurs ; – Les éléments de rémunération susceptibles d’être pris en compte pour la détermination des droits à pension, pour chaque année où des droits ont été constitués, soit, selon les régimes : a) Les salaires, primes ou revenus sur lesquels ont été assises les cotisations à la charge du bénéficiaire ou celles qui ont été versées pour son compte par l’employeur ou par un tiers ou sur lesquels ont été calculés les points de retraite ainsi que la valeur du revenu de référence pris en compte pour la détermination de ce nombre de points ; b) Les grades, classes, échelons et indices pris en compte dans le calcul du montant des pensions ainsi que les suppléments de nouvelle bonification indiciaire et majorations de pension au titre de la carrière ; – Pour chaque année pour laquelle les droits ont été constitués, selon les régimes : - les durées de cotisations exprimées en années, trimestres, mois ou jours - les montants de cotisations - le nombre de points pris en compte ou susceptibles d’être pris en compte pour la détermination des droits à pension, en mentionnant, s’il y a lieu, le fait générateur de cette prise en compte lorsqu'il a une incidence sur l’âge d’ouverture ou le montant de la pension ; – Les données mentionnées ci-dessus non susceptibles d’être rattachées à une année donnée ; – Le résultat de la combinaison des données mentionnées ci-dessus effectué par l’un des régimes, organismes ou services de retraite ; – La qualité de retraité dans l’un des régimes dont l’intéressé a relevé ; – Les dates de réception des demandes de relevé de situation individuelle. 2° La désignation de chacune des catégories de périodes, situations ou évènements non pris en compte dans les données mentionnées au 1° et susceptibles d’affecter l’âge de liquidation ou le montant des droits à pension dans chacun des régimes. 3° Les indications selon lesquelles le relevé est envoyé à titre de renseignement, les données présentées ont un caractère provisoire et elles n’engagent pas les caisses, organismes ou services expéditeurs sur la base de calcul de la pension qui sera liquidée. 4° Les informations sur le responsable du traitement des données personnelles prévues par l’article 32 de la loi n° 78-17 du 6 janvier 1978 relative à l’informatique, aux fichiers et aux libertés (disposition de l’article R. 161-14 du code de la sécurité sociale). |
L’article D. 161-2-1-3 du code de la sécurité sociale précise que l’envoi du relevé de situation individuelle « ne peut être accompagné d’aucun autre document ni comporter d’autres mentions que celles relatives à son objet, à l’expéditeur et au destinataire ».
Toutefois, le groupement d’intérêt public Info-Retraite a prévu de faire accompagner le relevé d’un dépliant présentant l’organisation et les valeurs du système de retraite français (retraite.fr/fileadmin/gip/pdf/d_pliant_valeurs.pdfhttp://www.inforetraite.fr/fileadmin/gip/pdf/d_pliant_valeurs.pdfhttp://www.info-retraite.fr/fileadmin/gip/pdf/d_pliant_valeurs.pdfretraite.fr/fileadmin/gip/pdf/d_pliant_valeurs.pdf).
L’article R. 161-15 du code de la sécurité sociale permet aux bénéficiaires du droit à l’information de demander l’accès aux données qui lui ont été communiquées et leur rectification, conformément aux articles 39 et 40 de la loi n° 78-17 du 6 janvier 1978 relative à l’informatique, aux fichiers et aux libertés.
La loi a prévu que le relevé est adressé « périodiquement ». Les droits à pension évoluant peu d’une année sur l’autre, il est apparu excessif et coûteux d’astreindre les régimes à un envoi annuel. Le gouvernement a fait le choix d’un adressage quinquennal automatique par les organismes de retraite et services de pensions et d’un envoi sur demande ne pouvant être renouvelé qu’après un délai de deux ans.
Face à l’importance des opérations matérielles imposées par ces mesures, le gouvernement a défini une montée en charge du dispositif. L’article 3 du décret n° 2006-708 du 19 juin 2006 organise la mise en œuvre progressive suivante de l’envoi des relevés de situation individuelle. Ceux-ci seront adressés automatiquement aux assurés atteignant l’âge de :
– cinquante ans en 2007, à partir du 1er juillet 2007 ;
– quarante-cinq ou cinquante ans en 2008, à partir du 1er juillet 2008 ;
– quarante, quarante-cinq ou cinquante ans en 2009, à partir du 1er juillet 2009 ;
A partir de 2010, tous les assurés atteignant l’âge de trente-cinq, quarante, quarante-cinq ou cinquante ans en cours d’année recevront, à partir du 1er juillet, un relevé de situation individuelle.
Dans les faits, les documents sont envoyés au cours du quatrième trimestre, compte tenu des délais de traitement des déclarations automatisées des données sociales de l’année passée, notamment par l’AGIRC et l’ARRCO. En 2007, les premiers documents ont été expédiés le 28 septembre. Le régime général étalera ses envois du 3 octobre au 15 novembre.
Aucune démarche spécifique des assurés n’est exigée. Le relevé est établi et adressé par l’un des organismes ou services de pension dont l’assuré relève ou a relevé en dernier lieu. La détermination précise de l’organisme ou du service chargé de l’opération d’établissement et d’envoi fait l’objet des dispositions de l’article D. 161-2-1-6 du code de la sécurité sociale. Le relevé est expédié à la dernière adresse postale connue de l’organisme ou le service ayant établi le relevé.
Toutefois, à partir de 2008, le relevé pourra également être adressé sur demande de l’assuré, quel que soit son âge.
La demande doit être adressée à l’un des régimes dans lequel l’intéressé cotise ou a cotisé, ceux ayant liquidé une pension de retraite étant exclus. Si l’intéressé relève de plusieurs régimes de retraite, l’assuré peut se contenter d’adresser une seule demande à l’un des organismes ou services de pension dont il relève. Le décret n° 2006-709 du 20 juin 2006 prévoit la mise en place d’un mécanisme de mutualisation des informations relatives à chaque assuré afin que chaque caisse, service ou organisme sollicité puisse envoyer un relevé présentant de manière complète les droits à pension de retraite réunis auprès de tous les régimes par l’intéressé. Chaque régime reste maître des données ; il s’agit seulement de permettre à l’organisme expéditeur du document d’information de récupérer les informations nécessaires auprès des autres régimes pour fournir une information complète de l’assuré sur sa situation individuelle. Une décision du 15 février 2006 du groupement d’intérêt public Info-Retraite a défini les modalités garantissant la fiabilité de l’identification du bénéficiaire, l’intégrité et la confidentialité des échanges. L’organisme ou service réceptionnaire de la demande dispose ainsi des moyens pour trouver les autres régimes ayant enregistré des droits au bénéfice de l’assuré et reconstituer l’ensemble de sa situation. Les relevés de situation individuelle devraient donc présenter des données exhaustives pour apprécier les droits à pension de retraite réunis.
Un arrêté du 11 juillet 2007 a désigné l’organisme ou le service de pensions chargé d’établir le relevé de situation individuelle et l’estimation indicative globale quand l’assuré relève au cours de l’année d’envoi de ces documents de plusieurs régimes gérés par des organismes ou des services distincts.
L’article D. 161-2-1-5 impose, en outre, à un organisme ou service recevant à tort une demande de relevé de la part d’une personne n’ayant pas la qualité d’assuré auprès du ou des régimes dont il a la charge ou étant déjà pensionné de signaler à cet intéressé l’erreur d’adressage de sa demande.
En cas de demande d’envoi d’un relevé, un nouveau relevé ne pourra être adressé avant deux ans. L’article D. 161-2-1-5 du code de la sécurité sociale fixe, en effet, à deux ans la périodicité maximale d’envoi sur demande du relevé de situation individuelle. Ce délai court à compter de la réception, par l’organisme ou le service chargé des pensions, d’une demande d’envoi présentée par l’assuré.
Le groupement d’intérêt public Info-Retraite mettra prochainement en ligne sur son site un formulaire type de demande de relevé (www.info-retraite.fr).
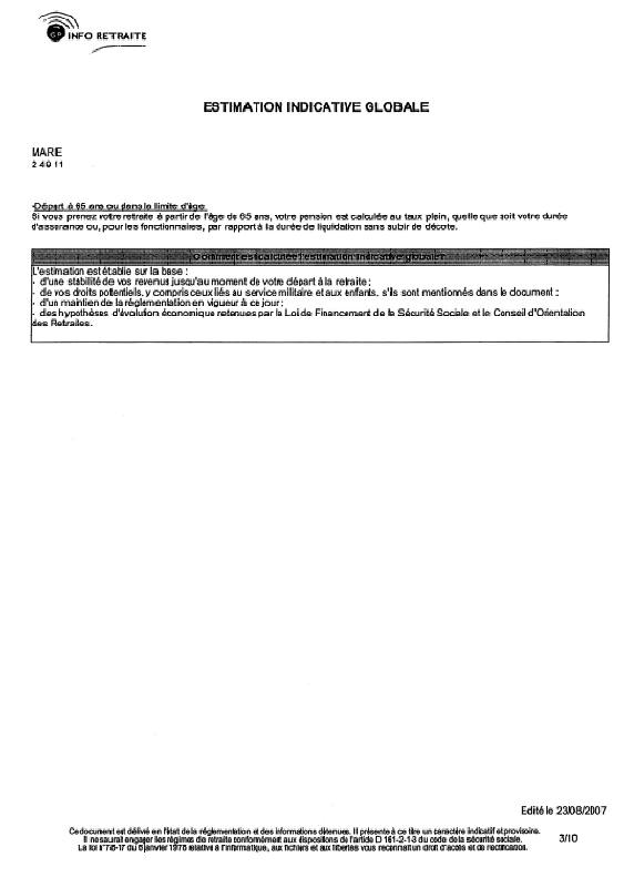
Le législateur de 2003 a conçu l’estimation indicative globale du montant des droits à pension de retraite comme le complément du relevé de situation individuelle. Le relevé permet d’informer l’assuré des éléments de carrière et de situation personnelle retenus par les différents régimes de retraite pour le calcul des droits à pension. L’estimation indicative globale est une information de nature financière donnant une estimation du montant des droits à pension susceptibles d’être liquidés à la demande de l’assuré.
Comme le souligne le groupement d’intérêt public Info-Retraite, il s’agit d’un « véritable document de préliquidation ». Dès lors, contrairement au relevé de situation individuelle, l’assuré peut être sollicité pour établir un document complet et exact. L’estimation contient en effet des éléments figurant dans le relevé mais également des éléments non connus au moment de l’établissement du relevé, comme par exemple les droits non contributifs à pension de retraite (ces éléments ne peuvent pas, le plus souvent, être ventilés par années).
L’estimation ne peut être pertinente et fiable que si elle intervient en fin de carrière professionnelle. Le gouvernement a choisi de retenir l’année où le bénéficiaire atteint l’âge de cinquante-cinq ans comme moment d’envoi de la première estimation indicative globale. L’estimation est ensuite envoyée tous les cinq ans jusqu’à liquidation de la dernière pension auquel a droit l’assuré.
Le champ d’application du dispositif relatif à l’estimation indicative globale des droits est le même que celui prévu pour le relevé individuel de situation. Compte tenu de l’article 2 du décret n° 2006-708 (article R. 161-10 du code de la sécurité sociale), l’évaluation du montant total des pensions de retraite sera effectuée à partir des droits réunis dans les régimes obligatoires de base et complémentaires.
L’article D. 161-2-1-7 dresse la liste des informations devant figurer dans l’estimation indicative globale. Cette liste est limitative et n’a pas un caractère indicatif ; elle ne donne aux caisses et services aucun pouvoir d’appréciation quant au contenu des relevés.
Contenu de l’estimation indicative globale 1° Les données figurant à l’article R. 161-11 du code de la sécurité sociale qui sont connues des caisses ou services de pensions concernés, qui sont les mêmes que celles contenues dans le relevé de situation individuelle (cf. 1° de l’encadré ci-dessus relatif au relevé de situation individuelle). 2° Le montant total des pensions susceptibles d’être versées au bénéficiaire, à l’exclusion des pensions liquidées ou dont le bénéficiaire a demandé la liquidation ou, en cas de retraite progressive, la liquidation provisoire. 3° Le montant de chacune des pensions susceptibles d’être versées au bénéficiaire, à l’exclusion des pensions liquidées ou dont le bénéficiaire a demandé la liquidation ou, en cas de retraite progressive, la liquidation provisoire. 4° L’âge du bénéficiaire pris en compte pour estimer le montant de la pension. 5° La date prévisible à laquelle la pension pourra être liquidée au taux plein ou sans coefficient d’abattement. 6° Lorsque l’assuré relève ou a relevé de régimes où une surcote est applicable : – l’indication du ou de ces régimes ; – le taux et les conditions requises pour l’application de la surcote ; – la date prévisible à laquelle la surcote pourrait être appliquée dans l’hypothèse de la poursuite de la carrière de l’assuré jusqu’à cette date ; – le montant de la surcote afférent à chacune des pensions concernées. 7° Les indications selon lesquelles les estimations sont envoyées à titre de renseignement, elles ont un caractère estimatif et non contractuel et n’engagent pas les caisses, organismes ou services expéditeurs à verser aux âges indiqués les montants estimés. 8° Les informations sur le responsable du traitement des données personnelles prévues par l’article 32 de la loi n° 78-17 du 6 janvier 1978 relative à l’informatique, aux fichiers et aux libertés (disposition de l’article R. 161-14 du code de la sécurité sociale). |
Le montant des pensions est estimé à plusieurs âges de l’assuré.
Ages auxquels sont calculés les montants estimatifs des pensions 1° Pour les assurés relevant : – du régime général de la sécurité sociale ou du régime des salariés agricoles (CNAV et Caisse centrale de la MSA) – des institutions adhérentes de l’Association générale des institutions de retraite des cadres (AGIRC) ou de l’Association des régimes de retraite complémentaire (ARRCO) – du régime de retraite complémentaire géré par la Caisse de retraite du personnel navigant professionnel de l’aéronautique civile (CRPN) – du régime des ministres des cultes et des membres des congrégations et collectivités religieuses (CAVIMAC) – du régime d’assurance vieillesse des professions non salariées de l’agriculture (Caisse centrale de la MSA), de l’artisanat (CANCAVA), du commerce et de l'industrie (ORGANIC) ou des professions libérales (CNAVPL et ses sections) – du régime de retraite des avocats géré par la Caisse nationale des barreaux français (CNBF :) – du régime d’assurance vieillesse complémentaire commun aux artistes graphiques et plastiques et aux professeurs de musique, musiciens, auteurs et compositeurs (IRCEC) – du régime de retraite complémentaire des agents non titulaires de l’Etat et des collectivités publiques (IRCANTEC) les pensions sont calculées aux âges suivants : – soixante ans ; – âge atteint à la date prévisible à laquelle la pension pourrait être liquidée au taux plein ou sans coefficient d’abattement ; – soixante-cinq ans ; – âge atteint l’année d’établissement de l’estimation si cet âge est supérieur à soixante-cinq ans (cas des professions où l’âge limite est supérieur à 65 ans ou qui n’ont pas d’âge limite comme les avocats). 2° Pour tous les assurés relevant des autres régimes entrant dans le champ d’application du droit à l’information (cf. point 2 ci-dessus sur le champ des régimes concernés), les pensions sont calculées aux âges suivants : – âge d’ouverture du droit à pension ; – âge atteint à la date prévisible à laquelle la pension pourrait être liquidée sans coefficient d’abattement ou à son pourcentage maximum ; – âge limite applicable à la catégorie d’assuré dont relève le bénéficiaire ; – âge atteint l’année d’établissement de l’estimation si cet âge est supérieur à l’âge limite (cas, par exemple, de certains fonctionnaires civils dont l’âge limite est porté à 67 ou 68 ans). |
L’estimation indicative globale ne prend pas en compte les possibilités de départ anticipé à la retraite. Cette faculté est notamment ouverte aux assurés ayant commencé à travailler entre 14 et 16 ans et justifiant de longues carrières (articles L.351-1-1, L.643-3, L.723-10-1 et L.732-18-1 du code de la sécurité sociale). Aucune information relative à cette faculté n’apparaîtra dans le document d’estimation. Il en est de même pour les fonctionnaires et les agents relevant des régimes spéciaux qui peuvent obtenir un départ anticipé à la retraite selon la nature de leur activité (pénibilité ou dangerosité de l’emploi), leur situation de famille (enfants à charge) ou la durée de leur carrière dans le régime. Le groupement d’intérêt public Info-Retraite invite les assurés à se renseigner auprès de leurs organismes de retraite pour plus d’information au sujet des départs anticipés.
Chaque organisme ou service de pensions doit faire application des dispositions législatives, réglementaires et conventionnelles en vigueur à la date de l’estimation ou des dispositions adoptées susceptibles d’être appliquées à cette même date au bénéficiaire compte tenu de son âge ou de sa situation. Les calculs seront donc faits à législation et réglementation constantes par rapport à la date d’établissement de l’estimation.
Les organismes et services de pensions doivent retenir les hypothèses établies et rendues publiques par le Conseil d’orientation des retraites. Il s’agit des facteurs pouvant affecter la détermination du montant des pensions de chaque régime : évolution des prix, des salaires, du plafond de la sécurité sociale.
