![]()
N° 885
——
ASSEMBLÉE NATIONALE
CONSTITUTION DU 4 OCTOBRE 1958
TREIZIÈME LÉGISLATURE
Enregistré à la Présidence de l’Assemblée nationale le 13 mai 2008.
RAPPORT
FAIT
AU NOM DE LA COMMISSION DES LOIS CONSTITUTIONNELLES, DE LA LÉGISLATION ET DE L’ADMINISTRATION GÉNÉRALE DE LA RÉPUBLIQUE SUR LA PROPOSITION DE LOI DE M. JEAN-MARC AYRAULT ET PLUSIEURS DE SES COLLÈGUES (N° 852) relative au respect du pluralisme dans les médias audiovisuels et prenant en compte le temps de parole du Président de la République,
PAR M. Patrick BLOCHE,
Député.
——
INTRODUCTION 5
I.– LE RESPECT DU PLURALISME POLITIQUE EST CONTRÔLÉ PAR LE CONSEIL SUPÉRIEUR DE L’AUDIOVISUEL 7
A.– LE PLURALISME, UN OBJECTIF DE VALEUR CONSTITUTIONNELLE 7
1. Les deux facettes du pluralisme 8
2. Le contrôle du Conseil supérieur de l’audiovisuel du respect du pluralisme interne 8
3. Un objectif de valeur constitutionnelle 9
B.– DE LA RÈGLE DES « TROIS TIERS » AU « PRINCIPE DE RÉFÉRENCE » 9
1. La règle des « trois tiers » 9
a) Une règle issue d’une directive de l’ORTF 9
b) L’application de cette règle par le CSA 10
c) Une règle rigide et imparfaite 11
2. Le « principe de référence » 11
II.– DÉCOMPTER LE TEMPS DE PAROLE DU PRÉSIDENT DE LA RÉPUBLIQUE POUR TENIR COMPTE DE L’ÉVOLUTION DE SA FONCTION 13
A. DES INTERVENTIONS QUI NE SONT PAS PRISES EN COMPTE, MALGRÉ LEUR AUGMENTATION 13
1. Un constat dressé par le Comité de réflexion et de proposition sur la modernisation et le rééquilibrage des institutions de la Ve République 14
2. L’analyse statistique des temps de parole vient corroborer la nouvelle place du président de la République dans les médias. 14
a) L’augmentation du volume des interventions du Président de la République 14
b) Un déséquilibre croissant en faveur de l’exécutif 15
B. L’EXAMEN EN COMMISSION 17
TABLEAU COMPARATIF 21
ANNEXE 1 : COMPARAISON DU TEMPS DE PAROLE (HORS ÉLECTIONS) DU PRÉSIDENT DE LA RÉPUBLIQUE ET DES AUTRES RESPONSABLES POLITIQUES DE 1989 À 2005 23
ANNEXE 2 : RELEVÉS DES TEMPS D’INTERVENTION AU DEUXIÈME SEMESTRE 2007 27
Mesdames, Messieurs,
Alors que le Parlement débute l’examen du projet de loi constitutionnelle de modernisation des institutions de la Ve République (n° 820), il apparaît que la réforme de la Constitution n’a de sens que si elle est accompagnée d’un rééquilibrage global de notre système démocratique.
Aujourd’hui, les médias occupent une place décisive dans l’équilibre démocratique. Compte tenu du rôle joué par les médias audiovisuels dans notre société, le respect du pluralisme est devenu aujourd’hui indissociable de l’objectif de modernisation de la démocratie et de rééquilibrage des institutions.
Le Conseil supérieur de l’audiovisuel a notamment pour mission de s’assurer du respect de l’expression pluraliste des courants de pensée et d’opinion dans les médias audiovisuels. S’il relève et publie mensuellement les temps de parole des différents responsables politiques dans les médias, il a toujours refusé de prendre en compte le temps de parole du Président de la République, considérant que la Constitution de la Ve République le plaçait dans un rôle d’arbitre au-dessus des partis politiques.
Il convient aujourd’hui de garantir l’égalité du temps de parole entre l’exécutif dans son ensemble, la majorité et l’opposition.
Le comité de réflexion sur la modernisation des institutions de la Ve République n’a pu que constater l’évidence : la parole présidentielle est devenue moins rare. Le Président de la République intervient aujourd’hui sur tous les sujets politiques et se comporte en véritable chef de la majorité parlementaire. Dans ces conditions, rien ne justifie que son temps de parole ne soit pas pris en compte par le Conseil supérieur de l’audiovisuel. Au contraire, le maintien du statu quo conduit à sous-représenter l’opposition parlementaire dans les médias audiovisuels.
Le comité de réflexion a d’ailleurs souligné l’« anomalie » que constituait la non-prise en compte des interventions du Président de la République dans les médias audiovisuels, pour la mise en œuvre du « principe de référence » qui a succédé en 2000 à la règle dite « des trois tiers ».
Cette question est d’autant plus d’actualité que l’hypermédiatisation du chef de l’État peut s’accompagner d’un renforcement de ses pouvoirs, compte tenu de la rédaction actuelle du projet de loi constitutionnelle de modernisation des institutions de la Ve République.
De plus, les prises de position répétées du Président de la République, ainsi que celles de ses proches collaborateurs, influencent significativement le débat politique et contribuent à rompre l’équilibre des expressions politiques. La proposition de loi, qui vise à garantir le pluralisme du temps de parole dans les médias audiovisuels permet donc de contrecarrer les excès de l’hyperprésidentialisation du régime. C’est pourquoi votre rapporteur estime nécessaire pour la démocratie de prendre en compte le temps de parole du Président de la République et de ses collaborateurs dans le décompte des temps d’antenne du pouvoir exécutif.
Votre rapporteur estime par ailleurs – bien que ces questions ne soient pas l’objet de la présente proposition de loi – que les membres du CSA ne doivent être désignés qu’après un avis positif des trois cinquièmes des membres d’une commission ad hoc composée à la proportionnelle des groupes parlementaires de l’Assemblée nationale et du Sénat.
*
* *
I.– LE RESPECT DU PLURALISME POLITIQUE EST CONTRÔLÉ PAR LE CONSEIL SUPÉRIEUR DE L’AUDIOVISUEL
L’article premier de la loi n° 86-1067 du 30 septembre 1986 relative à la liberté de communication prévoit que « la communication au public par voie électronique est libre ». Cette rédaction est issue de la loi n° 2004-669 du 9 juillet 2004 relative aux communications électroniques et aux services de communication audiovisuelle. Dans sa version antérieure, ce même article proclamait que la « communication audiovisuelle est libre ».
Ce principe, qui est au cœur de cette loi fondatrice pour les médias français, est un élément essentiel de la garantie des libertés publiques dans notre pays.