Le décret n° 2006-709 du 19 juin 2006 ne prévoit pas que ces hypothèses soient communiquées aux destinataires des estimations indicatives. Les documents adressés aux assurés expliciteront ces modalités de calcul (cf. document en annexe). Le rapporteur considère qu’il n’est pas utile de surcharger d’informations l’estimation indicative globale. En revanche, le site internet du GIP pourrait publier le détail des hypothèses retenues chaque année afin d’assurer la transparence du calcul pour les assurés intéressés.
Comme l’envoi du relevé de situation individuelle, l’envoi de l’estimation indicative globale des droits futurs ne peut être accompagné d’aucun autre document ni contenir d’autres mentions que celles relatives à son objet, à l’expéditeur et au destinataire.
Toutefois, à l’initiative du groupement d’intérêt public Info-Retraite (cf. ci-après), l’estimation indicative globale sera accompagnée d’un dépliant présentant l’organisation et les valeurs du système de retraite français (retraite.fr/fileadmin/gip/pdf/d_pliant_valeurs.pdfhttp://www.inforetraite.fr/fileadmin/gip/pdf/d_pliant_valeurs.pdfhttp://www.info-retraite.fr/fileadmin/gip/pdf/d_pliant_valeurs.pdfretraite.fr/fileadmin/gip/pdf/d_pliant_valeurs.pdf).
L’estimation globale doit être envoyée à tous les assurés n’ayant pas, au 1er janvier de l’année d’envoi de l’estimation, obtenu la liquidation de leurs droits à pension dans le régime concerné ou, en cas de retraite progressive, la liquidation provisoire de leur pension.
L’envoi de l’estimation globale est effectué automatiquement, à l’initiative des caisses et services de retraite. Contrairement au relevé de situation individuelle, cette information n’est pas fournie sur demande des assurés. L’envoi est effectué lorsque le bénéficiaire atteint l’âge de cinquante-cinq ans. Sa périodicité est ensuite quinquennale jusqu’au départ en retraite du bénéficiaire.
Toutefois, à l’instar du relevé de situation individuelle, le gouvernement a prévu une montée en charge du dispositif sur quatre ans. Le rythme quinquennal général et l’envoi à cinquante-cinq ans ne seront pleinement effectifs qu’à compter du 1er juillet 2011. Auparavant, l’estimation sera envoyée aux assurés à partir :
– du 1er juillet 2007 pour les personnes atteignant 58 ans en 2007;
– du 1er juillet 2008 pour celles atteignant 57 ou 58 ans en 2008;
– du 1er juillet 2009 pour celles atteignant 56 ou 57 ans en 2009;
– du 1er juillet 2010 pour celles atteignant 55 ou 56 ans en 2010;
A compter du 1er juillet 2011, l’estimation sera adressée tous les cinq ans, jusqu’au départ en retraite du bénéficiaire.
Dans les faits, les documents sont envoyés au cours du quatrième trimestre (cf. analyse paragraphe c du point 3 ci-dessus).
Il faut attendre la génération née en 1957 pour que des assurés reçoivent un relevé de situation individuelle puis une estimation indicative globale.
Calendrier d’envoi des documents d’information
Assurés nés en |
Envoi du |
Envoi de la |
Envoi, sauf liquidation, de la |
Envoi, le cas échéant, de la |
1949 |
Aucun |
à 58 ans en 2007 |
à 63 ans en 2012 |
à 68 ans en 2017 |
1950 |
Aucun |
à 58 ans en 2008 |
à 63 ans en 2013 |
à 68 ans en 2018 |
1951 |
Aucun |
à 57 ans en 2008 |
à 60 ans en 2011 |
à 65 ans en 2016 |
1952 |
Aucun |
à 57 ans en 2009 |
à 60 ans en 2012 |
à 65 ans en 2017 |
1953 |
Aucun |
à 56 ans en 2009 |
à 60 ans en 2013 |
à 65 ans en 2018 |
1954 |
Aucun |
à 56 ans en 2010 |
à 60 ans en 2014 |
à 65 ans en 2019 |
1955 |
Aucun |
à 55 ans en 2010 |
à 60 ans en 2015 |
à 65 ans en 2020 |
1956 |
Aucun |
à 55 ans en 2011 |
à 60 ans en 2016 |
à 65 ans en 2021 |
1957 |
à 50 ans en 2007 |
à 55 ans en 2012 |
à 60 ans en 2017 |
à 65 ans en 2022 |
1958 |
à 50 ans en 2008 |
à 55 ans en 2013 |
à 60 ans en 2018 |
à 65 ans en 2023 |
… |
… |
… |
… |
… |
1963 |
à 45 ans en 2008, à 50 ans en 2013 |
à 55 ans en 2018 |
à 60 ans en 2023 |
à 65 ans en 2028 |
… |
… |
… |
… |
… |
1969 |
à 40 ans en 2009, à 45 ans en 2014, à 50 ans en 2023 |
à 55 ans en 2028 |
à 60 ans en 2033 |
à 65 ans en 2038 |
… |
… |
… |
… |
… |
1975 |
à 35 ans en 2010, à 40 ans en 2015, à 45 ans en 2020, à 50 ans en 2025 |
à 55 ans en 2030 |
à 60 ans en 2035 |
à 65 ans en 2040 |
… |
… |
… |
… |
… |
Chronologie d’envoi des documents d’information
Relevé de situation individuelle |
Estimation indicative globale | |
En 2007 |
Génération née en 1957 |
Génération née en 1949 |
En 2008 |
Générations 1958 et 1963 |
Générations 1950 et 1951 |
En 2009 |
Générations 1959, 1964 et 1969 |
Générations 1952 et 1953 |
En 2010 |
Générations 1960, 1965, 1970 et 1975 |
Générations 1954 et 1955 |
En 2011 |
Générations 1961, 1966, 1971 et 1976 |
Générations 1951 et 1956 |
En 2012 |
Générations 1962, 1967, 1972 et 1977 |
Générations 1949, 1952 et 1957 |
En 2013 |
Générations 1963, 1968, 1973 et 1978 |
Générations 1950, 1953 et 1958 |
En 2014 |
Générations 1964, 1969, 1974 et 1979 |
Générations 1949, 1954 et 1959 |
En 2015 |
Générations 1965, 1970, 1975 et 1980 |
Générations 1950, 1955 et 1960 |
L’estimation indicative globale est établie et adressée par l’organisme de retraite ou le service de pension dont l’assuré relève ou a relevé en dernier lieu. En cas de pluralité d’affiliation (régimes de base et complémentaire), la détermination précise de l’organisme ou du service chargé de l’opération d’établissement et d’envoi fait l’objet des dispositions de l’article D. 161-2-1-6 du code de la sécurité sociale et de l’arrêté du 11 juillet 2007 (cf. point 3 ci-dessus). L’estimation est expédiée à la dernière adresse postale connue de l’organisme ou du service ayant établi le relevé, sous réserve de sa pertinence.
L’article 10 de la loi du 21 août 2003 (article L. 161-17 du code de la sécurité sociale) a créé un groupement d’intérêt public (GIP) qui regroupe l’ensemble des régimes de retraite obligatoires afin de mettre en place le nouveau droit à l’information des assurés.
Le GIP a pour objet de créer les conditions permettant d’assurer les droits à l’information prévus par l’article L. 161-17 du code de la sécurité sociale et, à cette fin, permettant à ses membres de remplir leurs obligations en matière d’information individuelle à l’égard de leurs assurés. Il a également été conçu comme l’outil de coordination permettant d’effacer aux yeux des assurés la complexité de l’architecture des régimes de retraite français et de la gestion des droits par chaque organisme ou service chargé de la liquidation des droits à pension. Ainsi le GIP doit coordonner l’action de ses trente-six membres sans se substituer à eux pour l’établissement des situations individuelles, l’échange des données entre les régimes et la fourniture des informations aux assurés.
Le GIP est doté de la personnalité morale et de l’autonomie financière. Il est composé de l’ensemble des organismes et services chargés de la liquidation des pensions de retraite qui sont soumis au droit à l’information.
Le GIP a été constitué officiellement le 5 juillet 2004, sous la dénomination « GIP Information des assurés sur leurs droits à retraite », pour une durée de quinze ans. Cette durée est celle habituellement retenue à la constitution d’un GIP et ne préjuge pas de la durée de vie du GIP. La convention constitutive a été approuvée par un arrêté ministériel du 23 août 2004. Par délibération de son conseil d’administration du 3 février 2005, il a été rebaptisé « GIP Info-Retraite » et son siège a été fixé au 4 place Felix Éboué (Paris 12e). Son conseil d’administration a été présidé par Mme Danièle Karniewicz, présidente de la CNAV, puis depuis le 16 février 2006 par M. Claude Domeizel, sénateur, président de la CNRACL. Ses services sont dirigés depuis la création du GIP, par M. Jean-Marie Palach, inspecteur général des affaires sociales.
En 2004, le GIP comprenait 38 membres. Par délibération du 3 février 2005, l’assemblée générale du GIP a substitué la Caisse nationale des industries électriques et gazières aux industries électriques et gazières elles-mêmes. Puis, par deux délibérations du 2 octobre 2006, l’assemblée générale du GIP a, d’une part, substitué à l’Organisation autonome nationale de l’assurance vieillesse de l’industrie et du commerce (ORGANIC) et à la Caisse autonome nationale de compensation de l’assurance vieillesse artisanale (CANCAVA) le Régime social des indépendants (RSI) qui a fusionné ces deux caisses au 1er juillet 2006 et, d’autre part, sorti la Chambre de commerce et d’industrie de Paris du groupement du fait de l’intégration du régime spécial de son personnel dans le régime général à compter du 1er janvier 2006.
Les trente-six membres du GIP Info-Retraite - la Caisse nationale d’assurance vieillesse des travailleurs salariés (CNAV) - la Caisse centrale de mutualité sociale agricole (CCMSA) - l’Association pour le régime de retraite complémentaire des salariés (ARRCO) - l’Association générale des institutions de retraite des cadres (AGIRC) - l’Institution de retraite complémentaire des agents non titulaires de l’Etat et des collectivités publiques (IRCANTEC) - la Caisse de retraite du personnel navigant professionnel de l’aéronautique civile (CRPNPAC) - le Régime social des indépendants (RSI) (fusion de l’ORGANIC et de la CANCAVA) - l’Etat, représenté par le service des pensions - l’Etablissement de retraite additionnelle de la fonction publique (RAFP) - la Caisse des dépôts et consignations au titre du Fonds spécial des pensions des ouvriers des établissements industriels de l’Etat (FSPOEIE) - la Caisse nationale de retraites des agents des collectivités locales (CNRACL) - la Caisse autonome nationale de sécurité sociale dans les mines (CANSSM) - la Caisse de retraite et de prévoyance des clercs et employés de notaires (CRPCEN) - l’Etablissement national des invalides de la marine (ENIM) - la Caisse nationale des industries électriques et gazières (CNIEG) - la Régie autonome des transports parisiens (RATP) - les caisses de prévoyance et de retraite de la Société nationale des chemins de fer français (SNCF) - la Banque de France - la Caisse de retraites des personnels de la Comédie-Française - la Caisse de retraites des personnels de l’Opéra national de Paris - le Port autonome de Strasbourg - la Caisse d’assurance vieillesse invalidité et maladie des cultes (CAVIMAC) - la Caisse nationale d’assurance vieillesse des professions libérales (CNAVPL) - la Caisse de retraite des notaires (CRN) - la Caisse d’assurance vieillesse des officiers ministériels, officiers publics et des compagnies judiciaires (CAVOM) - la Caisse autonome de retraite des médecins de France (CARMF) - la Caisse autonome de retraite des chirurgiens-dentistes (CARCD) - la Caisse d'assurance vieillesse des pharmaciens (CAVP) - la Caisse autonome de retraite des sages-femmes françaises (CARSAF) - la Caisse autonome de retraite et de prévoyance des infirmiers, masseurs-kinésithérapeutes, pédicures-podologues, orthophonistes et orthoptistes (CARPIMKO) - la Caisse autonome de retraite et de prévoyance des vétérinaires (CARPV) - la Caisse d'allocation vieillesse des agents généraux et des mandataires non salariés de l'assurance et de la capitalisation (CAVAMAC) - la Caisse d'allocation vieillesse des experts-comptables et des commissaires aux comptes (CAVEC) - la Caisse interprofessionnelle de prévoyance et d’assurance vieillesse (CIPAV) - la Caisse nationale des barreaux français (CNBF) - l’Institution de retraite complémentaire de l'enseignement et de la création (IRCEC) |
L’article L. 161-17 impose aux membres du GIP de transmettre à celui-ci l’ensemble des données relatives à la constitution des retraites. Les trente-six organismes gestionnaires sont autorisés à collecter et conserver le numéro d’inscription au répertoire national d’identification des personnes physiques des personnes concernées, qui est indispensable pour repérer un assuré et savoir s’il s’est constitué des droits.
Le décret n° 2006-708 du 19 juin 2006 a énuméré de manière limitative les données échangeables et conservables par les organismes et services gestionnaires des régimes de retraite (état civil, numéros d’identification, date de début et durée d’affiliation, durée d’assurance ou de services, montant des rémunérations soumises à cotisation, nombre de points attribués, etc.). Des garanties de confidentialité et de droit d’accès et de rectification sont prévues.
Un arrêté du 6 juillet 2007 a fixé les modalités des traitements relatifs aux échanges d’informations entre les régimes de retraite. Deux applications informatiques sont autorisées : l’annuaire pour recenser les bénéficiaires du droit à l’information et le collecteur pour établir les documents d’information (relevé de situation individuelle et estimation indicative globale). Les données échangeables entre les régimes sont listées et des mesures sont mises en œuvre afin de préserver leur confidentialité.
Le tableau suivant résume l’état des dépenses du GIP Info-Retraite. Près des deux tiers des dépenses sont consacrées à des achats d’études et des prestations de services.
Budgets annuels du GIP Info-Retraite
(en millions d’euros)
2004 |
2005 |
2006 |
2007 | |
Dépenses générales |
0,674 |
2,313 |
1,236 |
1,401 |
Programme Collecteur |
0 |
0 |
2,465 |
1,613 |
Programme Annuaire |
0 |
0 |
0,600 |
0,367 |
Pilotage et déploiement |
0 |
0 |
0,520 |
0,195 |
M@rel |
0 |
0 |
0,644 |
0,470 |
Total budget voté |
0,674 |
2,313 |
5,466 |
4,046 |
Budget réalisé |
1,679 |
4,515 |
— | |
Personnel permanent du GIP |
ns |
6 |
8 |
8 |
Source : GIP Info-Retraite.
Les recettes du GIP sont entièrement tirées de contributions financières versées par ses membres. Le calcul des contributions budgétaires repose sur la répartition des dépenses en fonction du nombre des actifs cotisants dans les régimes de retraite gérés par chaque membre du GIP. Chaque actif cotisant est comptabilisé pour une unité ; étant donné qu’un actif peut relever de deux ou trois régimes obligatoires différents (un régime de base et un ou deux régimes complémentaires), leur unité de compte est répartie, le cas échéant, entre ces deux ou trois régimes. Le régime additionnel de la fonction publique (RAFP) fait cependant l’objet d’une pondération spéciale. Il est procédé de manière identique pour l’attribution des droits de vote au sein du GIP. Le tableau suivant dresse la répartition en vigueur. Les statuts du GIP fixent la minorité de blocage à 30 % des droits de vote.