Ce même article premier prévoit deux séries de restrictions possibles à la liberté de la communication. L’exercice de cette liberté ne peut être limité que :
— d’une part, par le respect de la dignité de la personne humaine, de la liberté et de la propriété d’autrui, du caractère pluraliste de l’expression des courants de pensée et d’opinion ;
— et, d’autre part, par la protection de l’enfance et de l’adolescence, par la sauvegarde de l’ordre public, par les besoins de la défense nationale, par les exigences de service public, par les contraintes techniques inhérentes aux moyens de communication, ainsi que par la nécessité, pour les services audiovisuels, de développer la production audiovisuelle.
Au sein de la première liste de restrictions possible, il convient de souligner le respect du « caractère pluraliste de l’expression des courants de pensée et d’opinion », qui fait partie des missions confiées au Conseil supérieur de l’audiovisuel. En effet, l’article 3-1 de la loi du 30 septembre 1986 précitée érige le Conseil supérieur de l’audiovisuel, autorité indépendante, en garant de l’exercice de la liberté de communication audiovisuelle.
Le Conseil supérieur de l’audiovisuel (CSA) a été créé par la loi n° 89-25 du 17 janvier 1989 modifiant la loi n° 86–1067 du 30 septembre 1986 relative à la liberté de communication. La loi du 17 janvier 1989 a notamment introduit un article 4 dans la loi du 30 septembre 1986 pour prévoir que le CSA comprend neuf membres nommés par décret du Président de la République. Ce même article précise que trois membres sont désignés par le Président de la République, trois membres sont désignés par le président de l’Assemblée nationale et trois membres par le président du Sénat.
Bien que cette question ne relève pas directement de la présente proposition de loi, votre rapporteur tient à rappeler le souhait formulé que les modalités de désignation des membres du CSA évoluent. En effet, ce mode de désignation conduit à un déséquilibre politique de l’institution.
Le pluralisme est un principe qui peut prendre soit un aspect interne, soit un aspect externe.
— Dans son acception externe, le pluralisme implique une pluralité des opérateurs de médias et des limitations portées à leur concentration. Votre rapporteur observe que la proposition de loi ne traite pas directement de cette question, même s’il estime que celle-ci mériterait à elle seule un débat. Par exemple, il conviendrait que l’indépendance et la liberté éditoriale des équipes rédactionnelles à l’égard des actionnaires des organes de presse soient mieux garanties.
L’expression du pluralisme externe est fondée sur la diversité des opérateurs, elle-même assurée par le CSA lors de l’attribution des fréquences et par les règles relatives à la concentration propres au secteur.
— Dans son acception interne, le pluralisme implique qu’un opérateur assure au sein de ses programmes l’équilibre et la diversité des points de vue et opinions. Parmi les « courants de pensée et d’opinion », le pluralisme politique a une place particulière. En effet, la démocratie repose sur l’exercice du suffrage universel auquel « concourent les partis et groupements politiques », tel que le prévoit l’article 4 de la Constitution.
C’est sur ce deuxième aspect que porte la proposition de loi.
Le Conseil supérieur de l’audiovisuel est chargé par la loi de veiller au respect de ces deux formes de pluralisme. Hormis le cas des périodes électorales, pour lesquelles le code électoral prévoit précisément les règles applicables, la mission du CSA est définie de manière peu précise par l’article 13 de la loi du 30 septembre 1986. En effet, cet article prévoit simplement que le CSA « assure le respect » du pluralisme. Ce même article ajoute que le CSA doit relever, mois par mois, le temps de parole des responsables des partis politiques.
L’attention du CSA est régulièrement appelée par des personnalités politiques, des associations et des téléspectateurs, sur des cas particuliers qui l’amènent à apprécier, dans une émission donnée, le respect du principe de pluralisme des points de vue qu’ils soient ou non politiques. En traitant ces saisines, le Conseil s’assure ainsi de l’effectivité de l’exigence de rendre compte du débat public de manière complète et équitable.
Compte tenu du caractère imprécis de la mission du CSA en matière de respect du pluralisme, il s’est appuyé – comme d’ailleurs les instances de régulation qui l’ont précédé – sur une référence quantitative préexistante : la règle dite « des trois tiers », c’est-à-dire un tiers de temps de parole pour le gouvernement, un tiers pour la majorité parlementaire, un tiers pour l’opposition parlementaire.
Dans une décision n° 86-217 DC du 18 septembre 1986, le Conseil constitutionnel a souligné la valeur constitutionnelle du pluralisme, en précisant que « le pluralisme des courants d’expression socioculturels est en lui-même un objectif de valeur constitutionnelle ». Le Conseil constitutionnel a également affirmé que le respect du pluralisme était « une des conditions de la démocratie », ajoutant que la libre communication des pensées et des opinions – qui est garantie par l’article 11 de la Déclaration des droits de l’homme et du citoyen – ne serait pas effective « si le public auquel s’adressent les moyens de communication audiovisuelle n’était pas à même de disposer (…) de programmes qui garantissent l’expression de tendances de caractères différents dans le respect de l’impératif d’honnêteté de l’information » et ce, aussi bien dans le cadre du secteur public de l’audiovisuel que dans celui du secteur privé.
Le Conseil constitutionnel concluait que l’objectif poursuivi est que les auditeurs et les téléspectateurs, qui sont au nombre des destinataires essentiels de la liberté proclamée par l’article 11 de la Déclaration de 1789, « soient à même d’exercer leur libre choix sans que ni les intérêts privés ni les pouvoirs publics puissent y substituer leurs propres décisions, ni qu’on puisse en faire les objets d’un marché ».
La prise en compte de l’équilibre des temps de parole a légèrement évolué dans le temps : la règle dite des « trois tiers » a disparu au profit d’un « principe de référence » – qui est très proche – défini en 2000.
La règle des « trois tiers » est issue d’une directive du Conseil d’administration de l’Office de radiodiffusion télévision française (ORTF) du 12 novembre 1969, qui prévoyait que, « dans la présentation des points de vue, l’équilibre entre les représentants des pouvoirs publics, ceux qui les approuvent et ceux qui les critiquent, lorsqu’il ne sera pas obtenu en un seul jour et au cours de la même émission, devra l’être sur une période raisonnablement calculée ».
Cette formulation a servi de base à l’analyse classique des temps de parole en « trois tiers » :
— 1/3 pour le Gouvernement ;
— 1/3 pour la majorité parlementaire – étant entendu que les membres du Gouvernement qui s’expriment en tant que responsables de partis relèvent de cette catégorie ;
— 1/3 pour l’opposition parlementaire.
Le CSA a appliqué cette règle de 1989 (année de sa création) à 1999, car en 2000, un « principe de référence » a été substitué à la règle dite des « trois tiers ».