Répartition des droits de vote et des contributions budgétaires
au sein du GIP Info-Retraite pour 2007, 2008 et 2009
Régimes |
Actifs cotisants |
Coefficient |
Actifs pondérés |
Répartition |
CNAV : |
16 600 000 |
7 701 600 |
30,186 % | |
CNAV-ARRCO |
11 060 000 |
0,5 |
5 530 000 |
|
CNAV-ARRCO-AGIRC |
3 520 000 |
0,33 |
1 161 600 |
|
CNAV-IRCANTEC |
2 000 000 |
0,5 |
1 000 000 |
|
CNAV-IRCEC |
20 000 |
0,5 |
10 000 |
|
CCMSA : |
2 250 000 |
1 450 000 |
5,683 % | |
Salariés agricoles |
1 600 000 |
0,5 |
800 000 |
|
Exploitants agricoles |
650 000 |
1 |
650 000 |
|
ARRCO : |
16 180 000 |
7 491 600 |
29,363 % | |
ARRCO-CNAV |
11 060 000 |
0,5 |
5 530 000 |
|
ARRCO-CNAV-AGIRC |
3 520 000 |
0,33 |
1 161 600 |
|
ARRCO-CCMSA |
1 600 000 |
0,5 |
800 000 |
|
AGIRC |
3 520 000 |
0,33 |
1 161 600 |
4,553 % |
RSI |
1 299 000 |
1 |
1 299 000 |
5,091 % |
Service des pensions de l’Etat |
2 400 000 |
0,99 |
2 376 000 |
9,313 % |
Caisse des dépôts : |
||||
CNRACL |
1 863 000 |
0,99 |
1 844 370 |
7,229 % |
FSPOEIE |
55 000 |
1 |
55 000 |
0,216 % |
RAFP |
4 263 000 |
0,01 |
42 630 |
0,167 % |
IRCANTEC |
2 000 000 |
0,5 |
1 000 000 |
3,919 % |
Régimes spéciaux : |
525 250 |
525 250 |
2,059 % | |
IEG |
145 000 |
1 |
145 000 |
0,568 % |
SNCF |
167 000 |
1 |
167 000 |
0,655 % |
CANSSM (Caisse des dépôts) |
20 000 |
1 |
20 000 |
0,078 % |
ENIM |
40 000 |
1 |
40 000 |
0,157 % |
Banque de France |
15 000 |
1 |
15 000 |
0,059 % |
RATP |
40 000 |
1 |
40 000 |
0,157 % |
Opéra de Paris |
1 800 |
1 |
1 800 |
0,007 % |
Comédie-Française |
300 |
1 |
300 |
0,001 % |
CRPCEN |
47 000 |
1 |
47 000 |
0,184 % |
Porta autonome de Strasbourg |
150 |
1 |
150 |
0,001 % |
CRPN |
29 000 |
1 |
29 000 |
0,114 % |
CAVIMAC |
20 000 |
1 |
20 000 |
0,078 % |
Professions libérales : |
567 000 |
2,22 % | ||
CARCD |
37 000 |
0,5 |
18 500 |
0,073 % |
CARPIMKO |
123 000 |
0,5 |
61 500 |
0,241 % |
CAVAMAC |
14 000 |
0,5 |
7 000 |
0,027 % |
CARSAF |
2 000 |
0,5 |
1 000 |
0,004 % |
CIPAV |
141 000 |
0,5 |
70 500 |
0,276 % |
CAVOM |
5 000 |
0,5 |
2 500 |
0,010 % |
CAVEC |
17 000 |
0,5 |
8 500 |
0,033 % |
CARMF |
124 000 |
0,5 |
62 000 |
0,243 % |
CAVP |
33 000 |
0,5 |
16 500 |
0,065 % |
CRN |
8 000 |
0,5 |
4 000 |
0,016 % |
CARPV |
9 000 |
0,5 |
4 500 |
0,018 % |
CNAVPL |
513 000 |
0,5 |
256 500 |
1,005 % |
CNBF |
44 000 |
1 |
44 000 |
0,172 % |
IRCEC |
20 000 |
0,5 |
10 000 |
0,039 % |
Total général |
25 514 050 |
100,00 % |
Le rapporteur tient à souligner la modicité des dépenses engagées au regard de l’ampleur des objectifs, des opérations réalisées et des résultats obtenus. Cette excellente gestion des deniers de l’assurance vieillesse résulte du choix des membres du GIP de développer en leur sein les outils d’échange et de traitement des données individuelles des assurés pour la production et l’envoi des documents d’information. Le programme Annuaire (cf. ci-dessus) a été élaboré par la CNAV et le programme Collecteur (cf. ci-dessus) par la CNAV pour les opérations amont et par Pro BTP pour le compte de l’AGIRC-ARRCO pour les opérations aval (agrégation des données et confection et édition des documents).
Les dépenses engagées par la CNAV et l’AGIRC-ARRCO pour la mise au point des programmes Annuaire et Collecteur viennent en déduction de leur contribution financière au budget du GIP.
L’année 2005 a été consacrée à la conception de l’architecture technique de mise en œuvre du droit à l’information et l’élaboration des documents d’information. La présentation de ces documents et cette architecture ont été validées par le GIP en décembre 2005 sur la base d’une proposition conjointe de la CNAV et de l’AGIRC-ARRCO.
Pour mettre en œuvre le droit à l’information, plusieurs opérations d’une grande envergure ont dû être réalisées en 2006 et 2007 :
– certification des identités des assurés dans chacun des régimes par l’attribution d’un numéro d’inscription au répertoire national d’identification (NIR, qui correspond au numéro INSEE) unique ; pour mesurer l’ampleur de la tâche, il faut se rappeler que le système national de gestion des identités de la CNAV contient 98 millions de NIR et qu’en cas d’incertitude sur la personne répertoriée, l’organisme de retraite doit demander un certificat d’état civil à l’assuré ;
– élaboration d’un programme permettant de repérer les assurés dans l’ensemble des régimes de retraite : cet outil informatique a été confectionné par la CNAV : il s’agit de l’Annuaire ; le système national de gestion des identités de la CNAV a servi de socle ; la réalisation de l’Annuaire a été achevée à la fin 2006 ;
– élaboration d’un programme permettant de collecter l’ensemble des informations utiles contenues dans les bases de données des organismes de retraite, de les agréger pour élaborer et éditer les deux documents d’information ; cet outil informatique a été confectionné par la CNAV et Pro BTB (pour le compte de l’AGIRC-ARRCO) : il s’agit du programme Collecteur ;
– adaptation des systèmes d’information des régimes pour permettre les échanges de données sur les carrières : aucune base de données centrale n’a été créée, chaque régime devant rester maître des données relatives à ses assurés aussi bien pour leur constitution, leur exploitation, leur modification ou pour donner des renseignements sur ces données ;
– constitution de comptes individuels de carrière par les organismes qui n’en avaient pas et alimentation des systèmes de gestion des carrières existants par les éléments de carrière détenus par d’autres organismes gestionnaires de régimes de retraite ;
– contrôle des données d’état civil et d’adressage archivées par les régimes.
Pour certains régimes, cette nouvelle approche du service aux assurés a représenté une petite révolution intellectuelle et matérielle. Certes, des travaux avaient été engagés ; la mise en œuvre du droit à l’information a conduit à accélérer leur réalisation (notamment, l’ARRCO avait lancé un programme d’investissement de 157 millions d’euros pour la création de comptes individuels dès avant le vote de la loi du 21 août 2003). De nombreux régimes de retraite n’avaient pas informatisé les données de carrière de leurs assurés ou ne tenaient pas à jour les situations de carrière de leurs assurés, celles-ci étant élaborées deux ou trois ans avant les départs en retraite.
Le cas des régimes de retraite des agents publics doit être relevé. En effet, jusqu’à présent, les services de pensions et les caisses de retraites (service des pensions de l’Etat, CNRACL, IRCANTEC) s’intéressaient peu aux agents actifs car leur activité était entièrement tournée vers la liquidation des pensions. Les carrières n’étaient pas connues et étaient reconstituées quelques mois ou années avant le départ en retraite ; le travail en collaboration avec les autres régimes de retraite était presque inexistant. Il a donc fallu constituer des comptes individuels de retraite pour tous les agents publics, les certifier (3) et les alimenter, tout en bâtissant des systèmes d’information coordonnés avec ceux des autres régimes. Dans la fonction publique d’Etat, il existe 240 systèmes de gestion de carrière différents correspondant à autant de systèmes comptables différents.
Si le service des pensions de l’Etat effectuait depuis le début des années 1980 une préliquidation des pensions deux ans avant l’âge limite du fonctionnaire, cette mesure ne s’appliquait pas aux fonctionnaires territoriaux ou hospitaliers. Il a donc fallu à la CNRACL récupérer les éléments de carrière de tous ses assurés (1,83 million au total) destinataires des documents d’information.
Le travail de saisie des données a été d’une ampleur inégalée. Il n’est d’ailleurs pas achevé à ce jour. Les organismes de retraite eux-mêmes déjà dotés d’un registre des carrières de leurs assurés ont dû le compléter par les éléments de carrière de leurs assurés détenus par les autres régimes afin d’être en mesure d’établir les EIG.
Le rapporteur salue donc le travail accompli par le service des pensions de l’Etat et les établissements de la Caisse des dépôts et consignations qui a représenté une véritable mutation dans l’approche des droits à la retraite dans le secteur public. Les actifs vont devenir de véritables interlocuteurs et les employeurs (40 000 collectivités pour la CNRACL, 55 000 pour le RAFP) seront associés pour alimenter les comptes individuels des agents et préparer les départs en retraite.
Au-delà du secteur public, toutes les institutions de retraite, y compris les mieux outillées, ont dû mobiliser des moyens très importants depuis 2005 pour parvenir à mettre en œuvre à compter de 2007 le droit à l’information prévu par la l’article 10 de la loi du 21 août 2003.
Les opérations d’identification de chacun des assurés concernés par la première campagne d’information de 2007 (générations de 1949 et 1957) n’ont toutefois pu être menées à bien que par 29 des 34 régimes concernés par le droit à l’information : la Banque de France, la Caisse nationale des barreaux français, la Comédie-Française, l’Opéra national de Paris et le Port autonome de Strasbourg n’ont pas été en mesure ou n’ont pas souhaité mettre en place immédiatement les applications Annuaire et Collecteur. Leurs assurés ne recevront donc aucun des documents d’information prévus par la loi. Les assurés des régimes spéciaux des ministres des cultes et des religieux (CAVIMAC), des clercs et employés de notaires (CRPCEN) et des agents de la RATP ne recevront pas non plus de documents en 2007 car les systèmes d’échanges de données liées au Collecteur ne sont pas encore opérationnels, même si leurs assurés figurent dans l’Annuaire. Ces huit régimes représentent 0,5 % des assurés français.
Les investissements réalisés par les organismes de retraite membres du GIP (hors frais de confection, d’envoi et de traitement des retours des documents) ont donc été substantiels. Il faut saluer les efforts. A titre d’exemples :
– les dépenses supportées de 2005 au 30 juin 2007 par la CNAV se sont élevées à 3,575 millions d’euros (3 millions pour la préparation de la fourniture des informations et la formation des personnels, 425 000 euros pour la modification du système d’information et 150 000 euros pour la participation aux travaux du GIP), les coûts de maintenance n’étant pas inclus ;
– le coût des investissements réalisés par le service des pensions de l’Etat depuis 2004 (décompte jusqu’au 1er septembre 2007) s’est élevé à 7,475 millions d’euros (5 millions pour les dépenses de personnel, 1,4 million pour l’informatique, 1,1 million de frais de participation au GIP) ; le service a estimé le coût annuel de mise en œuvre du droit à l’information à 1,4 million d’euros (1 million de dépenses de personnel, 250 000 euros pour les prestations externes de routage, informatique,… et 150 000 euros pour l’informatique interne) ;
– de 2005 au 1er septembre 2007, la CNRACL a engagé 10,8 millions d’euros d’investissements (7,23 millions de développements informatiques, 1,84 million d’actions auprès des employeurs, 1,48 million d’adaptation et de certification des systèmes de gestion, 155 000 euros de frais de participation au GIP, 111 000 euros de formation des personnels) ; le coût annuel du droit à l’information pour 2008 est estimé à 4,47 millions dont 2,1 millions de frais de gestion et 1,8 million d’actions auprès des employeurs ;
– de 2005 au 1er septembre 2007, l’IRCANTEC a engagé 2,68 millions d’euros d’investissements (1,27 million de développements informatiques, 1,1 million d’adaptation et de certification des systèmes de gestion, 257 000 euros de formation des personnels, 53 000 euros d’actions auprès des employeurs, 3 000 euros de frais de participation au GIP) ; le coût annuel du droit à l’information pour 2008 est estimé à 622 000 euros dont 400 000 euros de frais de gestion et 78 000 euros d’actions auprès des employeurs ;
– de 2005 au 1er septembre 2007, le FSPOEIE a engagé 1,22 million d’euros d’investissements, dont 1,12 million de développements informatiques ; le coût annuel du droit à l’information pour 2008 est estimé à 270 000 euros ;
– de 2005 au 1er septembre 2007, le Caisse autonome nationale de la sécurité sociale dans les mines a investi 524 000 euros, dont 358 000 euros pour les développements informatiques ; le coût annuel du droit à l’information pour 2008 est estimé à 36 000 euros ;
– les fédérations affiliées à l’AGIRC et à l’ARRCO ont investi environ 1,6 million d’euros dans l’adaptation des systèmes d’information des caisses et la réalisation de développements spécifiques à la mise en œuvre du droit à l’information ;
– le budget global engagé par la CNIEG s’élève à 188 000 euros, entièrement consacrés à des prestations externes.
On trouvera en annexe un récapitulatif des investissements effectués par les principaux régimes de retraite obligatoires.
Dans un premier temps, le GIP Info-Retraite a réfléchi à l’élaboration d’un relevé de situation individuelle (RIS) sous forme d’un tableau chronologique présentant l’ensemble des données de carrière d’un assuré. Ce tableau unique s’est révélé difficilement lisible, ce qu’a confirmé une enquête auprès d’un panel de cinquante assurés en 2005. Les membres du GIP ont donc décidé d’éclater en plusieurs feuillets correspondant chacun aux éléments enregistrés auprès d’un même régime de retraite. La même démarche de répartition des droits entre feuillets propres à chaque régime a été suivie pour l’estimation indicative globale (EIG) (cf. exemples de RIS et d’EIG en annexe).
En 2007, environ 1,4 million de documents d’information devrait être expédiés.
Décomposition du nombre d’envois de documents au quatrième trimestre 2007
EIG génération 1949 |
RIS génération 1957 | |||
Assurés inscrits dans l’annuaire |
897 361 |
100 % |
926 839 |
100 % |
Assurés dont les droits sont liquidés |
96 135 |
6 096 |
||
Assurés décédés depuis leur inscription |
5 612 |
3 235 |
||
Assurés déjà informés par le test pilote |
4 308 |
6 756 |
||
Assurés inclus dans la campagne 2007 |
791 306 |
88,2 % |
910 752 |
98,3 % |
Rejets suite à la collecte des données |
28 915 |
7 759 |
||
Documents composés mais pas transmis (*) |
150 272 |
117 252 |
||
Nombre de courriers expédiés |
610 909 |
68,1 % |
785 691 |
84,8 % |
(*) Rejets pour cause d’absence d’adresse (5 % des adresses tous régimes confondus manquent), pour présence d’une retraite de base sans retraite complémentaire et vice-versa (ce défaut représente la moitié des cas) ou pour mention d’une carrière totale inférieure à huit trimestres.
Source : GIP Info-Retraite, données provisoires (au 7 septembre 2007).
A la fin juin 2007, l’Annuaire a déclenché la collecte des données pour la constitution des documents d’information envoyés en 2007. Les opérations de collecte des données et le suivi de ces opérations ont été réalisés en juillet et août. Le Collecteur a terminé ses opérations à la mi-septembre. La transmission des images des documents aux différents organismes de retraite expéditeurs a débuté le 21 septembre. Les envois s’étaleront du 28 septembre au 15 novembre. Toutefois, l’EIG ne sera adressée aux artisans que le 15 décembre 2007. Le reliquat des documents composés mais non transmis (cf. tableau ci-dessus), qui exige un examen particulier, sera envoyé de la fin novembre à la mi-décembre.
En 2008, le volume des expéditions doublera. En 2009, il augmentera encore de 25 % par rapport à 2008, pour se stabiliser ensuite.
Progression du nombre des assurés concernés par les envois de documents
Envoi des EIG |
Envoi des RIS |
Population totale | |
En 2007 |
897 361 |
926 839 |
1 824 200 |
En 2008 |
1 777 840 |
1 929 262 |
3 707 102 |
En 2009 |
1 767 999 |
2 937 855 |
4 705 854 |
En 2010 |
1 797 685 |
2 932 292 |
4 729 977 |
En 2011 |
913 160 |
3 800 018 |
4 713 178 |
Nota : L’envoi des EIG en 2011 n’est estimé que sur la population âgée de 55 ans, le nombre d’assurés âgés de 60 ans n’ayant pas liquidé leur pension n’étant pas connu et étant difficilement prévisible.
Source : GIP Info-Retraite (données estimatives, septembre 2007).
Lorsque l’assuré relève de plusieurs régimes de retraite, notamment un régime de base et un régime complémentaire les envois sont répartis entre ces régimes. Ainsi, la charge matérielle des envois aux assurés relevant à la fois de la CNAV ou de la MSA et de l’AGIRC-ARRCO a été répartie selon leur mois de naissance, la CNAV ou la MSA assurant les envois aux assurés nés un mois impair et l’AGIRC-ARRCO un mois pair.
Eu égard l’enjeu de l’information des assurés et la force de la demande sociale, le coût d’envoi des RIS et des EIG est réduit. Les principaux régimes de retraite ont fourni au rapporteur une estimation de leurs coûts d’envoi (collecte des données, confection, impression, expédition des documents et gestion des retours de premier niveau) : le coût le plus bas communiqué est de 0,53 euro par envoi ; le plus élevé est de 1,10 euro. L’écart s’explique par des économies d’échelle et la nécessité ou non de réaliser des investissements spécifiques pour ces opérations.
Chaque lettre de communication des documents d’information contient un numéro de téléphone permettant à l’assuré d’obtenir des renseignements ou porter des réclamations ainsi qu’un site Internet d’information. Ce numéro et ce site sont propres au régime expéditeur (cf. première page des RIS et EIG en annexe).
Un test d’envoi des RIS et des EIG auprès de 10 000 assurés dans trois départements a été effectué en juin 2007 ; il s’est traduit par un nombre d’appels pour des renseignements ou des rectifications très limité : 2 % pour le RIS et 4 % pour l’EIG. Le taux moyen de 3 % est également celui observé en Suède et en Allemagne où un droit à l’information fonctionne selon des modalités comparables. L’AGIRC-ARRCO et le GIP Info-Retraite estiment que le taux effectif pourrait être de 5 %. Par prudence, la CNAV s’est préparée pour faire face à un « taux de retour » de 15 % compte tenu de la nouveauté de la mesure, l’appétence des assurés pour l’information individualisée et de la sensibilité à la question des retraites dans le contexte actuel. Il n’est pas sûr que ce taux baisse d’ici à 2011 car la demande d’information ne décroîtra pas, même si les erreurs seront de moins en moins fréquentes. Le service des pensions de l’Etat est le plus pessimiste sur les taux de retour qu’il estime entre 10 et 30 % compte tenu des difficultés de reconstitution de carrières. Des plates-formes téléphoniques ont été mises en place en conséquence et des personnels formés.