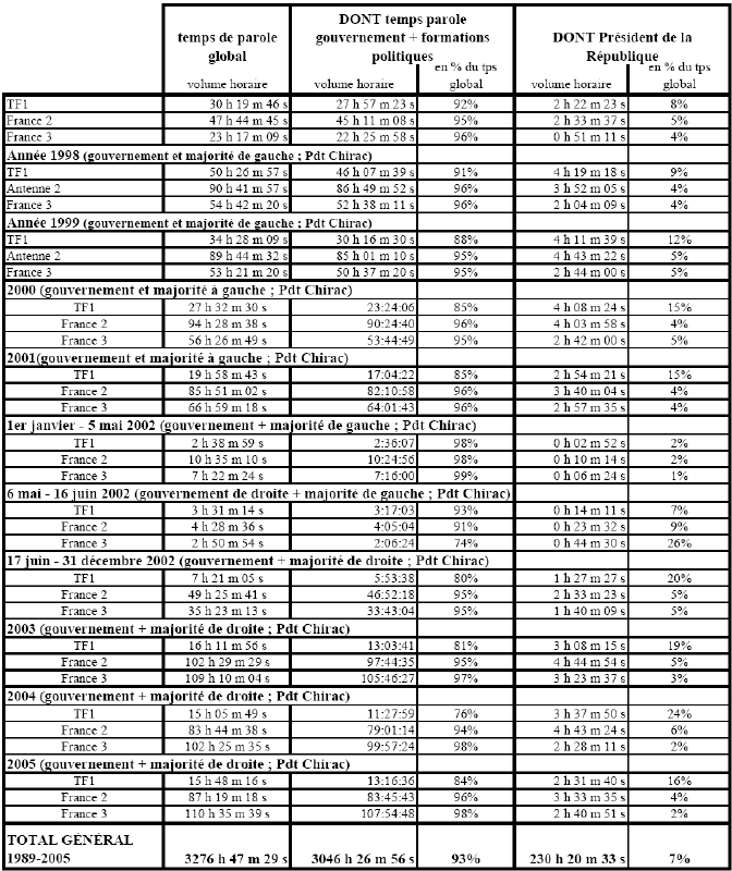
De 1989 à 1999, le Gouvernement, la majorité et l’opposition ont bénéficié, respectivement, de 34 %, 26 % et 38 % du temps de parole d’expression politique. Les 2 % de temps de parole restant correspondent à des interventions de responsables de partis qui ne sont pas représentés au Parlement.
L’examen de la répartition des temps d’interventions relevés sur cette période fait apparaître un constant décalage entre l’objectif théorique des « trois tiers » et la réalité puisque l’opposition parlementaire et le gouvernement, quelle que soit la période, ont bénéficié d’une exposition médiatique plus importante.
Ce décalage apparaît également dans la répartition en pourcentage pour l’ensemble de la période allant de 1989 à 2005. Si les membres du Gouvernement ont fait l’objet d’un traitement conforme aux impératifs de la règle dite des « trois tiers » (34 %), les membres de la majorité ont accusé une sous-représentation chronique. L’opposition a bénéficié, au contraire, d’un accès privilégié (environ 40 %).
Les données relatives aux partis non représentés au Parlement, disponibles en ce qui les concerne à partir de 1993, montrent que ceux-ci ont bénéficié d’une exposition médiatique d’autant plus significative dans le débat politique télévisuel qu’elle était spontanée et ne correspondait à aucun objectif chiffré fixé par le CSA. La part moyenne de ces partis est d’ailleurs restée relativement stable entre la période d’application de la règle dite des « trois-tiers » et la suivante puisqu’elle est passée de 3,7 % à 3,3 % du temps de parole.
Conscient du caractère rigide et réducteur de cette unique référence arithmétique, le Conseil a réfléchi à la définition de nouvelles modalités d’évaluation du pluralisme, en procédant notamment à l’audition de formations politiques et de responsables des chaînes de télévision. Au terme de cette réflexion, le Conseil a jugé qu’une approche quantitative, mesurée notamment par les temps d’intervention, doit être maintenue car elle permet de rendre compte de l’accès à l’antenne des personnalités politiques.
Pour autant, la dimension qualitative dans l’appréciation du pluralisme doit également être prise en considération. Cependant son évaluation est difficile et comporte par nature une part de subjectivité. Or, le Conseil supérieur de l’audiovisuel doit disposer uniquement d’indicateurs précis dont la fiabilité ne doit pas être contestable. Le CSA a donc souhaité ajouter au critère quantitatif des indicateurs lui permettant d’analyser les temps d’intervention dans le contexte de l’actualité et des conditions générales de programmation.
Même si le CSA considère que la répartition des personnalités politiques entre les trois catégories préexistantes garde un sens tant institutionnel que politique, il a estimé pertinent de prendre en compte une quatrième catégorie : celle des formations politiques non représentées au Parlement. Néanmoins, la fixation d’une règle strictement arithmétique de répartition des temps de parole entre ces quatre catégories ne semble pas pour autant nécessaire.
Cette réflexion du Conseil supérieur de l’audiovisuel a abouti, en février 2000, à la définition d’un « principe de référence » s’appliquant au respect du pluralisme politique par l’ensemble des éditeurs et à la création de nouveaux outils pour appréhender son respect sur les chaînes de télévision hertziennes nationales.
Le principe de référence a succédé en février 2000 à la règle des trois tiers, qu’en réalité, il ne fait qu’aménager.
Si le principe d’une répartition équilibrée des temps de parole entre les trois catégories d’intervenants préexistantes a été maintenu, les « partis non représentés au Parlement » ont acquis le droit à « un accès équitable aux programmes audiovisuels ». Dans les faits, leur temps de parole est d’environ 3,5 % du total du temps d’expression politique.
Le Conseil a décidé de modifier la durée sur laquelle le principe de référence est apprécié. Certes, l’article 13 de la loi du 30 septembre 1986 prévoit que les relevés font l’objet d’une transmission mensuelle aux présidents de chaque assemblée et aux responsables des partis représentés au Parlement. Si le CSA a maintenu le principe selon lequel la mesure reste mensuelle, l’évaluation du respect du pluralisme porte à la fois sur les résultats d’un mois et sur ceux d’un trimestre glissant. Une telle prise en compte a l’avantage d’atténuer les répercussions des événements de l’actualité sur un mois donné.
L’adoption du principe de référence n’a pas eu pour conséquence de modifier les parts respectives des temps d’interventions des trois catégories préexistantes.
C’est ainsi que l’opposition a enregistré, entre 2000 et 2005, une part moyenne de 39,5 % des temps de parole. Le pourcentage des temps cumulés du Gouvernement et de la majorité a légèrement décliné avec le changement de la norme de référence : il était d’environ 60 % entre 1989 et 1999 et de 57 % entre 2000 et 2005. L’écart entre les deux catégories qui composent cet ensemble s’est en revanche resserré pour passer, entre la première et la seconde période, de 8 points à 2 points (34 % pour le Gouvernement et 26 % pour la majorité entre 1989 et 1999 ; 30 % pour le Gouvernement et 28 % pour la majorité entre 2000 et 2005).
Les éléments collectés depuis la mise en œuvre du principe de référence indiquent que si le Gouvernement a maintenu un temps de parole supérieur à celui de la majorité parlementaire, il a fait l’objet d’un traitement globalement conforme aux nouvelles dispositions.
Les difficultés d’application de la notion d’équité aux partis non représentés au Parlement, renforcées par l’absence de seuils formulés à titre indicatif à l’attention des diffuseurs, ont conduit à ce que cet ensemble hétérogène n’ait qu’un temps de parole marginal. Le Conseil supérieur de l’audiovisuel apprécie la notion d’équité au regard de la représentativité de ces partis au Parlement européen ainsi qu’en prenant en compte le nombre de suffrages régulièrement exprimés en leur faveur lors des grands scrutins nationaux.
Par ailleurs, le « principe de référence » n’a connu qu’un périmètre d’application partiel. En effet, son contrôle n’a été effectué de manière suivie que pour les grandes chaînes hertziennes nationales historiques. Les principales radios en ont été de fait exonérées, faute de disposer d’un dispositif de relevé interne au Conseil ou d’éléments précis de temps de parole transmis par les opérateurs (1). En outre, il n’est appliqué qu’aux seuls temps de parole qui ne concernent pas l’actualité électorale : il ne prend donc en compte qu’une partie souvent minoritaire de l’actualité politique en période électorale. La répartition, mois par mois des volumes horaires globaux de TF1, France 2 et France 3 alloués à l’actualité électorale et non électorale de janvier à juin 2002 montre que la part des interventions non électorales est globalement minoritaire (25 % des temps totaux) et ce, de façon particulièrement marquée dès le mois de février.
II.– DÉCOMPTER LE TEMPS DE PAROLE DU PRÉSIDENT DE LA RÉPUBLIQUE POUR TENIR COMPTE DE L’ÉVOLUTION DE SA FONCTION
La question de la prise en compte par le CSA du temps de parole du Président de la République s’inscrit dans la perspective d’une augmentation impressionnante du volume horaire des journaux télévisés et des magazines d’information diffusés par les chaînes nationales. Compte tenu, notamment, de l’arrivée de nouvelles chaînes sur la télévision numérique terrestre, le volume annuel de programmes d’information est passé de 1 329 heures en 1978 à près de 30 000 heures en 2006, comme le montre le tableau suivant :
ÉVOLUTION DE L’OFFRE D’ÉMISSIONS D’INFORMATION
SUR LES CHAÎNES HERTZIENNES NATIONALES
(JOURNAUX ET MAGAZINES)
ANNÉE |
CHAÎNES |
VOLUME HORAIRE |
1978 |
TF1, Antenne 2, France 3 |
1 329 h • dont 1 006 h de journaux • dont environ 160 h d’intervenants politiques |
1997 |
TF1, France 2, France 3, Arte/La 5ème, M6, Canal + |
4 016 h • dont 2 887 h de journaux |
2004 |
TF1, France 2, France 3, France 5, M6, Canal + |
4 510 h • dont 2 871 h de journaux • dont 286 h d’intervenants politiques |
2005 |
TF1, France 2, France 3, France 5, M6, Canal + À partir du 31 mars : Direct 8, NT1, TMC, La Chaîne Parlementaire À partir du 14 octobre : i-Télé À partir du 28 novembre : BFM TV |
13 238 h • dont 5 237 h de journaux • dont 321 h d’intervenants politiques sur les chaînes historiques |
2006 Estimation |
TF1, France 2, France 3, France 5, M6, Canal +, Direct 8, NT1, TMC, |
29 868 h • dont 14 190 h de journaux |
Source : Conseil supérieur de l’audiovisuel
Le temps de parole du Président de la République n’a jamais été décompté pour l’application de la règle des trois tiers ou du principe de référence. Cet état de fait a notamment été contesté devant le Conseil d’État en 2005, à l’occasion de la publication par le CSA de la recommandation n° 2005-3 du 22 mars 2005 à l’ensemble des services de télévision et de radio en vue du référendum du 29 mai 2005.
Dans sa décision du 13 mai 2005 (2), la juridiction a affirmé que, compte tenu de « la place qui, conformément à la tradition républicaine, est celle du chef de l’État dans l’organisation constitutionnelle des pouvoirs publics », le Président de la République « ne s’exprime pas au nom d’un parti ou d’un groupement politique ».
Pourtant, le rôle du président de la République a évolué dans sa nature et, également, dans l’importance de ses interventions télévisées.
1. Un constat dressé par le Comité de réflexion et de proposition sur la modernisation et le rééquilibrage des institutions de la Ve République
Le comité présidé par M. Édouard Balladur a constaté que la fonction présidentielle avait évolué. En proposant que les interventions du chef de l’État soient prises en compte dans le temps de parole de l’exécutif, le rapport (3) du comité :
— pointait l’« anomalie » que représentait le décompte actuel des temps de parole ;
— constatait que « cette situation [était] la traduction d’une conception dépassée du rôle du chef de l’État ».
— et concluait que la loi du 30 septembre 1986 « devrait être modifiée en ce sens ».
2. L’analyse statistique des temps de parole vient corroborer la nouvelle place du président de la République dans les médias.
D’après les statistiques du CSA (4), de 1989 à 2005, le temps de parole du président de la République était de 7 % du temps des interventions politiques. En conséquence, la règle dite des « trois tiers » puis le principe de référence concernait 93 % du temps de parole politique.
Votre rapporteur a pu constater, en additionnant les différentes données du CSA pour le deuxième semestre 2007, que le Président de la République avait disposé de 13,3 % du temps de parole politique dans les journaux télévisés, les magazines d’information et les programmes de divertissement. Cette proportion atteint même 21,4 % si l’on ne prend en compte que les seuls journaux télévisés.
Le tableau suivant présente la part du temps de parole du Président de la République au deuxième semestre 2007 :
TEMPS DE PAROLE DES RESPONSABLES POLITIQUES SOUMIS AU « PRINCIPE DE RÉFÉRENCE » ET DU PRÉSIDENT DE LA RÉPUBLIQUE AU 2ÈME SEMESTRE 2007
TYPE DE PROGRAMME |
GOUVERNEMENT ET FORMATIONS POLITIQUES |
PRÉSIDENT DE LA RÉPUBLIQUE |
TEMPS TOTAL |
Journaux télévisés |
300 h 44 m 07 s |
82 h 06 m 29 s |
382 h 50 m 36 s |
78,6 % |
21,4 % |
||
Magazines d’information |
427 h 49 m 55 s |
32 h 55 m 35 s |
460 h 45 m 30 s |
92,9 % |
7,1 % |
||
Autres programmes |
42 h 45 m 52 s |
3 h 28 m 35 s |
46 h 14 m 27 s |
92,5 % |
7,5 % |
||
Total |
771 h 19 m 54 s |
118 h 30 m 39 s |
889 h 50 m 33 s |
86,7 % |
13,3 % |
En prenant en compte les interventions des collaborateurs du Président de la République, la présidence de la République a disposé de 15 % du temps de parole politique dans les journaux télévisés, les magazines d’information et les programmes de divertissement. Cette proportion atteint même 23 % si l’on ne prend en compte que les seuls journaux télévisés.