Les organismes de retraite ont décidé de mettre en place une procédure de réponse aux assurés distinguant deux niveaux de questions. Les questions de niveau 1, qui sont celles n’exigeant pas d’étudier les carrières et les droits des assurés (les agents du centre national d’appels n’ont pas accès via leur écran au RIS ou à l’EIG de l’assuré), sont directement traitées par la plate-forme téléphonique nationale du régime expéditeur dont le numéro figure sur le document d’information. Peuvent ainsi être traitées les interrogations sur la finalité des documents d’information, les dates d’envoi, les termes employés, les rectifications de données d’état civil ou d’adressage et les demandes d’envoi de duplicata. Les questions de niveau 2 sont renvoyées aux services des caisses compétentes car elles exigent d’analyser les carrières, les droits ou d’expliquer des règles de droit précises. En cas de question de niveau 2, les assurés sont rappelés par les services des caisses. Si leur intervention conduit à rectifier des éléments de carrière ou de droits à pension figurant sur les documents d’information, une coordination entre les régimes doit être engagée et de nouveaux documents mis à jour sont adressés. Les membres du GIP ne se sont pas engagés sur un délai maximal de réponse aux questions de niveau 2.
Il faut également préciser que les organismes de retraite qui contactaient leurs assurés afin de préparer la liquidation de leur pension continueront à le faire. Ainsi, la CNAV qui jusqu’à présent contactait individuellement ses assurés âgés de 57 ans pour opérer la reconstitution de leur carrière et récupérer des données personnelles sur leur situation familiale et individuelle nécessaires à la liquidation de leurs droits continuera de le faire mais en avançant ce contact à l’année précédant l’envoi de l’EIG. Grâce aux RIS, ces contacts seront simplifiés car les carrières seront déjà reconstituées ; il restera essentiellement à récupérer les données sur les enfants à charge, les périodes de service militaire, les justifications de situation de handicap ou d’invalidité, etc.
L’article 5 de la loi du 21 août 2003 et le décret nº 2006-709 du 19 juin 2006 (articles D. 161-2-1-4 et D. 161-2-1-7 du code de la sécurité sociale) sont clairs sur la portée juridique des RIS et EIG : les informations qu’ils contiennent ne sont pas susceptibles de créer des droits ou avoir un caractère contractuel ; elles n’engagent pas les organismes de retraite sur les liquidations futures des droits ; elles sont fournies à titre de renseignement et ont un caractère provisoire. Ces principes sont justifiés notamment pour les EIG qui reposent sur des hypothèses de travail, notamment la stabilité des revenus soumis à cotisation de l’assuré jusqu’à l’obtention du nombre de trimestres d’assurance ouvrant droit au taux plein de liquidation.
Cependant, la question de la responsabilité des organismes de retraite reste posée quant aux informations qu’ils sont susceptibles de fournir aux assurés qui les interrogent suite à l’envoi des documents.
Le rapporteur a interrogé tous les organismes sur ce point délicat. En effet, le droit de la responsabilité civile est susceptible de s’appliquer. La responsabilité du régime général a ainsi déjà été engagée à plusieurs reprises sur des informations communiquées aux assurés qui les ont conduit à prendre des décisions leur causant un préjudice direct. Les tribunaux ont alors appliqué leur jurisprudence de droit commun notamment en cas d’information erronée ou incomplète, en cas d’absence de réponse causant un préjudice ou en cas de calcul erroné de l’estimation qui a entraîné à tort une cessation d’activité (cas le plus fréquent).
Si les organismes et services de retraite sont unanimes pour dire que le droit à l’information répond à un véritable besoin et qu’il est bien perçu par les assurés, ils se refusent à aller au-delà d’un simple droit à l’information en donnant des conseils sur les choix de carrière ou liquidation de retraite par les assurés. En effet, face à la complexité du droit de l’assurance vieillesse, il faut s’attendre à que les demandes des assurés évoluent substantiellement. D’une part, si aujourd’hui les demandes d’état des lieux sont dominantes, les demandes de projections ou de simulations que ne donnera pas l’EIG (par exemple, le montant de mes droits à 62 ans ou en cas de retraite progressive) devraient se multiplier. D’autre part, les demandes d’explication devraient se transformer ou être complétées immédiatement par des demandes de conseil, en particulier sur les deux points – aux solutions contradictoires – qui sont au cœur des préoccupations des assurés selon toutes les enquêtes qualitatives réalisées depuis 2003 : comment obtenir ma pension de retraite au plus tôt et comment maximiser le montant de ma pension ? Compte tenu du large éventail offert par la loi quant au choix du moment de départ en retraite et des mécanismes financiers associés (décote, surcote, bonifications), le choix est difficile. Or le nouveau droit à l’information incite les assurés à avoir une vision prospective de leurs droits à pension.
Les organismes de retraite souhaitent se limiter au diagnostic des situations individuelles, à l’éclairage de l’assuré sur le droit et à la présentation des différents éléments de choix, et ne veulent pas franchir le pas vers le conseil ou l’orientation. Leur crainte est d’ailleurs forte de voir l’assuré interpréter une information, par exemple sur l’existence des surcotes ou de retraites supplémentaires facultatives, pour un conseil. Il s’agit donc de faciliter la prise de décision de l’assuré et non l’influencer. Il convient de veiller à la neutralité de l’entretien d’information car le conseil peut être intéressé ; en effet certaines caisses d’assurance vieillesse (notamment de nombreux groupes de protection sociale affiliés à l’AGIRC ou l’ARRCO) vendent des produits d’épargne retraite et pourraient utiliser le droit à l’information pour attirer leurs assurés vers ces produits.
Des organismes ou services gestionnaires de régimes de retraite avaient, avant 2003, élaboré des outils informatiques de simulation des montants de pension de retraite à destination de l’usage des assurés. Ces outils ne fournissaient toutefois qu’une information restreinte aux droits constitués dans le régime de retraite. La CNAV était en pointe dans le développement de cet instrument. L’outil M@rel (« ma retraite en ligne ») a en fait développé le simulateur élaboré par le régime général.
La loi du 21 août 2003 a substantiellement modifié les règles de calcul des droits à pension de retraite (décote, surcote), leurs effets ne pouvant être évalués par les assurés qu’en connaissant l’ensemble des durées d’assurance ou de services enregistrées par les régimes de retraite auxquels ils ont été affiliés, rattachés ou assimilés. On estime en effet qu’environ 40 % des retraités (ils étaient 36,4 % en 2001) sont aujourd’hui des polypensionnés auprès de plusieurs régimes de retraite de base ; ce pourcentage dépasserait les 50 % au sein des assurés actifs. Le taux de polyactifs et de polypensionnés des assurés relevant du régime social des indépendants atteint même 95 %. Un outil de simulation universel devenait dès lors indispensable pour fournir une information correcte aux assurés français.
L’outil M@rel de simulation universel a été conçu par le GIP Info-Retraite et développé par la CNAV à destination du grand public. Il est accessible par Internet. Il est également utilisé par les personnels des organismes et services gestionnaires des régimes de retraite pour renseigner les assurés. Il permet de fournir une estimation du montant futur des pensions de retraite liquidables, à partir des indications de profil de poursuite de carrière professionnelle introduites par l’internaute (évolution de grade dans la fonction publique ou du salaire dans le secteur privé) et d’informations relatives à la situation personnelle et familiale apportées par l’assuré au moment de l’interrogation de l’outil. Il donne les résultats suivants :
– l’âge du départ en retraite au taux plein ou sans abattement ;
– l’estimation du montant des pensions à cet âge ;
– l’estimation du montant des pensions à des âges voisins de cet âge afin de prendre en compte une décote ou une surcote ;
– le taux de remplacement obtenu par l’ensemble des pensions liquidées.
M@rel intègre des règles de calcul des pensions qui permettent de couvrir, à ce jour, près de 96 % de la population active. Les professions libérales seront incluses avant la fin de l’année 2007, ce qui permettra de couvrir plus de 99 % des assurés cotisants. Les régimes spéciaux et les militaires resteront toutefois exclus eu égard à la complexité et la spécificité de leurs règles d’assurance vieillesse.
Cet outil permet de simuler différents scénarios de carrière professionnelle et interprofessionnelle dont les assurés peuvent mesurer les effets sur leurs droits à pension. Il faut cependant bien comprendre l’utilité de ce simulateur : il vise à combler le besoin d’estimation des assurés qui doivent attendre l’âge de 55 ans pour recevoir leur première estimation indicative globale (EIG). Pour les jeunes assurés de moins de 40 ans, la simulation fournie par M@rel présente toutefois un caractère très aléatoire étant donné l’incertitude des données de salaire et de carrière jusqu’à l’âge de la retraite qu’il faut introduire dans le simulateur, sans compter l’incertitude sur l’évolution sur trente ans du droit de l’assurance vieillesse. Pour les quinquagénaires, il est préférable d’attendre de recevoir l’EIG pour avoir une estimation fiable intégrant correctement toutes les données de carrière, de situation personnelle et de règles de droit.
En effet, la convivialité de l’outil, l’exigence de simplicité de son usage et le nombre limité d’informations dont disposent les assurés par devers eux ont imposé de réduire les saisies d’informations et de procéder à des simplifications au regard des règles juridiques complexes présidant aux liquidations de droits à pension de retraite. Ainsi, les cas d’invalidité, de handicap, de départ anticipé ou de rachat de périodes d’assurance ne sont pas pris en compte. Les calculs liés au minimum contributif sont adaptés en considérant les trimestres comme étant cotisés. De même, des règles très spécifiques à certains régimes n’ont pas été intégrées.
A ce jour, M@rel, lancé en juin 2006, enregistre 4 500 visiteurs par jour.
Le GIP Info-Retraite complète également l’information des assurés par un site Internet ouvert en juin 2006 : www.info-retraite.fr. Avant l’envoi des RIS et EIG, 3 500 connexions quotidiennes étaient enregistrées.
Le site répond au déficit d’information sur le système des retraites existant globalement en France et le fonctionnement des différents régimes. Des informations pratiques sont présentées : impact des enfants sur les droits à la retraite, conséquences d’un décès d’un assuré, démarches administratives, etc. Il oriente également les assurés vers les sites où se trouvent des éléments d’information plus approfondis.
Les informations du site sont coécrites par l’ensemble des organismes de retraite, qui veillent à leur mise à jour et à la production d’éléments d’information d’actualité.
Selon tous les témoignages recueillis par le rapporteur, le nouveau droit à l’information est très bien accueilli par les organismes de retraite qui ont eu démarche volontaire de mise en œuvre rapide et complète des dispositions législatives et réglementaires et par les assurés sur lesquels il a été testé en grandeur nature au mois de juin 2007. La procédure retenue qui est passée par la mise en place d’une structure légère – le GIP Info-Retraite – a donné entière satisfaction : elle a permis de faire travailler ensemble tous les organismes de retraite – qui n’en avaient pas tous vraiment l’habitude – tout en permettant à chaque régime de conserver l’entière maîtrise de la gestion de ses assurés ou adhérents – et notamment la relation directe avec eux – et sans qu’aucun n’abandonne une part de ses attributions. Cette approche a permis de réaliser des économies de structures et de coûts substantiels en mettant à profit les compétences existant au sein des grands régimes ainsi que leurs moyens.
La mise en œuvre du droit à l’information a cependant contraint les organismes de retraite à mobiliser d’importantes ressources propres, financières comme humaines. Tous s’en félicitent néanmoins car ils en attendent une efficacité accrue et une meilleure réponse à une demande sociale d’information réelle et croissante.
La quantification des avantages tirés du nouveau système d’information des assurés est délicate. Les gains de productivité suivants peuvent être attendus :
– une simplification des procédures réglementaires régissant les relations entre les régimes ;
– l’élimination des interventions redondantes dans la chaîne de traitement des dossiers individuels et la validation progressive des éléments de ces dossiers ;
– la gestion des interrogations, demandes et réclamations des assurés garantit le suivi des dossiers « au fil de l’eau », améliore le temps de réponse, permet de garder une trace des contacts, facilite les rectifications des informations contenues dans les dossiers et allège les charges de liquidation finale ; à la suite de chaque appel d’assuré, des « fiches contact » sont établies par la plate-forme téléphonique ayant traité l’appel et sont transmises par voie électronique au régime concerné par l’interrogation, la demande ou la réclamation qui sera chargé de répondre et d’apporter les rectifications en cas de nécessité au relevé de carrière ou à l’estimation des pensions ;
– la dématérialisation des échanges entre les régimes accroît l’efficacité des agents des services ; à terme, le système permettra de faire complètement disparaître les échanges de formulaires papier entre régimes pour établir les carrières des assurés (afin de calculer la durée d’assurance totale). Cette charge administrative devenait de plus en plus lourde compte tenu de l’accroissement des demandes de liquidation et de l’augmentation du nombre d’assurés affiliés à plusieurs régimes de base ; il faut cependant souligner que huit régimes ne participent pas encore, à ce jour, à l’échange de données dématérialisé (Banque de France, CAVIMAC, CNBF, Comédie-Française, CRPCEN, Opéra de Paris, Port autonome de Strasbourg, RATP) ;
– la qualité de la reconstitution des carrières est améliorée : les données détenues par les régimes devraient être plus complètes qu’auparavant, ce qui facilite et accélère la procédure ultérieure de liquidation.
En revanche, dans l’immédiat, tous les régimes soulignent la surcharge de travail et de formation et le coût humain et financier de mise en place du nouveau dispositif.
Il faut souligner que le nouveau système ne dématérialise pas les relations entre les caisses de retraite ou services de pensions et leurs affiliés.
En effet, il ne supprime pas les contacts directs avec les assurés. Ceux-ci sont jusqu’à présent sollicités par leur caisse de retraite de base ou leur service des pensions deux ou trois ans avant leur départ en retraite afin de procéder à la reconstitution de leur carrière. Ces contacts seront avancés à l’année précédant l’envoi de la première estimation indicative globale (EIG) et seront simplifiés puisque l’essentiel de la carrière de l’assuré aura été validé grâce aux relevés de situation individuelle (RIS) : il restera essentiellement à déterminer les droits non contributifs. Le caractère de document de préliquidation que revêt l’EIG est un facteur majeur de simplification des procédures qui a permis de mobiliser les régimes de retraite pour parvenir au meilleur résultat techniquement possible car cet aspect-là est susceptible de générer des gains de temps administratifs importants au moment des opérations de liquidation. A la demande du rapporteur, l’AGIRC-ARRCO a évalué à 20 % le gain financier sur le coût de traitement complet d’un dossier de liquidation de retraite par un centre d’information de conseil et d’accueil des salariés à partir d’une demande d’un adhérent, dans le cadre du plan de gestion AGIRC-ARRCO 2005-2010.
Le nouveau droit à l’information conduit les caisses de retraite et services de pensions à se tourner davantage vers leurs affiliés et à entretenir une relation suivie avec eux. Jusqu’à présent la plupart de ces organismes ne prenaient contact avec leurs affiliés que quelques années avant qu’ils atteignent l’âge de la retraite, le point extrême étant celui du service des pensions de l’Etat, de la CNRACL et de l’IRCANTEC qui ignoraient presque complètement leurs affiliés et n’avaient pas de contact avec eux pendant toute leur carrière.
En outre, même lorsque des échanges entre les assurés et leurs caisses existent, ceux-ci vont changer de nature. Quantitativement, le nombre de demandes ne devrait pas diminuer. Si des réponses aux interrogations des assurés sont directement apportées par les informations contenues dans les RIS et EIG et par M@rel et les sites Internet, le nouveau droit à l’information est de nature à provoquer de nouvelles interrogations, essentiellement de nature prospective. En outre, la sensibilité des Français à la question des retraites s’accroît continûment et génère beaucoup de questions. La nature des questions devrait cependant évoluer.
En effet, le nouveau droit ouvre de nouveaux horizons pour les assurés. Leurs demandes devraient évoluer sous l’influence des nouveaux documents d’information : la simulation et le conseil vont devenir une préoccupation centrale. Cette évolution impose de former les personnels des caisses et des services de pensions et de veiller à maintenir la performance des outils de simulation créés (M@rel) avec l’évolution de la réglementation.
Toutefois, le rapporteur estime qu’il ne convient pas de modifier la loi pour étendre le droit à l’information au conseil sur la retraite (choix du moment de départ en retraite, orientation pour maximiser les pensions grâce aux plans d’épargne,…). Certes, il semblerait que des assurés sollicitent les caisses de retraite pour obtenir de tels conseils et la frontière devient délicate entre l’information et le conseil. Mais il ne relève pas des missions des organismes de retraite de conseiller ou d’orienter les assurés vers des solutions administratives ou financières. Il convient donc de se limiter à une démarche de diagnostic des situations individuelles, d’éclairage de l’assuré et de présentation des différents éléments de choix. Le lien de confiance avec les organismes d’assurance vieillesse pourrait être rompu si, par exemple, des consignes générales étaient passées pour pousser tous les assurés vers un report maximal de leur départ en retraite au travers des renseignements donnés en réponse à leurs questions sur les RIS et EIG.
Cependant, il pourrait être utile de renforcer l’information sur l’existence des dispositions législatives et réglementaires relatives aux régimes d’assurance supplémentaire et sur les assurances personnelles d’épargne retraite. Le dispositif actuel d’information ne dit rien de l’existence de ces dispositifs facultatifs ; une information sur leur statut légal et leur régime fiscal pourrait être utile.
Concernant un autre aspect du champ du droit à l’information, la prise en compte des régimes de retraite supplémentaires facultatifs ne paraît pas possible compte tenu de l’architecture même des systèmes d’information. Au mieux, pourrait-on signaler dans les lettres d’envoi des EIG qu’il appartient à chaque assuré de se rapprocher des organismes de retraite supplémentaire ou des gestionnaires de plans d’épargne retraite.
Le rapporteur considère que les premiers résultats de la mise en œuvre du droit à l’information répondent aux demandes du législateur et aux attentes des assurés.
La transparence des EIG pourrait cependant être améliorée par la publication sur le site du GIP Info-Retraite des données économiques et financières utilisées pour le calcul des estimations des montants des pensions (évolutions des prix, des salaires, du plafond de sécurité sociale, etc.).
L’information des assurés pourrait être également complétée sur un autre point. Alors que le calcul des montants de pensions intègre la règle du minimum contributif, le mécanisme du minimum vieillesse (allocation de solidarité aux personnes âgées depuis l’entrée en vigueur en 2006 de l’ordonnance de simplification du 24 juin 2004) est totalement ignoré des EIG. La prise en compte du minimum vieillesse est techniquement très difficile puisque son attribution est soumise à un plafond de ressources calculé sur l’ensemble d’un ménage et dépassant les seuls avantages vieillesse (pensions d’invalidité, revenus professionnels, revenus de biens mobiliers et immobiliers, etc.). L’existence de ce dispositif de soutien est toutefois mal connue alors même que l’on annonce des efforts importants en direction des petites pensions. Il serait donc opportun d’insérer dans les EIG une information sur l’existence de l’allocation de solidarité aux personnes âgées, éventuellement ses montants pour une personne seule et un ménage de deux personnes et le plafond de ressources applicable.
Par ailleurs, le système pourrait évoluer vers un droit à l’information quérable : à l’ère Internet, les assurés devraient pouvoir consulter leur situation de carrière sur un compte mis en ligne, voire à partir de 55 ans commander une estimation indicative globale consultable en ligne. Cette procédure paraît compatible avec l’architecture du système qui a été retenue et les programmes qui ont été élaborés. Elle exige cependant que les plates-formes d’assistance téléphonique puissent prendre en charge les demandes nouvelles générées par cette évolution, ce qui ne paraît possible qu’une fois terminée la montée en charge actuelle du système (en 2011).
En dernier lieu, il conviendrait de supprimer le répertoire national des retraites et des pensions prévu par l’article L. 161-17-1 du code de la sécurité sociale. Il avait été créé par l’article 27 de la loi de financement de la sécurité sociale pour 2001. Il n’a eu aucune autre existence que celle de figurer dans un article du code de la sécurité sociale : l’article 14 de la loi du 21 août 2003 avait adapté son régime mais aucun décret d’application n’est paru (le gouvernement a suspendu dès 2004 la rédaction des textes). Il n’apparaît plus utile avec la nouvelle architecture du droit à l’information ; aucun membre du GIP Info-Retraite ne souhaite créer une base centralisée des droits à pension ; le système Collecteur permet aux régimes de conserver la parfaite maîtrise de toutes les données relatives à leurs assurés. Le répertoire national des retraites et des pensions paraît être une machine d’une grande lourdeur de mise en place et surtout de gestion qui apporterait peu aux régimes, aux assurés ou aux pouvoirs publics par rapport au système léger et déconcentré piloté par les programmes Annuaire et Collecteur.
Deux pays en Europe ont mis en place des systèmes perfectionnés d’information des assurés sur leur retraite : la Suède et l’Allemagne. L’étude du modèle suédois a donné lieu à un rapport complet de MM. Alain Vasselle et Bernard Cazeau au nom de la mission d’évaluation et de contrôle de la sécurité sociale du Sénat (rapport n° 377 du 11 juillet 2007). Le rapporteur s’est donc rendu à Berlin pour étudier le modèle allemand (cf. partie suivante du présent rapport).
Il ressort de l’étude du système allemand un enseignement majeur : une information sur le montant des droits à pension accumulés et une estimation du montant de la pension pouvant être obtenue à l’âge légal de départ en retraite sont déterminantes pour la sensibilisation des assurés sur leur retraite. On pourrait ajouter dans le cadre de la réglementation française, l’indication du nombre de trimestres d’assurance manquants pour obtenir le taux plein de liquidation. Ce type d’information devrait être fourni le plus tôt possible, y compris avant l’âge de 40 ans car il présente un caractère pédagogique fort, même si l’estimation des droits à l’âge de départ à la retraite repose sur des hypothèses de calcul théoriques et ne peut pas prendre en compte de nombreux droits non contributifs. Ce chiffrage est néanmoins parlant : l’assuré dispose en Allemagne, dès l’âge de 27 ans puis chaque année, d’une estimation minimale de ses droits à pension de retraite compte tenu de la moyenne de ses revenus et cotisations en cours. L’utilité de cette information est d’autant plus grande qu’une épargne retraite est intéressante si elle est constituée sur plus de vingt ans.
Cette mesure reçoit un accueil extrêmement favorable en Allemagne depuis sa mise en œuvre en 2004. Le rapporteur est convaincu qu’elle constitue une étape fondamentale pour ancrer définitivement les assurés dans une démarche de préparation de leur retraite.
L’automatisation des systèmes et la mise en place de consultations en ligne devraient pouvoir réduire les charges matérielles et financières des envois papier entraînées par la mise en œuvre de cette mesure.
*
En conclusion, le rapporteur tient à souligner que le droit à l’information ne portera tous ses fruits que si la confiance des assurés dans la solidité du système des retraites français est restaurée. Il est impératif de donner une grande visibilité sur le long terme quant à l’état des comptes des régimes de retraite et de garantir une stabilité juridique minimale. A défaut, quelle que soit l’information fournie aux assurés, ceux-ci n’auront qu’un seul objectif : liquider leur pension de retraite au plus tôt.
Une première démarche en ce sens a été réalisée par la loi de financement de la sécurité sociale pour 2007 qui a réformé la loi du 21 août 2003 afin de déconnecter le droit applicable de la date choisie pour liquider sa pension de vieillesse : le droit de l’assurance vieillesse doit désormais s’appuyer sur les années de naissance des assurés et non sur les dates de demande de liquidation de pension. Cette novation majeure est passée largement inaperçue du grand public, ce qui n’a pas permis de freiner le flux des demandes de liquidation anticipée.
Le rendez-vous de 2008 doit maintenant clarifier l’évolution du droit de l’assurance vieillesse et le financement sur le très long terme des régimes. A cette condition, les assurés pourront faire un usage raisonné des documents d’information qui leur seront envoyés.
III.- L’ÉVOLUTION DU SYSTÈME DES RETRAITES ET
LE DROIT À L’INFORMATION EN ALLEMAGNE
L’an passé, dans son rapport (n° 3384 - tome 4, pages 75 à 84) sur le projet de loi de financement de la sécurité sociale pour 2007, le rapporteur avait analysé les mécanismes du régime des retraites allemand, et notamment celui des pensions de réversion, et présenté les réformes engagées depuis quinze ans.
Le rapporteur s’est rendu à nouveau à Berlin les 27 et 28 septembre 2007 (cf. liste des personnes auditionnées en annexe) afin d’étudier les modalités du droit à l’information des assurés sur leur retraite mis en œuvre depuis 2004 et faire le point sur la mise en place de la réforme du régime des retraites engagée par le gouvernement de Mme Angela Merkel et la coalition CDU-SPD.
Par rapport aux éléments présentés dans le rapport de l’an dernier, les évolutions suivantes ont été constatées.
La loi portant recul de l’âge légal de départ en retraite discutée a finalement été publiée au Journal officiel du 30 avril 2007. Ses dispositions entrent en vigueur le 1er janvier 2008 mais ses dispositions centrales commenceront à porter effet à partir de 2012.
L’objectif de la loi est de garantir l’équilibre financier du régime d’assurance vieillesse allemand en portant de 65 à 67 ans l’âge légal de départ à la retraite. Cette mesure a fait l’objet d’âpres discussions et pour la première fois une mesure de réforme des assurances sociales ne fait pas l’objet d’un accord entre les syndicats d’employeurs et les syndicats de salariés.
Le gouvernement et la majorité CDU-SPD ont considéré qu’équilibrage des comptes de l’assurance vieillesse ne pouvait plus passer par une réduction des droits à pension servis aux retraités. Comme le rapporteur l’a expliqué dans son rapport de 2006, le système allemand repose sur une garantie du taux de remplacement des pensions de retraite. La loi précédente de 2004 avait organisé la décroissance du taux de remplacement garanti par loi afin de passer de 52,4 % du salaire brut en 2006 à 46 % en 2020 puis 43 % en 2020, soit au stade final 55 % du salaire net. La dégradation du taux de remplacement de la retraite légale allemande doit être compensé par la montée en puissance des retraites d’entreprise (« deuxième pilier ») et de l’épargne retraite privée (« retraite Riester » ou troisième pilier). Pour les fonctionnaires, le taux de remplacement d’une pension au taux maximum passera de 75 % à 71,75 %.
La deuxième solution pour rétablir les comptes sur le long terme aurait pu être de programmer des relèvements du taux de cotisation. Elle a été écartée. Le taux de cotisation pour la retraite légal de 19,5 % depuis 2003 – acquitté pour moitié par les employeurs et pour moitié par les salariés comme les quatre grandes cotisations d’assurance sociale – a dû être relevé pour 2007 en raison des besoins financiers immédiats imposés par l’obligation légale d’équilibrer les comptes annuels de l’assurance vieillesse et le respect du taux de remplacement fixé par la loi. Le gouvernement et le Parlement ont jugé que les prélèvements sociaux et fiscaux sur les entreprises ne pouvaient plus augmenter, les entreprises allemandes subissant un trop grand différentiel de compétitivité par rapport à la concurrence mondiale au regard de leurs prélèvements obligatoires et du coût du travail, nonobstant d’ailleurs leurs excellents résultats à l’exportation qui sont plus dus à leurs créneaux commerciaux et à la qualité des produits et services mis sur le marché.
Evolution des taux de cotisation des assurances sociales en Allemagne
1970 |
1980 |
1985 |
1990 |
1995 |
1998 |
1999 |
2000 |
2001 |
2002 |
2003 |
2004 |
2006 |
2007 | |
Assurance vieillesse |
17,0 |
18,0 |
18,7 |
18,7 |
18,6 |
20,3 |
20,3 |
19,3 |
19,1 |
19,1 |
19,5 |
19,5 |
19,5 |
19,9 |
Assurance maladie |
8,2 |
11,4 |
11,8 |
12,8 |
13,2 |
13,6 |
13,5 |
13,5 |
13,6 |
14,0 |
14,3 |
13,5 |
(*) 14,2 |
(*) 14,2 |
Assurance chômage |
1,3 |
3,0 |
4,4 |
4,3 |
6,5 |
6,5 |
6,5 |
6,5 |
6,5 |
6,5 |
6,5 |
6,5 |
6,5 |
4,2 |
Assurance dépendance |
— |
— |
— |
— |
1,0 |
1,7 |
1,7 |
1,7 |
1,7 |
1,7 |
1,7 |
1,7 |
1,7 |
1,7 |
Total |
26,5 |
32,4 |
34,9 |
35,8 |
39,3 |
42,1 |
42,0 |
41,0 |
40,9 |
41,3 |
42,0 |
41,2 |
41,9 |
40,0 |
Nota : les taux sont assis sur les salaires bruts sous un plafond de rémunération de 5 150 euros par mois pour les assurances vieillesse et chômage et un plafond de rémunération de 3 562,50 euros pour les assurances maladie et dépendance en 2007. L’assurance maladie a un plafond d’assujettissement de 3 975 euros par mois au-delà duquel elle n’est pas obligatoire. Les entreprises acquittent également une assurance pour les accidents du travail, qui est en totalité à la charge de l’employeur, dont le taux est variable selon les branches ; il est en moyenne de l’ordre de 1,5 % du salaire brut.
(*) Le taux de 14,2 % intègre une cotisation de 0,90 % versée par les seuls salariés depuis le 1er janvier 2005. Le taux normal est de 13,3 % acquitté pour moitié par les employeurs et pour moitié par les salariés.
La solution de l’accroissement des subventions du budget fédéral a également été écartée eu égard à la situation des finances publiques allemandes. En outre, en 2007, l’Etat fédéral verse déjà une subvention de 78 milliards d’euros à l’assurance vieillesse obligatoire, qui inclut le « complément fédéral » destiné à financer les charges non contributives imposées par la loi.
En dernière extrémité, la majorité CDU-SPD s’est donc accordée sur un relèvement de l’âge de départ en retraite. Les responsables gouvernementaux et du patronat reconnaissent le caractère très impopulaire cette mesure rejetée à 85 % selon les sondages. Les syndicats de salariés mobilisent leurs moyens et leurs adhérents pour s’opposer à la mise en œuvre de la réforme. La fédération des syndicats allemands estime que l’assurance vieillesse a suffisamment été réformée et que la dernière loi est inutile : elle ne permettrait que de réduire de 0,5 point le taux de cotisation par rapport au niveau prévu pour 2030 ; elle devrait permettre de faire passer le plafond de taux de cotisation de 23 % prévu pour 2030 à 22 % (contre 20 % aujourd’hui). La fédération des syndicats allemands considère que les besoins de financement auraient pu être couverts par un relèvement du taux de cotisation, d’autant plus que les comptes de la Deutsche Rentenversicherung (assurance vieillesse allemande) sont de nouveau à l’équilibre et que des provisions sont en cours de constitution. Elle dénonce le refus catégorique du gouvernement et de la majorité de faire passer le taux de cotisation au-delà des 20 % qui sont une limite fixée par la loi de 2004 jusqu’en 2020 : une loi de 2007 aurait pu déroger à une loi de 2004.
La Deutsche Rentenversicherung estime qu’à partir de 2010 ou 2012 le taux de cotisation, qui est à 0,1 point de sa limite légale, pourra être légèrement abaissé grâce au redressement du nombre de cotisants. La barre des 20 % ne sera donc pas franchie d’ici 2020. Après 2020, il devra être à nouveau relevé mais la réforme de 2007 permettra de rester en dessous de la barre légale des 22 % au moins jusqu’en 2030.
La réforme de 2007 pose néanmoins pour la fédération du patronat allemand et la fédération des syndicats allemands le problème de l’accompagnement dans le travail des salariés jusqu’à l’âge de 67 ans. La question de la pénibilité devient donc primordiale. Le sujet est délicat car la réglementation du travail est uniforme sur l’ensemble des professions à l’exception de quelques cas spécifiques (policiers, militaires, pompiers, mineurs, contrôleurs aériens, pilote d’avions de ligne,…) et la Deutsche Rentenversicherung refuse d’assouplir les conditions extrêmement sévères d’éligibilité à la pension d’invalidité pour incapacité d’exercer un emploi de crainte de constater des contournements de la réglementation (l’assurance vieillesse allemande privilégie en fournissant les financements la rééducation et la formation des accidentés du travail afin de les réinsérer au maximum dans le travail). Comme dans tous les autres pays européens, il n’existe pas de législation ou de définition interprofessionnelle de la pénibilité au travail.
La loi du 30 avril 2007 a donc prévu d’augmenter l’âge légal de départ à la retraite d’un mois par année pendant dix ans à compter de 2012 puis de deux mois par année de 2024 à 2029. A compter de 2029, l’âge légal de la retraite sera donc de 67 ans. La réforme commencera donc à s’appliquer pleinement aux assurés nés en 1964.