Le tableau suivant présente la part du temps de parole de la présidence de la République au deuxième semestre 2007 :
TEMPS DE PAROLE DES RESPONSABLES POLITIQUES SOUMIS AU « PRINCIPE DE RÉFÉRENCE » ET DE LA PRÉSIDENCE DE LA RÉPUBLIQUE AU 2 ÈME SEMESTRE 2007
TYPE DE PROGRAMME |
GOUVERNEMENT ET FORMATIONS POLITIQUES |
PRÉSIDENCE DE LA RÉPUBLIQUE |
TEMPS TOTAL |
Journaux télévisés |
300 h 44 m 07 s |
89 h 52 m 12 s |
390 h 36 m 19 s |
77,0 % |
23,0 % |
||
Magazines d’information |
427 h 49 m 55 s |
42 h 20 m 53 s |
470 h 10 m 48 s |
91,0 % |
9,0 % |
||
Autres programmes |
42 h 45 m 52 s |
4 h 07 m 03 s |
46 h 52 m 55 s |
91,2 % |
8,8 % |
||
Total |
771 h 19 m 54 s |
136 h 20 m 08 s |
907 h 40 m 02 s |
85,0 % |
15,0 % |
Votre rapporteur observe donc que la part des interventions du Président de la République et de ses collaborateurs a considérablement crû au point que seuls 77 % du temps de parole politique dans les journaux télévisés et 85 % du temps de parole politique global font aujourd’hui l’objet de l’application du « principe de référence ».
Selon les dernières données publiques du CSA, les membres du Gouvernement se sont exprimés, en janvier 2008, 11 minutes et 9 secondes dans les journaux télévisés de TF1, tandis que le Président de la République s’y exprimait pendant 18 minutes et 36 secondes, majorant ainsi le temps de parole de l’exécutif de 167 %.
La même situation peut être observée sur France 2, mais dans des proportions moindres : les propos du Président de la République ne majorent le temps de parole de l’exécutif que de 113 %...
Sur LCI, le Président de la République s’est exprimé en janvier durant 3 heures et 55 minutes, contre seulement une heure et 3 minutes pour le Gouvernement : la non-prise en compte du temps de parole du président de la République conduit donc à majorer le temps de l’exécutif de 372 %. Et encore, votre rapporteur ne prend pas en compte les interventions des collaborateurs du Président, d’une durée de 19 minutes et 54 secondes…
Votre rapporteur a estimé que cette situation méritait d’être examinée sur une période plus longue. C’est pourquoi il a analysé et compilé les données publiées mensuellement par le CSA au deuxième semestre 2007. Pour chacun de ces mois, le CSA a rendu public les relevés de temps de parole des responsables du Gouvernement et de chaque groupe politique pour les trois types de programmes que sont les journaux télévisés, les magazines d’information et les autres programmes (5).
TEMPS DES INTERVENTIONS SUR LES CHAÎNES HERTZIENNES (1) DU GOUVERNEMENT ET DE LA PRÉSIDENCE DE LA RÉPUBLIQUE AU DEUXIÈME SEMESTRE 2007
JOURNAUX TÉLÉVISÉS |
MAGAZINES |
AUTRES PROGRAMMES | |
Gouvernement |
127 h 12 m 37 s |
142 h 57 m 12 s |
13 h 50 m 01 s |
Président de la République |
82 h 06 m 29 s |
32 h 55 m 35 s |
3 h 28 m 35 s |
Collaborateurs du Président de la République |
7 h 45 m 43 s |
9 h 25 m 18 s |
0 h 38 m 28 s |
Total Présidence de la République |
89 h 52 m 12 s |
42 h 20 m 53 s |
4 h 07 m 03 s |
Majoration du temps de parole de l’exécutif |
71 % |
30 % |
30 % |
(1) TF1, France 2, France 3, Canal Plus, France 5, M6, i-Télé, BFM-TV, LCI
Source : d’après les données mensuelles du CSA, voir annexe 2.
Votre rapporteur souligne que la présente proposition de loi ne posera pas de difficulté pratique au CSA qui relève déjà, à titre informatif, le temps de parole de la présidence de la République – en distinguant même les propos du Président lui-même et ceux de ses collaborateurs.
La Commission a examiné la proposition de loi au cours de sa séance du mardi 13 mai 2008. Après l’exposé du rapporteur, une discussion générale a eu lieu.
M. Jacques-Alain Bénisti a considéré que le texte soumis à la Commission était une proposition de circonstance, liée à la personnalité médiatique de l’actuel Président de la République. Il a demandé au rapporteur s’il donnerait son accord à des modifications visant à compléter le texte par des dispositions telles que l’obligation du respect du contradictoire et un droit de réponse immédiat, qui permettraient notamment au Président de la République de répliquer immédiatement après une mise en cause dont il aurait fait l’objet et qui apparaissent comme la légitime contre partie de la proposition de loi.
M. Michel Hunault a jugé la proposition de loi peu opportune, d’une part parce qu’elle aboutit à déconsidérer la fonction présidentielle – le Président, garant de l’unité et de la sécurité de la Nation doit pouvoir s’exprimer, sur des questions de politique étrangère notamment, sans que son temps de parole soit décompté au profit de la majorité – et d’autre part parce qu’elle fait injure à la presse qui a l’habitude d’ouvrir très largement ses tribunes aux représentants de l’opposition en réplique à une intervention présidentielle. Il convient donc de continuer à faire confiance aux journalistes pour que tous les points de vue puissent s’exprimer.
M. Guénhaël Huet a regretté que le rapporteur n’ait pas mentionné, à titre de comparaison, les chiffres relevés par l’instance de régulation entre 1986 et 1995 concernant le Président de la République. Il s’est déclaré surpris du dépôt de cette proposition de loi alors qu’il est depuis bien longtemps admis par tous que le Président de la République est la clé de voûte de nos institutions, mais aussi de la vie politique de notre pays. Il a rappelé à cet égard que le Président est le seul à être élu au suffrage universel direct par l’ensemble de la Nation, ce qui le place au-dessus des autres élus. Il a considéré que ce texte relevait de la « théorie de l’apparence », en estimant que les citoyens ne seraient sans doute pas favorables à l’abaissement qu’il induit de la fonction présidentielle, nuisible à notre démocratie et à la classe politique française dans son ensemble, compte tenu des alternances.
M. Bruno Le Roux a estimé que la majorité ne devait pas être surprise du dépôt de ce texte qui compte parmi les propositions faites par le groupe SRC dans le débat actuel sur l’évolution des institutions.
Il a jugé que le but de ce texte n’est assurément pas d’empêcher le Président de la République ou ses collaborateurs de s’exprimer, ni d’inscrire sa parole dans un débat polémique, mais bien de mettre fin à un profond déséquilibre, constaté par le CSA, au détriment de l’opposition, en violation de la règle dite « des trois tiers ». Ce texte ne vise donc ni à rabaisser la fonction présidentielle, ni à réduire le champ du débat démocratique dans notre pays.