La loi préserve plusieurs dérogations :
– les assurés ayant eu une carrière longue (45 années d’assurance), l’âge légal de départ à la retraite est maintenu à 65 ans et leur pension est liquidée sans décote ;
– les assurés réunissant une durée d’assurance d’au moins 35 années pourront partir en retraite à 65 ans, contre 63 ans auparavant, avec un coefficient de minoration de 0,3 point par mois manquant par rapport à l’âge légal ;
– les assurés gravement handicapés réunissant une durée d’assurance d’au moins 35 années pourront partir en retraite à 65 ans, contre 63 ans auparavant, sans décote ; un départ dès l’âge de 62 ans, contre 60 ans aujourd’hui, leur est ouvert mais avec l’application d’un coefficient de minoration de 0,3 point par mois manquant par rapport aux 63 relevés à 65 ans ;
– les femmes réunissant une durée d’assurance minimale de 15 ans et ayant versé des cotisations obligatoires pendant au moins 10 ans après l’âge de 40 ans révolus pourront partir en retraite à 62 ans, au lieu de 60 ans aujourd’hui, avec l’application du coefficient de minoration ; cette retraite anticipée était jusqu’à présent ouverte aux seules femmes nées avant 1952 ; la loi du 30 avril 2007 a supprimé cette restriction au moment de l’entrée en vigueur du relèvement de l’âge légal de départ à la retraite ;
– les assurés chômeurs avant leur départ en retraite (4) réunissant une durée d’assurance minimale de 15 ans et ayant versé des cotisations obligatoires pendant huit ans au cours des dix années ayant précédé leur départ en retraite pourront partir en retraite à 65 ans, au lieu de 63 ans aujourd’hui, avec l’application du coefficient de minoration ; cette retraite anticipée était jusqu’à présent ouverte aux seuls chômeurs nées avant 1952 ; la loi du 30 avril 2007 a supprimé cette restriction au moment de l’entrée en vigueur du relèvement de l’âge légal de départ à la retraite ;
– les assurés pensionnés pour incapacité d’exercer un travail à la suite d’un accident pourront partir en retraite à 62 ans, au lieu de 60 ans aujourd’hui, s’ils réunissent 35 années d’assurance relevées à 40 années à partir de 2024 ou à 63 ans sans application d’un coefficient de minoration s’ils ne réunissent pas cette condition d’assurance ;
– les assurés employés longtemps en fond de mine pourront partir en retraite sans décote à 62 ans contre 60 ans actuellement s’ils réunissent au moins 25 ans d’assurance englobant les périodes de travail permanent en fond de mine (le régime des mines est le seul régime spécial d’assurance vieillesse en Allemagne).
Le relèvement de deux ans de l’âge d’ouverture s’appliquera également au droit à l’ouverture de la grande retraite de veuvage qui passera ainsi de 45 à 47 ans.
Selon les responsables de la Deutsche Rentenversicherung, ces mesures permettront de garantir le respect du taux de remplacement de la retraite légale (dite de premier pilier) fixé à 43 % pour 2030. Le ratio entre actifs et retraités sera redressé : en 2030, on passera d’un rapport de 100 personnes âgées de 65 ans et plus pour 199 personnes âgées de moins de 65 ans avant la réforme à un rapport de 100 personnes âgées de 67 ans et plus pour 239 personnes âgées de moins de 67 ans après la réforme.
L’effort principal doit maintenant porter sur la réinsertion dans l’emploi des chômeurs de plus de cinquante ans. Le succès de la réforme dépend donc beaucoup de la bonne volonté des employeurs de maintenir dans l’emploi les travailleurs âgés. La question est d’autant plus sensible que l’Allemagne subit un fort vieillissement démographique et que la main-d’œuvre allemande a tendance à s’expatrier.
La loi de 2007 a également mis fin, à compter de 2010, aux dispositifs fiscaux en faveur des préretraites et des retraites à temps partiel (pour les mesures accordées à compter de cette date). Le système historique de la préretraite à 58 ans s’était arrêté à la fin 1988 mais un système de retraite à temps partiel lui avait été substitué. La retraite à temps partiel est ouverte aux salariés âgés d’au moins 55 ans et leur permet de réduire de moitié leur temps de travail sur une période de six ans. En contrepartie, l’entreprise doit embaucher une personne au chômage. L’assurance chômage subventionne le mi-temps du préretraité en finançant les 20 % de salaire permettant de servir au préretraité 70 % de son ancien salaire net et payant 90 % des cotisations à hauteur de 90 % du salaire net. Ce dispositif a beaucoup été utilisé par les branches professionnelles. A la fin 2009, il sera mis fin au soutien financier de l’assurance chômage mais les retraites à temps partiel seront toujours possibles : il appartiendra à l’employeur de financer lui-même les 20 % de salaire net jusqu’à présents fiancés par l’assurance chômage, et d’apporter le différentiel de cotisations sociales financé par l’assurance sociale.
Des mesures de retraite progressive seront néanmoins possibles. Elles offrent une grande souplesse d’emploi, notamment par la formule du travail en bloc qui permet de répartir une retraite progressive à temps partiel de deux ans sur un temps plein d’un an et d’une préretraite totale d’un an.
Le déplacement à Berlin a également permis de faire un point sur la progression des retraites de deuxième et de troisième piliers (cf. rapport de l’an dernier).
Ces retraites d’entreprises et individuelles ont connu un fort essor sur les huit premiers mois de 2007 : + 10 %. Au 1er septembre 2007, environ 17 millions d’assurés, soit 66 % de la population active, détenaient une retraite d’entreprise et plus de 9 millions une retraite Riester.
La retraite d’entreprise dite de deuxième pilier est un contrat de prévoyance financé par l’employeur. Dans sa forme actuelle, elle date de 2002. L’entreprise peut mettre en place une convention interne de prévoyance retraite ; parfois la convention est élaborée au niveau de la branche professionnelle et parfois la convention est totalement individualisée entre l’employeur et son salarié. En général, les entreprises font appel à une société extérieure pour élaborer le produit d’épargne et le gérer.
La loi n’impose pas une parité de contribution entre l’employeur et le salarié. Selon la formule de gestion retenue, la cotisation reste au sein des comptes de l’entreprise qui place les fonds ou passe à la compagnie d’assurance extérieure. Si le salarié quitte son employeur, soit les droits ont été gérés en interne par l’entreprise et ceux acquis par le salarié restent sur son compte individuel dans l’entreprise et sont liquidés lorsqu’il atteint l’âge de 65 ou 67 ans en fonction de la loi du 30 avril 2007, soit les droits acquis ont été gérés par une compagnie extérieure et sont transférés au gestionnaire de la retraite d’entreprise du nouvel employeur du salarié.
L’état d’un compte individuel de retraite d’entreprise fait l’objet d’une information annuelle présentant l’état des droits acquis et l’estimation du montant de la pension liquidable à l’âge légal de départ en retraite.
L’assurance vieillesse complémentaire privée, dite « retraite Riester » du nom de Walter Riester, ministre du travail et des affaires sociales qui l’a mise au point et défendue, a été mise en place par la loi du 26 juin 2001 sur la formation d’un patrimoine vieillesse, adoptée par le Bundestag le 26 janvier 2001 et le Bundesrat le 11 mai 2001. La loi est entrée en vigueur le 1er janvier 2002.
Le contrat Riester permet de verser une partie de son salaire dans un fonds privé de prévoyance vieillesse par capitalisation. L’aide du budget fédéral est plafonnée, en 2007, à 114 euros par adulte composant le foyer et 138 euros par enfant. Pour obtenir ce maximum, le cotisant doit verser au moins 3 % de son salaire annuel brut de l’année précédente à concurrence de 1 575 euros, primes de l’Etat comprises. En 2008, le taux passera à son maximum prévu par la loi : 4 % du salaire annuel brut à concurrence de 2 100 euros, primes de l’Etat comprises, et la prime maximale de base par adulte sera portée à 154 euros et celle par enfant à 185 euros (5). Un minimum de cotisation de 60 euros est imposé.
Après un décollage assez lent, au 1er septembre 2009, plus de 9 millions contrats d’épargne Riester ont été conclus. Il semble confirmé que les assurés cotisent au taux donnant droit à l’avantage fiscal maximum prévu par la loi (cf. rapport de l’an passé).
Les modalités du droit à l’information des assurés allemands sur leur retraite ont été définies dans la loi du 26 juin 2001 sur la formation d’un patrimoine vieillesse. Le dispositif législatif a été conçu en même temps que la réforme des retraites d’entreprise et la mise en place de l’épargne retraite individuelle complémentaire (retraite Riester). C’était donc également un moyen de sensibiliser les assurés sur le montant futur de leurs droits à pension et les inciter à se renseigner sur les retraites de deuxième et troisième piliers.
Au cours des années 2002 et 2003, des périodes d’essai ont permis de tester le contenu des documents et les procédures administratives et techniques. L’année 2004 a été la première année d’envoi des documents à l’ensemble des assurés bénéficiaires.
Par rapport au système français, la conception de l’information est grandement facilitée par le fait qu’il n’existe que quatre régimes d’assurance vieillesse – le régime général géré par la Deutsche Rentenversicherung, le régime spécial des mineurs, le régime des fonctionnaires, le régime de prévoyance vieillesse des agriculteurs (6) –, que le droit à l’information ne reprend que les données d’assurance relatives au régime général et au régime des fonctionnaires, qu’il est entièrement géré par la Deutsche Rentenversicherung et que le régime des retraites allemand est un système de retraite par points depuis 1992. Néanmoins, le système d’information exige une logistique considérable puisque 36 millions de documents d’information sont envoyés chaque année aux assurés et que le rythme d’expédition impose l’envoi de 170 000 courriers par jour d’expédition.
La loi a défini le contenu minimal de l’information délivrée par courrier sur la retraite légale. Le gouvernement a par ailleurs limité la taille des documents. Mais la forme et la rédaction des documents ont été décidées par les organismes de sécurité sociale. Les enquêtes auprès des assurés montrent le bon accueil de cette information, surtout pour ce qu’elle permet de mettre en évidence les insuffisances financières de la retraite légale.
Les assurés du régime général sont amenés à recevoir trois types de documents d’information :
– une feuille d’information sur leur retraite (Renteninformation) qui présente une information générale sur les retraites et fournit un état du montant des droits acquis et présente une évaluation des droits susceptibles d’être obtenus à l’âge légal du départ à la retraite ;
– un relevé de carrière (Rentenauskunft) qui détaille année par année les cotisations versées, les périodes d’activité correspondantes, la catégorie de laquelle relève l’employeur ayant fait la déclaration d’assurance, les périodes d’assurance équivalente validées (chômage, maternité, formation) ;
– un descriptif détaillé des éléments détenus par l’assurance vieillesse obligatoire sur les droits à retraite et la carrière de l’assuré (Versischerungsverlauf).
La feuille d’information sur la retraite est adressée d’office chaque année, à partir de l’âge de 27 ans. Cet âge de l’assuré a été choisi en estimant que les Allemands obtiennent leur licence à 21 ans et qu’ils accomplissent des formations supérieures ou des stages pendant cinq ans avant de travailler. Le document n’est pas adressé sur demande de l’assuré.
Les informations sont limitées par la taille restreinte de quatre pages du document. La lettre d’information indique sur la première page :
– la date exacte à laquelle l’assuré atteindra l’âge légal de départ à la retraite (cette information est utile car le relèvement non linéaire de l’âge légal rend plus compliqué la détermination de cette date) ;
– le montant mensuel de la pension d’invalidité pour incapacité de travail à laquelle l’assuré aurait droit s’il devait interrompre son activité professionnelle définitivement à la date d’envoi de la lettre : ce montant est calculé à partir d’une valeur moyenne calculée pour l’ensemble des Allemands (il est supérieur au montant suivant) ;
– le montant mensuel des droits à pension de retraite légale accumulés au 1er janvier de l’année d’envoi de la lettre ;
– l’estimation du montant mensuel de la pension de retraite légale à l’âge de départ en retraite, compte tenu d’un maintien des cotisations sur la base de la moyenne des salaires des cinq dernières années jusqu’à cet âge : chaque année cette moyenne de salaire est recalculée par glissement des cinq dernières années ;
– deux projections ajustées de cette estimation du montant mensuel de la pension à l’âge de départ à la retraite : le montant final des droits avec une augmentation de salaire (donc de cotisation) de 1 % par an ; le final des droits avec une augmentation de salaire de 2 % par an ; ces deux coefficients d’ajustement ont été fixés par la loi : le législateur a estimé que cette information « dynamique » devrait inciter l’assuré à se renseigner sur une meilleure valorisation de ses droits à pension par l’adjonction d’une retraite privée constituée par capitalisation ;
– un rappel que la retraite légale peut comporter une « lacune de prévoyance sociale » qui ne permettra pas de répondre à des « besoins supplémentaires » : ce paragraphe doit signaler les insuffisances de la retraite légale et inciter l’assuré à réfléchir à la constitution de compléments de retraite, mais la lettre ne contient pas d’information particulière sur les retraites de deuxième ou de troisième pilier.
La lettre d’information indique sur la deuxième page :
– un paragraphe d’information sur le calcul des points de retraite en Allemagne, qui permet d’indiquer le montant du salaire moyen allemand ouvrant droit à l’attribution du point de retraite annuel entier (29 488 euros en 2007), la valeur du point de retraite dans les Länder occidentaux (26,27 euros en 2007) et dans les Länder orientaux (23,09 euros en 2007) (cf. rapport de l’an passé) ;
– le montant total des cotisations d’assurance vieillesse versées par les employeurs ;
– le montant total des cotisations d’assurance vieillesse versées par l’assuré ;
– le cas échéant, le montant des cotisations d’assurance vieillesse validées au titre des périodes de chômage (cotisations payées par l’assurance chômage), de congé maternité ou parental (cotisations payées par l’Etat fédéral), de congé maladie de longue durée (cotisations payées par l’assurance maladie) ou autres situations ouvrant droit à des validations gratuites ;
– le nombre de points de retraite accumulés ;
– un rappel des règles d’ajustement du montant des pensions de retraite pour maintenir le pouvoir d’achat des retraités ;
– le numéro de téléphone unique du service d’information de l’assurance vieillesse allemande.
Dans une seconde feuille agrafée, il est succinctement présenté en page 3 les principales règles de fonctionnement de la retraite légale allemande et en page 4 les éléments d’information que les assurés sont requis de fournir pour permettre à terme de liquider leur pension de retraite.
Si la masse d’informations paraît importante, la lecture du document d’information montre que les éléments d’information sont extrêmement succincts et les pages de documentation sont peu chargées et mettent en évidence les éléments capitaux que sont les dates d’atteinte de l’âge légal de départ en retraite, les trois montants de pensions estimés, les montants de cotisations versées et le nombre de points de retraite accumulés. Les assurés se sont d’autant plus familiarisés avec ces données que le document leur est adressé chaque année par voie postale.
A intervalles périodiques, il est joint à l’envoi des feuillets présentant le déroulé de la carrière de l’assuré telle qu’enregistrée par la Deutsche Rentenversicherung. Ce relevé de carrière est adressé la première année d’envoi des documents d’information sur la retraite, lorsque l’assuré a atteint l’âge de 27 ans, afin de le familiariser avec les informations retracées par l’assurance vieillesse obligatoire. Il est ensuite envoyé lorsque l’assuré a atteint l’âge de 43 ans, puis 49 ans, 55 ans, 58 ans, 61 ans et 64 ans.
Ce relevé de carrière est présenté dans l’ordre chronologique en listant toutes les périodes d’assurance successives avec l’indication du type d’organisme ayant versé la cotisation, des dates exactes de cotisation, du montant global des cotisations versées, du nombre de mois d’assurance validés et de la nature de la période d’assurance validée.
Par rapport aux relevés de carrière français, cette information n’appelle pas de remarque particulière si ce n’est que toutes les périodes ne peuvent relever du régime général ou du régime des fonctionnaires.
En fin de carrière un descriptif détaillé des données complètes relatives aux droits à pension réunis au titre de la retraite légale et à la carrière est adressé à l’assuré (Rentenauskunft). Cet envoi se substitue les années où il est adressé à l’envoi du premier document d’information sur la retraite ; le descriptif détaillé est envoyé lorsque l’assuré a atteint l’âge de 55 ans puis 58 ans, 61 ans et 64 ans.
Ce document vise à obtenir une mise à jour du compte individuel de l’assuré en retraçant son parcours depuis l’âge de 17 ans afin de prendre en compte les années d’études supérieures. Il appartient à l’assuré de signaler les erreurs et les omissions.
Comme en France, le premier envoi d’un document exhaustif (du point de vue de l’assurance vieillesse) est donc fait à 55 ans. Cependant pour l’Allemagne, il se place à dix ans, et à terme douze ans, de l’âge légal de départ à la retraite.
L’anticipation est la marque dominante de l’organisation allemande, un pas que n’ont pas osé franchir le législateur et le gouvernement en France, et auquel il conviendrait de réfléchir eu égard à l’impact observé en Allemagne de ce mode d’information et de sensibilisation de la population à la problématique du montant des pensions de retraite.
L’anticipation est d’autant plus grande que dès l’âge de 43 ans, un état de son compte individuel de retraite lui est adressé et qu’il donne lieu à des opérations de contrôle auprès de son ou ses employeurs pour les éléments de carrière concernant chaque employeur. Ce document permet d’arrêter le compte. Il est donc demandé à l’assuré de signaler les erreurs. La décision d’arrêt du compte sur les années qui ont été présentées à l’assuré ouvre le droit de l’assuré à contester devant les tribunaux cette décision en cas de désaccord sur le contenu du compte.
Cet envoi est renouvelé lorsque l’assuré a atteint l’âge de 49 ans, 55 ans, et 61 ans. L’assuré n’est pas tenu de procéder aux validations et le compte de retraite peut toujours être rectifié ultérieurement. Cependant, la Deutsche Rentenversicherung souhaite que les assurés examinent leurs comptes individuels afin d’obtenir au plus tôt des informations de qualité sur la carrière des assurés.
Les documents d’information communiqués aux assurés n’existent que sous forme papier. Il n’existe aucune mise en ligne. Les informations sont communiquées exclusivement aux assurés ; aucune autorité ou entreprise ou caisse de retraite privée ne peut en avoir connaissance.
Au-delà du numéro de téléphonique unique de renseignement qui a été composé par 1,7 million d’assurés en 2006, ni la Deutsche Rentenversicherung ni le ministère du travail et des affaires sociales ne disposent d’un bureau central d’information ; la responsabilité du contact humain direct relève des caisses : à cette fin, il existe dix-huit organismes, deux fédéraux (régime général et régime des fonctionnaires) et un organisme par Land chargés de mettre en place des bureaux d’information. Au total, le réseau de conseillers chargés de recevoir en entretien et répondre aux questions des assurés représente soixante-dix « centres de consultation » répartis dans les villes allemandes. Ces conseillers sont bénévoles, les caisses assurant leur formation. Les centres sont financés par l’assurance vieillesse. Le but premier de ces centres est en fait d’aider les assurés à arrêter leur compte individuel de retraite mais ils fonctionnent comme des points de consultation et de renseignement. La qualité des renseignements fournis est jugée bonne par les syndicats et les associations de consommateurs allemands. Sur l’année 2006, deux millions d’assurés se sont rendus dans ces centres et ces centres ont reçu un million d’appels téléphoniques.
Il existe également un site internet qui n’est qu’un pur site de présentation d’informations générales. Le ministère et la Deutsche Rentenversicherung ont renoncé à créer des comptes individuels mis en ligne pour trois motifs : le coût estimé à 200 euros de fonctionnement de chaque compte, les difficultés de protection des données individuelles à l’égard de tiers, notamment les compagnies d’assurance privées, la nécessité de maintenir une logique d’envoi de papiers pour tous les foyers non équipés d’Internet.
Une campagne d’information (« la prévoyance fait école ») est menée. La Deutsche Rentenversicherung envoie dans plus de cinq cents établissements de formation professionnelle pour adultes des agents pour sensibiliser les assurés à la constitution de leur retraite par des séminaires. En 2006, la Deutsche Rentenversicherung avait tenu 1 700 journées d’information dans les entreprises.
Il est formellement interdit aux agents de la caisse de retraite ou aux conseillers du réseau des bureaux d’information d’orienter ou de conseiller les assurés sur des produits d’assurance privés, qu’ils soient du deuxième pilier (retraites mises en place par les entreprises employeurs) ou du troisième pilier (retraites Riester d’épargne par capitalisation). Mais la Deutsche Rentenversicherung doit donner des informations sur l’existence des mécanismes d’épargne retraite défiscalisés ; il appartient à l’assuré de rechercher ensuite par lui-même les différentes offres commerciales, les organisations de consommateurs publiant régulièrement des tests comparatifs sur les principales retraites Riester proposées. Aucune information sur les assurés n’est donnée aux compagnies d’assurance privées : les assurés doivent leur apporter les documents d’information qu’ils reçoivent et à partir de ceux-ci ces compagnies sont en mesure, grâce à leurs programmes de simulation, de chiffrer précisément les insuffisances de la retraite légale à partir d’indications d’évolution de carrière future que les assurés leur fournissent.
Les principales demandes portent sur les voies et moyens de maintenir le pouvoir d’achat des assurés au moment de la retraite ou comment augmenter le montant de la pension communiqué. L’objectif du droit à l’information est donc parfaitement atteint, à savoir rendre visible les lacunes de la retraite légale.
Les conseillers sont également amenés à faire beaucoup de chiffrages des conséquences financières d’un départ anticipé en retraite (application du coefficient de minoration) ou à expliquer les conditions du service des pensions d’invalidité pour incapacité totale ou partielle d’exercer son activité professionnelle ou toute autre activité. Selon la fédération des syndicats allemands, le désir des Allemands de partir le plus tôt en retraite est très répandu ; le nombre de liquidation de pensions avec décote est d’ailleurs croissant (entre 30 et 40 %). Alors même que le mécanisme de la décote est nouveau, beaucoup d’assurés font le choix de partir à 63 ans car ils estiment qu’ils ne retrouveront plus d’emploi. En outre, un nombre croissant de travailleurs sont licenciés dès l’âge de 58 ou 60 ans ; ce phénomène est marqué et relativement récent dans l’histoire allemande, au point que pendant la dernière période de récession la majeure partie des assurés ont été amenés à liquider avec anticipation leur retraite (l’âge moyen d’un départ en retraite est de 63,2 ans en Allemagne). La loi a été réformée et les mécanismes financiers favorables aux départs anticipés sont supprimés à compter de la fin de l’année 2009 et la loi ne distingue plus un départ volontaire d’un départ imposé en retraite.
Beaucoup de réclamations portent également sur les revalorisations des montants des pensions. Les assurés sont en fait du mal à comprendre le nouveau mécanisme de calcul intégrant le « facteur de stabilité » : les pensions sont revalorisées au 1er juillet de chaque année en fonction de l’évolution de la valeur du point de retraite qui est calculé à partir du salaire annuel net moyen des actifs allemands (cf. rapport de l’an dernier). Mais depuis 2006, un facteur de stabilité ou de pérennité pondère la revalorisation : il permet de prendre en compte l’évolution du rapport quantitatif entre les retraités et les cotisants : une baisse relative du nombre de cotisants ou une augmentation relative de celui des retraités entraîne une diminution de la revalorisation.
Il est d’ailleurs très significatif de constater que beaucoup d’assurés reçoivent des documents d’information montrant que leur pension servie à l’âge légal de départ à la retraite n’atteint pas le taux de remplacement minimal garanti par la loi en raison des hypothèses de calcul retenues (projection du salaire moyen des cinq dernières années pour estimer les revenus futurs). Les Allemands s’en émeuvent mais ils n’écrivent pas davantage qu’auparavant à leur caisse pour protester depuis la mise en place des envois des documents d’information en 2004 car, en fait, depuis 1990, la population subit une succession de réformes législatives en matière de retraite (alors qu’auparavant cette législation était très stable) qui tendent toutes à comprimer les droits à pension ; un certain fatalisme semble donc s’être installé en Allemagne en matière de retraite. La principale inquiétude des Allemands est en fait d’être sûrs que ce qu’on leur dit aujourd’hui ne sera pas remis en cause demain.
Le rapporteur s’étonne d’ailleurs que la lettre d’information annuelle sur la retraite ne contienne pas d’indication sur le taux de remplacement garanti par la loi à la date de départ en retraite alors que cette lettre est certes succincte mais exhaustive dans son panorama des questions abordées. Le ministère du travail et des affaires sociales interrogé a reconnu la lacune mais a fait comprendre que cette information soulèverait beaucoup de questions auxquelles il serait difficile de répondre dans la mesure où le taux de remplacement s’apprécie en fonction des derniers salaires, donc des évolutions de carrière et de la complétude de cette carrière.
ANALYSE DES DISPOSITIONS DU PROJET DE LOI
RELATIVES À L’ASSURANCE VIEILLESSE
La commission a examiné les articles relatifs à la branche assurance vieillesse, sur le rapport de M. Denis Jacquat, au cours de sa séance du mercredi 17 octobre 2007.
Section 2
Dispositions relatives aux dépenses d’assurance vieillesse
Article 53
Objectifs de dépenses de la branche vieillesse pour 2008
Cet article fixe à 179,7 milliards d’euros l’objectif de dépenses de la branche vieillesse (qui inclut les dépenses d’invalidité au-delà de 60 ans) pour l’année 2008, soit une augmentation de 4,4 % par rapport à l’objectif voté pour 2007.
L'objectif de dépenses porte sur l'ensemble des dépenses des régimes et non sur les seules prestations. Ces dépenses comprennent :
– les prestations sociales légales ou extralégales d’assurance vieillesse correspondant à des droits directs ou dérivés, d’assurance veuvage et les prestations d’invalidité servies à des bénéficiaires de droits directs âgés de plus de soixante ans ou des bénéficiaires de droits dérivés ;
– les prestations des services sociaux (notamment la prise en charge partielle des cotisations des praticiens et auxiliaires médicaux) ;
– les frais de gestion engagés par les organismes de sécurité sociale ;
– les transferts entre régimes de protection sociale ;
– les frais financiers et les autres dépenses.
Depuis la loi organique du 2 août 2005, le périmètre des régimes de base obligatoires de sécurité sociale dont les dépenses sont retracées dans l’objectif arrêté par le projet de loi de financement de la sécurité sociale a changé : les dépenses des régimes de moins de vingt mille cotisants ou bénéficiaires ne sont plus retranchées ; les régimes concernés par l’objectif sont définis dans une annexe triennale au projet de loi de financement. Cette annexe a été publiée avec le précédent projet de loi ; elle englobe 29 régimes d’assurance vieillesse (cf. document triennal – Liste des régimes obligatoires de base de sécurité sociale).
Le tableau suivant retrace les objectifs de dépenses de la branche vieillesse-invalidité et l’écart constaté avec les dépenses effectives.
Objectifs de dépenses de la branche vieillesse-veuvage
(en milliards d’euros)
Objectif du PLFSS pour l’année N |
Objectif révisé |
Ecart |
Réalisation | |
2001 |
126,59 |
126,65 |
+ 0,05 % |
128,8 |
2002 |
136,08 |
135,96 |
– 0,09 % |
133,9 |
2003 |
140,36 |
140,7 |
+ 0,24 % |
138,5 |
2004 |
146,6 |
146,8 |
+ 0,13 % |
147,3 |
2005 |
160,5 |
155,2 |
– 3,30 % |
156,4 |
2006 |
161,0 |
162,7 |
+ 1,06 % |
163,2 |
2007 |
170,6 |
172,1 |
+ 0,88 % |
— |
2008 |
179,7 |
— |
— |
— |
Sources : articles des projets de loi de financement de la sécurité sociale (sauf réalisations avant 2004).
En application de la loi organique du 2 août 2005, le projet de loi fixe également un sous-objectif de dépenses pour le seul régime général de la sécurité sociale : 94,3 milliards d’euros pour 2008.
Objectifs de dépenses de la branche vieillesse-veuvage du régime général
(en milliards d’euros)
Objectif du PLFSS pour l’année N |
Objectif révisé |
Écart |
Réalisation | |
2004 |
— |
— |
— |
74,9 |
2005 |
— |
80,1 |
— |
80,7 |
2006 |
83,1 |
84,7 |
+ 1,92 % |
84,8 |
2007 |
88,9 |
90,0 |
+ 1,24 % |
— |
2008 |
94,3 |
— |
— |
— |
Sources : articles des projets de loi de financement de la sécurité sociale votés.
L’an dernier, l’objectif de dépenses d’assurance vieillesse des régimes de base pour 2007 par rapport à l’objectif révisé pour 2006 progressait de 4,8 %. Dans le présent projet de loi, l’objectif de dépenses d’assurance vieillesse des régimes de base pour 2008 par rapport à l’objectif révisé pour 2007 augmente de 4,4 %.
Ce ralentissement anticipe un accroissement des recettes entraînées par la réduction du chômage et prend en compte un moindre accroissement des charges de pension (+ 1,1 % contre + 1,8 % en 2007) tout en tablant sur un niveau de départ à la retraite élevé en raison de l’arrivée à l’âge de la retraite de la génération du baby-boom de 1948 aussi nombreuse que celle de 1947 et le maintien à un niveau élevé des départs anticipés en retraite pour longue carrière du régime général.
Le tableau suivant retrace l’état des comptes des différents régimes de base d’assurance vieillesse–veuvage–invalidité–décès. Il s’agit d’un tableau des prestations légales dont le périmètre n’est pas exactement celui de l’objectif de dépenses arrêté par le projet de loi de financement de la sécurité sociale.
Prestations légales vieillesse-veuvage-invalidité-décès des régimes de base
(en millions d’euros)
2004 |
2005 |
2006 |
% |
2007 |
% |
2008 |
% | |
Régime général |
67 781 |
71 790 |
76 139 |
6,1 |
80 877 |
6,2 |
84 901 |
5,0 |
Salariés agricoles |
4 815 |
4 958 |
5 102 |
2,9 |
5 252 |
3,0 |
5 377 |
2,4 |
Exploitants agricoles |
8 408 |
8 403 |
8 473 |
0,8 |
8 637 |
1,9 |
8 640 |
0,0 |
Régimes agricoles |
13 223 |
13 361 |
13 574 |
1,6 |
13 889 |
2,3 |
14 017 |
0,9 |
Fonctionnaires de l’État |
33 867 |
35 420 |
37 317 |
5,4 |
39 257 |
5,2 |
41 156 |
4,8 |
Ouvriers de l’État |
1 577 |
1 594 |
1 622 |
1,8 |
1 649 |
1,6 |
1 659 |
0,6 |
Collectivités locales |
8 927 |
9 510 |
10 217 |
7,4 |
11 084 |
8,5 |
11 838 |
6,8 |
Mines |
1 891 |
1 879 |
1 857 |
– 1,2 |
1 840 |
– 0,9 |
1 811 |
– 1,6 |
EDF-GDF (base) |
3 102 |
3 152 |
3 245 |
3,0 |
3 339 |
2,9 |
3 454 |
3,4 |
SNCF |
4 516 |
4 605 |
4 713 |
2,4 |
4 822 |
2,3 |
4 921 |
2,0 |
RATP |
698 |
724 |
751 |
3,7 |
790 |
5,2 |
832 |
5,3 |
Marins |
1 029 |
1 045 |
1 055 |
0,9 |
1 066 |
1,1 |
1 069 |
0,2 |
CRPCEN |
512 |
539 |
570 |
5,7 |
604 |
6,1 |
639 |
5,7 |
Banque de France |
260 |
264 |
267 |
1,2 |
280 |
5,0 |
286 |
2,2 |
FSAVCF |
104 |
99 |
94 |
– 4,8 |
87 |
– 7,5 |
82 |
– 6,4 |
SEITA |
150 |
151 |
151 |
– 0,6 |
153 |
0,9 |
152 |
– 0,5 |
CCIP |
47 |
50 |
0 |
–– |
0 |
–– |
0 |
–– |
Autres petits régimes spéciaux |
40 |
241 |
193 |
– 20,2 |
195 |
1,2 |
195 |
– 0,2 |
Régimes spéciaux |
56 718 |
59 274 |
62 053 |
4,7 |
65 167 |
5,0 |
68 093 |
4,5 |
ORGANIC (régime de base) |
3 027 |
3 141 |
3 250 |
3,5 |
3 373 |
3,8 |
3 494 |
3,6 |
CANCAVA (régime de base) |
2 314 |
2 467 |
2 608 |
5,7 |
2 760 |
5,8 |
2 906 |
5,3 |
Régime des cultes |
227 |
230 |
228 |
– 0,6 |
240 |
5,3 |
232 |
– 3,5 |
CNAVPL (régime de base) |
643 |
678 |
718 |
6,0 |
771 |
7,3 |
819 |
6,3 |
CNBF (barreaux français) (régime de base) |
62 |
64 |
67 |
3,8 |
68 |
2,6 |
70 |
2,6 |
Régimes de non-salariés |
6 272 |
6 580 |
6 871 |
4,4 |
7 212 |
5,0 |
7 522 |
4,3 |
Service allocation spéciale vieillesse (SASV) |
463 |
474 |
487 |
2,7 |
502 |
3,2 |
513 |
2,2 |
Autres régimes de base |
463 |
474 |
487 |
2,7 |
502 |
3,2 |
513 |
2,2 |
Ensemble des régimes de base |
144 457 |
151 479 |
159 125 |
5,0 |
167 647 |
5,4 |
175 045 |
4,4 |
Les prestations du régime général ne comprennent pas les pensions prises en charge pour le régime des industries électriques et gazières dans le cadre de l’adossement. En revanche, les prestations versées aux retraités de la Chambre de commerce et d’industrie de Paris, dont le régime a été intégré au régime général au 1er janvier 2006, sont comprises dans les dépenses de la CNAV.
Source : Commission des comptes de la sécurité sociale (rapports de septembre 2006 pour l’année 2004 et de septembre 2007 pour les années 2005 à 2008).