M. Philippe Gosselin a considéré que le fait d’être l’unique élu au suffrage universel de l’ensemble de la Nation donnait au Président de la République un poids et une responsabilité particuliers. D’ailleurs l’article 5 de la Constitution précise que le Président de la République « assure, par son arbitrage, le fonctionnement régulier des pouvoirs publics ainsi que la continuité de l’État » ; il ne saurait donc être soumis à une quelconque contrainte dans son expression publique.
M. Étienne Blanc a estimé que la proposition de loi posait un véritable problème institutionnel. L’esprit de la Constitution de la Cinquième République est d’éviter de faire du Président de la République le représentant d’un clan, d’une faction ou même d’un parti, car il est le Président de tous les Français. En outre, la conception du rôle du Président portée par cette proposition de loi, qui se justifierait en régime présidentiel, est incohérente avec le programme du parti socialiste qui réclame un renforcement du rôle du Parlement. Enfin, cette proposition de loi se heurte à des contraintes pratiques : comment comptabiliser une allocution du Président de la République au Mont Valérien glorifiant la Résistance, les vœux présidentiels au nouvel an ou encore les propos d’accueil tenus à un chef d’État étranger ?
Votre rapporteur a souligné que la proposition de loi visait simplement à conforter la règle dite des « trois tiers », devenue le « principe de référence », en permettant à l’exécutif de disposer d’un tiers du temps de parole politique dans les médias, tout comme la majorité parlementaire et l’opposition parlementaire. Il a donc estimé que le suffrage universel serait également conforté puisque la majorité disposera toujours des deux tiers du temps des interventions.
Il a ajouté que la proposition de loi visait simplement à ce que les interventions du Président de la République ne soient pas « hors du temps », mais intégrées dans le temps de parole de l’exécutif. Il a indiqué que lorsque le Premier ministre s’exprime sur la situation en Afghanistan, son temps de parole est décompté au titre du Gouvernement. Il a donc estimé normal qu’il en soit de même pour le Président de la République. Il a souligné que si les orateurs de l’opposition étaient invités à réagir aux propos du chef de l’État, c’est précisément parce que ces propos ont une nature politique.
Après avoir indiqué qu’il rechercherait des statistiques relatives au temps de parole des différents présidents de la République, le rapporteur a estimé que la parole présidentielle était aujourd’hui devenue beaucoup moins rare. Il a donc affirmé que la proposition de loi ne visait qu’à prendre en compte cette réalité, qui traduit l’entrée dans un nouveau temps politique.
Le rapporteur a estimé que les propositions de M. Jacques-Alain Bénisti pour renforcer le respect du contradictoire et le droit de réponse immédiat étaient intéressantes mais ne concernaient pas le sujet traité par la proposition de loi. Il a souligné que l’objectif de ce texte n’était ni d’abaisser la fonction présidentielle ni de consacrer un régime présidentiel mais simplement de tenir compte de la réalité politique. Il a enfin rappelé que le rapport du comité constitutionnel présidé par M. Édouard Balladur avait qualifié la non prise en compte du temps de parole du Président de la République d’« anomalie ».
Le Président Jean-Luc Warsmann a estimé que l’ensemble des interventions avait montré la réalité du problème soulevé par la proposition de loi, mais également sa complexité. Ainsi, le rôle d’équilibre du Président de la République dans nos institutions doit en effet être pris en compte. Le Président de l’Assemblée nationale, M. Bernard Accoyer, s’est exprimé sur cette question et a esquissé des pistes de travail intéressantes qu’il conviendrait d’explorer avec attention.
*
* *
À l’issue de ce débat, la Commission a décidé de ne pas présenter de conclusions sur la proposition de loi relative au respect du pluralisme dans les médias audiovisuels et prenant en compte le temps de parole du Président de la République (n° 852).
*
* *
___
Texte en vigueur ___ |
Texte de la proposition de loi ___ |
Proposition de loi relative | |
Loi n° 86-1067 du 30 septembre 1986 relative à la liberté de communication |
Article unique |
Art. 13. — Le Conseil supérieur de l’audiovisuel assure le respect de l’expression pluraliste des courants de pensée et d’opinion dans les programmes des services de radio et de télévision, en particulier pour les émissions d’information politique et générale. |
Le premier alinéa de l’article 13 de la loi n° 86-1067 du 30 septembre 1986 relative à la liberté de communication est complété par les dispositions suivantes : |
« Il veille à ce que les services de radio et de télévision respectent, au sein de leurs programmes, une répartition par tiers du temps des interventions : | |
« — du Président de la République, de ses collaborateurs, et des membres du Gouvernement ; | |
« — des personnalités appartenant à la majorité parlementaire ; | |
« — des personnalités appartenant à l’opposition parlementaire. | |
« Par exception aux dispositions qui précèdent, lorsque le Président de la République et le Gouvernement sont issus de majorités politiques d’orientations différentes, les interventions du Président de la République et de ses collaborateurs sont décomptées avec celles des personnalités appartenant à l’opposition parlementaire. » | |
Le Conseil supérieur de l’audiovisuel communique chaque mois aux présidents de chaque assemblée et aux responsables des différents partis politiques représentés au Parlement le relevé des temps d’intervention des personnalités politiques dans les journaux et les bulletins d’information, les magazines et les autres émissions des programmes. |
ANNEXE 1 :
COMPARAISON DU TEMPS DE PAROLE (HORS ÉLECTIONS) DU PRÉSIDENT DE LA RÉPUBLIQUE ET DES AUTRES RESPONSABLES POLITIQUES DE 1989 À 2005
TEMPS DE PAROLE (HORS ÉLECTIONS) DU PRÉSIDENT DE LA RÉPUBLIQUE
ET DES AUTRES RESPONSABLES POLITIQUES DE 1989 À 2005

Source : Conseil supérieur de l’audiovisuel, Réflexions sur le pluralisme, annexe 4, août 2006.
TEMPS DE PAROLE (HORS ÉLECTIONS) DU PRÉSIDENT DE LA RÉPUBLIQUE
ET DES AUTRES RESPONSABLES POLITIQUES DE 1989 À 2005

Source : Conseil supérieur de l’audiovisuel, Réflexions sur le pluralisme, annexe 4, août 2006.
ANNEXE 2 :
RELEVÉS DES TEMPS D’INTERVENTION
AU DEUXIÈME SEMESTRE 2007
TEMPS D’INTERVENTION RELEVÉS DANS LES JOURNAUX D’INFORMATION (2ÈME SEMESTRE 2007)
(les partis politiques sont présentés par ordre alphabétique)
TF1 |
France2 |
France 3 |
Canal + |
M6 |
i-Télé |
BFM TV |
LCI (1) |
Total | |
Gouvernement |
01:48:22 |
08:19:35 |
05:16:24 |
01:10:01 |
00:26:18 |
13:33:40 |
18:37:09 |
06:01:08 |
127:12:37 |
Alternative libérale |
|
|
00:00:38 |
|
|
00:06:24 |
|
|
0:07:02 |
CAP 21 |
00:00:15 |
|
00:05:10 |
|
|
00:01:11 |
00:05:28 |
|
0:12:04 |
Front national |
00:06:20 |
00:08:06 |
00:12:42 |
00:00:27 |
00:01:08 |
00:43:10 |
00:46:33 |
01:06:59 |
3:05:25 |
Génération écologie |
|
00:00:14 |
|
|
|
|
|
|
0:00:14 |
Les Verts |
00:03:22 |
00:30:17 |
00:26:02 |
00:02:52 |
00:00:55 |
01:05:39 |
01:31:07 |
00:44:16 |
4:24:30 |
Ligue communiste révolutionnaire |
00:00:32 |
00:17:28 |
00:08:59 |
00:00:38 |
|
00:37:09 |
00:51:40 |
00:39:55 |
2:36:21 |
Lutte ouvrière |
|
|
00:01:22 |
|
|
00:01:24 |
00:01:44 |
|
0:04:30 |
Mouvement pour la France |
|
|
|
|
|
|
00:09:15 |
00:00:33 |
0:09:48 |
Mouvement républicain et citoyen |
|
00:07:50 |
00:07:36 |
|
|
00:02:01 |
00:03:23 |
|
0:20:50 |
Nouveau centre |
00:00:51 |
00:04:49 |
00:24:46 |
00:00:54 |
00:00:46 |
00:55:27 |
00:57:27 |
04:01:40 |
6:26:40 |
Parti communiste français |
00:06:24 |
00:21:31 |
00:15:51 |
00:00:56 |
00:01:28 |
00:59:22 |
00:35:26 |
00:50:13 |
3:11:11 |
Parti radical |
|
00:00:33 |
|
|
|
|
|
|
0:00:33 |
Parti radical de gauche |
00:00:52 |
00:09:18 |
00:01:40 |
00:00:10 |
00:00:44 |
00:09:28 |
00:08:36 |
|
0:30:48 |
Parti socialiste |
01:27:00 |
05:45:28 |
05:44:25 |
00:54:45 |
00:13:09 |
00:54:39 |
23:55:55 |
04:43:05 |
91:38:26 |
Rassemblement pour la France |
00:00:11 |
00:00:48 |
00:00:40 |
00:00:39 |
00:00:06 |
00:17:32 |
00:01:40 |
|
0:21:36 |
UDF - MODEM |
00:10:54 |
00:24:25 |
00:37:37 |
00:03:44 |
00:02:03 |
03:06:59 |
05:01:04 |
03:09:27 |
12:36:13 |
Union pour un mouvement populaire |
00:48:51 |
02:36:57 |
02:41:41 |
00:27:41 |
00:09:03 |
11:19:33 |
09:03:45 |
17:49:30 |
44:57:01 |
Divers |
00:13:55 |
00:01:30 |
00:07:14 |
00:00:58 |
|
00:31:00 |
|
|
0:54:37 |
Divers droite |
00:02:41 |
00:14:23 |
00:10:19 |
00:00:27 |
00:00:07 |
00:07:41 |
00:15:17 |
00:45:25 |
1:36:20 |
Divers gauche |
00:00:26 |
00:00:54 |
00:09:48 |
|
00:00:37 |
00:04:04 |
00:01:32 |
|
0:17:21 |
| |||||||||
TF1 |
France2 |
France 3 |
Canal + |
M6 |
i-Télé |
BFM TV |
LCI |
Total | |
Présidence de la République |
02:55:35 |
05:22:20 |
02:46:31 |
00:51:15 |
00:23:54 |
18:11:07 |
14:35:31 |
20:45:59 |
89:52:12 |
- dont Président de la République |
02:51:44 |
04:29:24 |
02:31:19 |
00:46:11 |
00:23:54 |
17:33:27 |
09:42:09 |
19:48:21 |
82:06:29 |
- dont collaborateurs du Président de la République |
00:03:51 |
00:52:56 |
00:15:12 |
00:05:04 |
|
00:37:40 |
04:53:22 |
00:57:38 |
7:45:43 |
(1) En juillet, les collaborateurs du Président de la République ont été comptabilisés au titre de l’UMP.
NB. Ces données correspondent à l’agrégation, par votre Rapporteur, des données publiées mensuellement par le CSA
TEMPS D’INTERVENTION RELEVÉS DANS LES MAGAZINES D’INFORMATION (2ÈME SEMESTRE 2007)
(les partis politiques sont présentés par ordre alphabétique)
TF1 |
France2 |
France 3 |
Canal + |
France 5 |
M6 |
i-Télé |
BFM TV |
LCI (1) |
Total | |
Gouvernement |
00:07:01 |
02:38:55 |
05:47:36 |
08:16:17 |
11:50:48 |
01:00:27 |
05:08:46 |
14:49:12 |
21:18:10 |
142:57:12 |
Alternative libérale |
|
|
00:10:20 |
|
|
|
00:25:25 |
|
|
0:35:45 |
CAP 21 |
|
|
|
00:09:43 |
00:01:00 |
|
02:32:43 |
|
|
2:43:26 |
Chasse pêche nature tradition |
|
|
|
00:00:34 |
|
|
|
|
|
0:00:34 |
Front national |
|
|
00:00:14 |
00:42:34 |
01:59:14 |
|
01:42:53 |
00:19:58 |
00:57:54 |
5:42:47 |
Gauche moderne |
|
00:00:13 |
|
|
|
|
|
|
|
0:00:13 |
Les Verts |
00:04:39 |
00:35:06 |
00:30:52 |
00:51:41 |
00:52:32 |
|
03:51:54 |
00:21:39 |
01:07:53 |
8:16:16 |
Ligue communiste révolutionnaire |
|
00:14:56 |
00:35:14 |
00:31:11 |
00:30:24 |
|
04:19:50 |
00:57:07 |
00:27:40 |
7:36:22 |
Lutte ouvrière |
|
|
|
00:08:53 |
00:02:32 |
|
00:12:14 |
|
|
0:23:39 |
Mouvement pour la France |
|
|
|
|
|
|
|
|
00:08:00 |
0:08:00 |
Mouvement républicain et citoyen |
|
00:01:42 |
00:30:50 |
|
00:27:48 |
|
00:00:31 |
|
00:04:00 |
1:04:51 |
Nouveau centre |
|
|
00:15:22 |
00:44:23 |
00:00:52 |
|
03:20:38 |
00:12:41 |
00:54:00 |
5:27:56 |
Parti communiste français |
|
00:01:14 |
00:05:01 |
00:26:23 |
00:52:08 |
00:02:38 |