Auditions sur le droit à l’information des assurés sur leur retraite | |
Ø |
Association générale des institutions de retraite des cadres (AGIRC) / Association des régimes de retraite complémentaire (ARRCO) – M. Jean-Jacques Marette, directeur général de l’AGIRC-ARRCO, et M. Pierre Chaperon, directeur délégué de l’ARRCO |
Ø |
Caisse des dépôts et consignations (CDC) – Mme Hélène Milliotte, directrice de l'établissement de Paris-Ségur (régime des mines), M. Guy Decourteix, directeur de l’établissement d’Angers (IRCANTEC), M. Gérard Perfettini, directeur de l'établissement de Bordeaux (CNRACL et FSPOEIE), M. Frédéric de la Thibauderie, directeur des systèmes d’information de la direction des retraites, M. Jean-Louis Molas, chargé de mission Droit à l’information à l’établissement de Bordeaux, M. Jean-Luc Maubé, chargé de mission Droit à l’information à l’établissement d’Angers, et M. Michel Dufau, coordinateur technique du droit à l’information |
Ø |
Caisse nationale d’assurance vieillesse des travailleurs salariés (CNAV) – M. Patrick Hermange, directeur; Mme Annie Rosès, directrice des retraites, et M. Pierre-Hervé Peuzet, responsable du département des relations partenaires de la direction de l’organisation |
Ø |
Caisse nationale d’assurance vieillesse des professions libérales (CNAVPL) – M. Gérard Verdun, président, M. Gérard Pélissier, directeur, et M. Jean-Claude Lechanoine, vice-président délégué de l’UNAPL |
Ø |
Caisse nationale des industries électriques et gazières (CNIEG) – Mme Carole Couvert, présidente du conseil d’administration, M. Robert Cosson, directeur, et M. Jacques Lagrave, directeur délégué |
Ø |
Comité national des retraités et des personnes âgées (CNRPA) – Mme Janine Dujay-Blaret, vice-présidente, M. Paul Malvoisel, et M. Benoît Jayez |
Ø |
Confédération française des retraités (CFR) – M. Jean Catherine, vice-président, président de l’Union française des retraités (UFR), et M. Sylvain Denis, vice-président, président de la Fédération nationale des associations de retraités (CNR) |
Ø |
Direction générale de l’administration et de la fonction publique (DGAFP) – M. Alain Casanova, chef du service des pensions, M. Lionel Rouillon, chef du bureau des rémunérations, des pensions et du temps de travail, et M. Frédéric Aladjidi, directeur, adjoint au directeur général de l’administration et de la fonction publique |
Ø |
Groupement d’intérêt public du droit à l'information des assurés sur leur retraite (GIP Info-Retraite) – M. Jean-Marie Palach, directeur |
Ø |
Mutualité sociale agricole (MSA) – Gérard Pelhate, président, M. Élie Quidu, sous-directeur prestations famille retraite, et Mme Marie-Christine Bille-Merieau, responsable des relations parlementaires |
Ø |
Régime social des indépendants (RSI) – M. Dominique Liger, directeur général, et M. Patrick Roy, directeur des retraites |
Déplacement à Paris, le vendredi 21 septembre 2008 | |
Ø |
Caisse nationale d’assurance vieillesse – M. Patrick Hermange, directeur, M. Guillaume Filhon, directeur du cabinet du directeur, M. François Brousse, directeur des systèmes d’information des données sociales, M. Jean-François Causse, directeur de l’organisation, et Mme Sylvia Noll, directrice des agences de la caisse régionale d’assurance vieillesse d’Ile-de-France |
Ø |
GIP Info-Retraite – M. Jean-Marie Palach, directeur, M. François Lagarde, directeur du système d’information, M. Christophe Moreau, secrétaire général, et Mme Sophie Hacquart, directrice de la communication |
Déplacement à Berlin, les jeudi 27 et vendredi 28 septembre 2008 (par ordre chronologique) | |
Ø |
Ambassade de France – M. Jean-Michel Dumond, ministre-conseiller, M. Xavier Luquet, conseiller pour les affaires sociales, et Mme Carole Di Frenna, chargée de mission pour les affaires sociales |
Ø |
Caisse nationale d’assurance vieillesse – M. Detlev Geisler, directeur-adjoint du bureau pour les relations internationales, et M. Christian Kaczmarek, en charge des questions relatives au droit des assurances et à l’assurance vieillesse |
Ø |
Ministère fédéral du travail et des affaires sociales – Mme Birgit Mimietz et M. Michael Gawlik, adjoints au chef de bureau « Questions de principe et droit des prestations de l’assurance vieillesse » |
Ø |
Fédération des syndicats allemands – M. Ingo Nürnberger, chargé des questions relatives à la politique des retraites |
Ø |
Fédération du patronat allemand – M. Martin Kröger, et M. Florian Swyter, département « Protection sociale » |
Auditions sur les articles du PLFSS 2008 (disposition relatives à l’assurance vieillesse) | |
Ø |
Caisse nationale de solidarité pour l’autonomie (CNSA) – M. Denis Piveteau, directeur |
Ø |
Confédération générale des petites et moyennes entreprises (CGPME) – M. Jean-François Veysset, élu, membre du bureau, vice-président de la CGPME et président de la commission sociale, et M. Georges Tissié, directeur des affaires sociales |
Ø |
Confédération générale du travail (CGT) – Mme Mijo Isabey, responsable dossier retraite |
Ø |
CGT–Force Ouvrière (CGT-FO) – M. Gérard Rivière, conseiller technique |
Ø |
Confédération française des travailleurs chrétiens (CFTC) – M. Michel Moïse-Mijon, secrétaire confédéral, administrateur CNAV, et M. Patrick Poizat, secrétaire confédéral |
Ø |
Direction de la sécurité sociale – M. Dominique Libault, directeur, M. Franck Le Morvan, sous-directeur des retraites et des institutions de protection sociale complémentaire, et M. Cédric Paris, attaché d’administration |
Ø |
Fonds de réserve des retraites (FRR) – M. Raoul Briet, président du conseil de surveillance, M. Yves Chevalier membre du directoire, et Mme Sophie Barbier, chargée de mission |
Ø |
Fonds de solidarité vieillesse (FSV) – M. Jean-Louis Buhl, président, et M. Jacques Lenain, directeur |
Ø |
Mouvement des entreprises de France (MEDEF) – M. Jean-René Buisson, président de la commission protection sociale, Mme Véronique Cazals, directrice de la commission protection sociale, et M. Guillaume Ressot, directeur adjoint affaires publiques |
Ø |
Union nationale des professions libérales (UNAPL) – M. Christian Guichardon, directeur général, et de Mme Françoise Devaud |
Ø |
Union nationale interfédérale des oeuvres et organismes prives sanitaires et sociaux (UNIOPSS) – Mme Cécile Chartreau, conseillère technique santé, Mme Ingrid Laivray, conseillère technique handicap, et M. Alain Villez, conseiller technique personnes âgées |
Ø |
Union nationale des syndicats autonomes (UNSA) – M. François Joliclerc, secrétaire national, et M. André Clavelou, secrétaire général UNSA retraités |
Ø |
Union professionnelle artisanale (UPA) – M. Pierre Martin, président, M. Pierre Burban, secrétaire général, et M. Guillaume Tabourdeau, chargé des relations avec le Parlement |






ANNEXE 2 B : MODÈLE D’ESTIMATION INDICATIVE GLOBALE










ANNEXE 3
ESTIMATION DES INVESTISSEMENTS RÉALISÉS PAR LES PRINCIPAUX RÉGIMES DE RETRAITE
POUR LA MISE EN PLACE DU DROIT INDIVIDUEL À L’INFORMATION
(Ces informations ont été fournies par le ministre du travail, des relations sociale et des solidarités en réponse à des questions adressées par le rapporteur)
Les investissements nécessaires à la mise en œuvre du droit à l’information, tels qu’ils ont été évalués par les différents régimes, figurent ci-après. Ces coûts portent sur les investissements nécessaires à la production des relevés de situation individuelle (RIS) et des estimations indicatives globales (EIG) qu’il n’est pas possible de distinguer. Les montants indiqués ne comprennent pas les cotisations des différents régimes au budget du GIP Info-Retraite.
Le montant des investissements engagés varie selon les régimes en raison d’une adéquation différente des systèmes d’information existants aux exigences du droit à l’information : les régimes qui ne disposaient pas de comptes de droits alimentés en cours de carrière (régimes de la fonction publique notamment) ont dû engager des investissements pour pouvoir recueillir ces données en cours de carrière.
1. La Caisse nationale d’assurance vieillesse (CNAV)
Outre la participation aux groupes de travail du GIP Info-Retraite, les investissements engagés par la CNAV ont concerné d’une part la conception et le développement d’outils pour collecter les données requises pour composer les EIG et RIS et pour l’impression et l’expédition des documents, ainsi que l’adaptation des outils de la branche retraite pour assurer les attentes liées à la mise en œuvre du droit à l’information (modification de l’application gestion de la relation client, création d’une base de questions/réponses spécifiques sur le droit à l’information, etc.).
D’autre part, les investissements concernent les coûts de gestion liés à la préparation de la mise en œuvre du droit à l’information (notamment de la gestion des demandes des assurés) : information et formation des techniciens en contact avec les assurés, définition des procédures de réponses aux question et des procédures de rectification, mise en place d’un centre d’appel téléphonique, etc.
Les dépenses totales d’investissements réalisés par la CNAV (2005, 2006 et premier semestre 2007) dans ce cadre sont évaluées à 3 575 000 euros et peuvent être ventilées sur les principaux postes suivants :
Coûts d’investissements pour la CNAV
Nature des coûts |
|
Modification du Système d’Information CNAV |
425 000 € |
Préparation de la mise en œuvre du droit à l’information et formation |
3 000 000 € |
Participation aux instances et groupes de travail du GIP Info-Retraite |
150 000 € |
Total |
3 575 000 € |
2. La Mutualité sociale agricole (MSA)
Les investissements engagés par la MSA pour la mise en œuvre du droit à l’information correspondent aux dépenses liées aux participations des différentes composantes de la MSA aux groupes de travail du GIP Info-Retraite, aux coûts d’études et d’exploitation informatique (adaptation du système d’information actuel et travaux liés à la réalisation des EIG et RIS), à la mise en œuvre de la communication interne (notamment organisations de journées d’information pour les responsables techniques du réseau MSA) et à la mise en œuvre du droit à l’information dans les caisses (formation des agents et gestion des retours).
Ces coûts d’investissements pour la MSA (2006 et 2007) sont estimés à 2 550 000 euros. Les dépenses se ventilent ainsi.
Nature des coûts |
Montant |
Maîtrise d’ouvrage, investissements informatiques et participation aux instances et groupes de travail du GIP Info-Retraite |
1 900 000 € |
Préparation de la mise en œuvre du droit à l’information et formation |
500 000 € |
Communication interne |
150 000 € |
Total |
2 550 000 € |
3. La Caisse nationale d’assurance vieillesse des professions libérales (CNAVPL)
La CNAVPL évalue à 850 000 euros le montant total des investissements nécessaires pour mettre en place le droit à l’information, sans être en mesure de fournir de précisions chiffrées sur la répartition par nature de ces dépenses.
4. Le Régime social des indépendants (RSI)
Les coûts d’investissement pour le RSI sont estimés à 261 500 euros. Ces dépenses se ventilent sur les principaux postes suivants.
Coûts d’investissements pour le RSI
Nature des coûts |
Montant |
Mise en œuvre informatique |
211 500 € |
Mise en œuvre interne du droit à l’information et formation |
50 000 € |
Total |
261 500 € |
5. L’AGIRC-ARRCO
Le coût des développements informatiques spécifiques pour la mise en œuvre du droit à l’information est évalué à 1,6 million d’euros pour l’AGIRC-ARRCO. Ce coût correspond, d’une part, à l’adaptation de l’outil « plate-forme retraite complémentaire » destiné à la liquidation des pensions de retraite AGIRC et ARRCO (800 000 euros), et, d’autre part, aux adaptations des systèmes d’information des caisses d’adhésion (800 000 euros).
A ce coût doivent être ajoutés les dépenses (montant non évalué) liées à la formation des agents et l’organisation mise en œuvre pour gérer les retours (constitution de cinq plates-formes téléphoniques réparties sur tout le territoire).
6. Le service des pensions de l’Etat
Le coût des investissements pour la mise en œuvre du droit à l’information pour le Service des pensions de l’Etat (entre 2004 et 2007) est évalué à 6 360 000 euros :
Coûts d’investissements pour le service des pensions de l’État
Nature des coûts |
Montant |
Développements informatiques |
1 390 000 € |
Dépenses en ressources humaines et gestion |
4 970 000 € |
Total |
6 360 000 € |
Le coût de maintenance annuelle pour 2008 est estimé à 1 400 000 euros.
7. La Caisse nationale de retraites des agents des collectivités locales (CNRACL)
La mise en œuvre du droit à l’information a nécessité l’adaptation du système d’information actuel de la CNRACL et la mise en place de plates-formes pour gérer les échanges avec le GIP. La mise en place de ces plates-formes a toutefois été mutualisée pour l’ensemble des régimes gérés par la Caisse de dépôts (CNRACL, FSPOEIE, IRCANTEC, Régime de retraite des mines, Régime additionnel de la fonction publique).
La mise en œuvre du droit à l’information a également impliqué pour la CNRACL la création d’un compte de droit pouvant être alimenté en cours de carrière par les employeurs. Afin de pouvoir établir les EIG, la CNRACL a également mis en place un outil en ligne permettant aux employeurs de saisir les éléments non contributifs nécessaires à l’estimation des pensions.
À ces investissements, s’ajoutent les coûts de gestion (notamment la consolidation des comptes de droit), de formation des agents, d’actions auprès des employeurs, ainsi que les coûts ceux liés à la participation aux instances du GIP.
Le coût de ces investissements pour la mise en œuvre du droit à l’information pour la CNRACL (entre 2005 et 2007) est évalué à 10 831 000 euros.
Coûts d’investissements pour la CNRACL
Nature des coûts |
Montant |
Développements informatiques |
7 235 000 € |
Préparation de la mise en œuvre du droit à l’information (formation, gestion, actions auprès des employeurs) |
3 441 000 € |
Participation aux instances et groupes de travail du GIP |
155 000 € |
Total |
10 831 000 € |
Le coût de maintenance annuelle pour 2008 pour la CNRACL est estimé à 4 468 000 euros.
8. Le Fonds spécial des pensions des ouvriers des établissements industriels de l’État (FSPOEIE)
Le coût des investissements pour la mise en œuvre du droit à l’information pour le FSPOEIE (entre 2005 et 2007) est évalué à 1 223 000 euros. Ces investissements correspondent à l’adaptation du système d’information du FSPOEIE, à la mise en place des outils d’échange de données avec le GIP (dont la mise en œuvre a été mutualisée avec l’ensemble des régimes gérés par la Caisse de dépôts), des frais de gestion et de formation, et la participation aux instances du GIP.
Coûts d’investissements pour le FSPOEIE
Nature des coûts |
Montant |
Développements informatiques |
1 127 000 € |
Préparation de la mise en œuvre du droit à l’information (formation, gestion) |
91 000 € |
Participation aux groupes de travail du GIP |
5 000 € |
Total |
1 223 000 € |
Le coût de maintenance annuelle pour 2008 pour le FSPOEIE est estimé à 270 000 euros.
9. L’Institution de retraite complémentaire des agents non titulaires de l'État et des collectivités publiques (IRCANTEC)
Le coût des investissements pour la mise en œuvre du droit à l’information pour l’IRCANTEC (entre 2005 et 2007) est évalué à 2 762 000 euros.
Ces investissements correspondent à l’adaptation du système d’information de l’IRCANTEC, à la mise en place des outils d’échange de données avec le GIP (dont la mise en œuvre a été mutualisée avec l’ensemble des régimes gérés par la Caisse de dépôts), des frais de gestion et de formation, et la participation aux instances du GIP.
L’IRCANTEC a également mis en place un dispositif préalable de régularisation des carrières qui sera mis en œuvre pour la première fois lors de la campagne 2008 et qui concernera dans un premier temps les cotisations ayant un nombre de points significatif.
Coûts d’investissements pour l’IRCANTEC
Nature des coûts |
Montant |
Développements informatiques |
1 272 000 € |
Préparation de la mise en œuvre du droit à l’information et formation |
1 404 000 € |
Participation aux groupes de travail du GIP |
85 000 € |
Total |
2 762 000 € |
Le coût de maintenance annuelle pour 2008 pour l’IRCANTEC est estimé à 622 000 euros.
10. La Caisse nationale des industries électrique et gazière (CNIEG)
Le budget total d’investissement engagé par la CNIEG pour la mise en œuvre du droit à l’information est évalué à 188 000 euros.
1 () Dernières étapes du processus : la loi n° 2002-308 du 4 mars 2002 a instauré un régime de retraite complémentaire obligatoire pour les chefs d’exploitation et d’entreprise agricoles et le 1er janvier 2004 a été mis en place le régime complémentaire obligatoire des commerçants et industriels indépendants.
2 () Il a été signalé à votre rapporteur que la communication des droits auprès du RACL et du RACD ne pourra porter dans un premier temps que sur les années postérieures à 1977, du fait de l’absence d’informatisation des données antérieures. Cette difficulté est rencontrée par plusieurs petits régimes.
3 () Le taux de certification des assurés de la CNRACL, de l’IRCANTEC, du FSPOEIE et du RAFP était compris entre 92 et 98 % au 10 septembre 2007. Pour le service des pensions de l’Etat, 1 % des 2,5 millions de comptes restait à certifier et 7 % à vérifier une dernière fois.
4 () Il faut avoir été chômeur après l’âge de 58 ans et demi et être resté sans emploi pendant un an ou avoir bénéficié d’une retraite progressive avec temps partiel d’emploi pendant au moins deux ans.
5 () La prime maximale par adulte était de 38 euros en 2002 et 2003, 76 euros en 2004 et 2005 et 114 euros en 2006 et 2007 ; la prime maximale par enfant était de 46 euros en 2002 et 2003, 92 euros en 2004 et 2005 et 138 euros en 2006 et 2007. Le plafond de salaire annuel est passé de 525 euros en 2002 et 2003 à 1050 euros en 2004 et 2005 et 1 575 euros en 2006 et 2007.
6 () Le cadre légal des travailleurs indépendants et professions libérales est spécial : ils peuvent s’affilier au régime général dans les cinq ans suivant le début de leur activité indépendante et de plus en plus sont dans l’obligation de le faire (depuis 1999, l’obligation d’affiliation a été étendue aux indépendants n’emploient aucune personne assujettie à l’assurance obligatoire et ayant essentiellement qu’un donneur d’ordre), mais il en reste de très nombreux qui sont libres de choisir une assurance personnelle du fait du caractère facultatif de leur affiliation à l’assurance vieillesse.