04:01:01 |
00:44:48 |
|
6:13:13 |
Parti radical |
|
|
|
|
|
|
|
|
00:13:00 |
0:13:00 |
Parti radical de gauche |
|
|
|
|
00:23:06 |
00:01:37 |
00:04:06 |
|
|
0:28:49 |
Parti socialiste |
00:34:07 |
03:27:12 |
03:15:48 |
07:21:04 |
12:12:39 |
00:24:22 |
23:05:43 |
07:28:37 |
21:32:53 |
127:22:25 |
Parti des travailleurs |
|
|
|
00:01:54 |
|
|
|
|
|
0:01:54 |
Rassemblement pour la France |
|
|
|
|
00:01:05 |
|
00:13:48 |
00:13:37 |
|
0:28:30 |
UDF - MODEM |
|
00:07:43 |
00:12:19 |
00:36:55 |
01:08:44 |
00:00:07 |
10:14:56 |
00:49:38 |
04:16:04 |
17:26:26 |
UMP |
00:19:15 |
01:18:36 |
04:28:23 |
05:37:51 |
11:37:31 |
00:13:14 |
01:19:54 |
04:34:23 |
15:41:24 |
93:10:31 |
Divers |
|
00:01:07 |
|
00:00:42 |
00:01:48 |
|
|
|
|
0:03:37 |
Divers droite |
|
|
|
00:20:51 |
00:50:41 |
00:03:24 |
01:48:25 |
00:15:46 |
|
3:19:07 |
Divers gauche |
00:01:09 |
|
|
00:00:21 |
00:30:25 |
|
02:35:03 |
00:00:24 |
00:58:00 |
4:05:22 |
TF1 |
France2 |
France 3 |
Canal + |
France 5 |
M6 |
i-Télé |
BFM TV |
LCI |
Total | |
Présidence de la République |
00:00:18 |
00:23:00 |
00:05:20 |
00:46:01 |
02:47:50 |
00:01:15 |
04:15:01 |
01:54:08 |
08:08:00 |
42:20:53 |
- dont Président de la République |
00:00:18 |
00:05:31 |
00:05:14 |
00:08:30 |
01:39:50 |
00:01:15 |
00:01:48 |
00:55:29 |
05:57:40 |
32:55:35 |
- dont collaborateurs du Président de la République |
|
00:17:29 |
00:00:06 |
00:37:31 |
01:08:00 |
|
04:13:13 |
00:58:39 |
02:10:20 |
9:25:18 |
(1) En juillet, les collaborateurs du Président de la République ont été comptabilisés au titre de l’UMP.
NB. Ces données correspondent à l’agrégation, par votre Rapporteur, des données publiées mensuellement par le CSA
TEMPS D’INTERVENTION RELEVÉS DANS LES AUTRES PROGRAMMES (2ÈME SEMESTRE 2007)
(les partis politiques sont présentés par ordre alphabétique)
TF1 |
France2 |
France 3 |
Canal + |
France 5 |
M6 |
i-Télé |
BFM TV |
LCI |
Total | |
Gouvernement |
00:06:56 |
07:15:10 |
00:41:31 |
04:36:39 |
00:00:39 |
01:09:06 |
|
|
|
13:50:01 |
Alternative libérale |
|
|
|
00:01:45 |
|
00:03:09 |
|
|
|
0:04:54 |
CAP 21 |
|
|
|
00:00:18 |
|
|
|
|
|
0:00:18 |
Chasse pêche nature tradition |
|
|
|
00:00:45 |
|
00:05:00 |
|
|
|
0:05:45 |
Front national |
|
00:13:46 |
|
00:01:17 |
|
|
|
|
|
0:15:03 |
Gauche moderne |
|
|
|
00:02:23 |
|
|
|
|
|
0:02:23 |
Les Verts |
|
00:00:15 |
|
00:21:42 |
|
|
|
|
|
0:21:57 |
Ligue communiste révolutionnaire |
|
01:09:06 |
|
00:39:31 |
00:06:49 |
00:00:10 |
|
|
|
1:55:36 |
Lutte ouvrière |
|
|
|
00:01:49 |
|
00:00:05 |
|
|
|
0:01:54 |
Mouvement pour la France |
|
00:00:04 |
|
00:00:01 |
|
|
|
|
|
0:00:05 |
Mouvement républicain et citoyen |
|
00:01:12 |
|
|
|
00:00:12 |
|
|
|
0:01:24 |
Nouveau centre |
|
00:04:18 |
|
00:04:33 |
|
|
|
|
|
0:08:51 |
Parti communiste français |
|
00:00:24 |
00:13:35 |
00:03:57 |
00:34:15 |
00:00:04 |
|
|
|
0:52:15 |
Parti socialiste |
00:03:14 |
03:45:32 |
01:05:05 |
05:51:21 |
00:01:50 |
00:59:55 |
|
|
|
11:46:57 |
Parti des travailleurs |
|
|
|
00:00:25 |
|
|
|
|
|
0:00:25 |
Rassemblement pour la France |
|
00:01:37 |
00:09:11 |
00:00:26 |
|
|
|
|
|
0:11:14 |
UDF - MODEM |
|
00:36:07 |
00:00:50 |
01:14:50 |
|
00:08:19 |
|
|
|
2:00:06 |
UMP |
|
03:47:25 |
01:23:27 |
04:05:11 |
00:05:05 |
01:06:34 |
|
|
|
10:27:42 |
Divers |
|
00:05:25 |
|
|
|
|
|
|
|
0:05:25 |
Divers droite |
|
00:01:17 |
|
00:00:55 |
|
|
|
|
|
0:02:12 |
Divers gauche |
|
00:31:25 |
|
|
|
|
|
|
|
0:31:25 |
| ||||||||||
TF1 |
France2 |
France 3 |
Canal + |
France 5 |
M6 |
i-Télé |
BFM TV |
LCI |
Total | |
Présidence de la République |
00:04:36 |
00:42:59 |
00:15:22 |
02:57:14 |
00:02:58 |
00:03:54 |
|
|
|
4:07:03 |
- dont Président de la République |
00:04:36 |
00:35:54 |
00:08:22 |
02:33:09 |
00:02:58 |
00:03:36 |
|
|
|
3:28:35 |
- dont collaborateurs du Président de la République |
|
00:07:05 |
00:07:00 |
00:24:05 |
|
00:00:18 |
|
|
|
0:38:28 |
NB. Ces données correspondent à l’agrégation, par votre Rapporteur, des données publiées mensuellement par le CSA
1 () À l’exception de France inter.
2 () Conseil d’État, décision du 13 mai 2005 « M. Hoffer » (requête n° 279259).
3 () Comité de réflexion et de proposition sur la modernisation et le rééquilibrage des institutions de la Ve République, Une Ve République plus démocratique, 29 octobre 2007, pages 22 et 23.
4 () Voir l’annexe 1.
5 () Les récapitulatifs semestriels, établis par votre Rapporteur sur la base des données du CSA, pour chaque type de programmes, figurent en annexe du présent rapport (annexe 2).